---------------------------------------------------------------
     Hans Selye, From Dream to Discovery: On Being a Scientist

     От мечты к открытию : Как стать ученым /
     Ганс Селье; Пер. с англ. Н. И. Войскунской;
     Общ. ред. М. Н. Кондрашовой, И. С. Хорола;
     Послесл. М. Г. Ярошевского, И. С. Хорола.
     -- М.: Прогресс, 1987.
     -- 368 c.: ил.

     Перевод на русский язык с сокращениями. Послесловие.
     Издательство "Прогресс"

     e-text:
     ver 1.2,  07 May  2003  -- добавлены:  иллюстрации,  список литературы,
отсутствовавшие примечания переводчика, предисловие Е. М. Крепс и Филиппа М.
Тойама,  "от  автора",  послесловие  М.  Г.  Ярошевского  и  И.  С.  Хорола;
исправлены опечатки; --MT

     ver 1.1, 07 Jul 1998 -- lib.ru
     ---------------------------------------------------------------


     ОТ АВТОРА
     ПРЕДИСЛОВИЕ
     ВВЕДЕНИЕ
     1. ПОЧЕМУ ЛЮДИ ЗАНИМАЮТСЯ НАУКОЙ?
     Бескорыстная любовь к Природе и Правде
     Красота закономерности
     Любопытство
     Желание приносить пользу
     Потребность в одобрении - жажда авторитета - тщеславие
     Ореол успеха; преклонение перед героями и желание им подражать
     Боязнь скуки
     2. КТО ДОЛЖЕН ЗАНИМАТЬСЯ НАУКОЙ?
     Типы личности ученого
     "ДЕЛАТЕЛИ"
     "ДУМАТЕЛИ"
     "ЧУВСТВОВАТЕЛИ"
     ИДЕАЛЫ
     ЭПИЛОГ
     Основные качества
     ЭНТУЗИАЗМ И НАСТОЙЧИВОСТЬ
     Преданность цели
     Устойчивость к неудачам и однообразию
     Устойчивость к успеху
     Мужество
     Здоровье и энергия
     ОРИГИНАЛЬНОСТЬ
     Независимость мышления
     Непредубежденность
     Воображение
     Интуиция
     Гений
     ИНТЕЛЛЕКТ
     Логика
     Память и опыт
     Сосредоточенность
     Абстракция
     ЭТИКА
     Честность перед самим собой
     КОНТАКТ С ПРИРОДОЙ
     Наблюдение.
     Технические навыки
     ОЦЕНКА РЕЗУЛЬТАТОВ НАБЛЮДЕНИЯ
     3. ЧТО СЛЕДУЕТ ДЕЛАТЬ?
     Выбор проблемы
     Что такое открытие?
     Что мы подразумеваем под "известным"?
     Видение и открытие
     Важность проблемы и вероятность ее разрешения
     Формулирование вопросов.
     Сначала проблема, потом метод.
     Простота и сложность
     Сбалансированная перспектива.
     Простые и сложные средства.
     Крупные объекты видны без увеличения.
     Сложность явления и сложность обусловливающих его причин
     Прогнозирование значимости
     Открытие и его развитие.
     4. КОГДА ДЕЛАТЬ?
     В какой момент истории?
     В какой период нашей жизни?
     МОЛОДОСТЬ И ЗРЕЛОСТЬ.
     ПЕРИОД ОТДЕЛЕНИЯ.
     САМОСТОЯТЕЛЬНАЯ РАБОТА.
     В какое время дня?
     ТИПИЧНЫЙ ДЕНЬ.
     НЕТИПИЧНЫЕ ДНИ.
     5. ГДЕ РАБОТАТЬ?
     Общественное понимание
     Климат для творческой работы
     Самые ранние влияния
     Материальные возможности
     6. КАК СЕБЯ ВЕСТИ?
     Личное поведение
     САМОДИСЦИПЛИНА
     СТОЙКОСТЬ К РАЗОЧАРОВАНИЯМ
     "Но знанья это дать не может..."
     Эксперимент, который не удается повторить.
     Огорчения, в которых бывает неловко признаться.
     СКРОМНОСТЬ
     ВРЕМЯ ДЛЯ РАЗДУМИЙ
     ВНЕНАУЧНЫЕ ИНТЕРЕСЫ
     Поведение при общении
     КРИТИКА И ЕЕ ВОСПРИЯТИЕ
     Критика новатора.
     Как высказывать критику.
     Как воспринимать критику
     Самокритика.
     ВЗАИМООТНОШЕНИЯ С КОЛЛЕГАМИ
     Руководители и сотрудники.
     Административные контакты
     Социальные контакты.
     РАБОТА В ГРУППЕ
     Организация исследовательских групп.
     Помощь группы.
     Подбор сотрудников.
     Оценка компетентности.
     Взаимоприспособляемость человека и работы.
     Выбор руководителя.
     Как быть выбранным.
     Сотрудничество двух ученых.
     Признание научных заслуг.
     НАУЧНОЕ СОТРУДНИЧЕСТВО МЕЖДУ РАЗЛИЧНЫМИ
     ПОДРАЗДЕЛЕНИЯМИ
     УПРАВЛЕНИЕ И РУКОВОДСТВО КОЛЛЕКТИВОМ
     Дух коллективизма.
     Не откладывайте работу.
     "Доверяй, но проверяй".
     "Латотропизм" и проверка на месте.
     Работа, выполняемая по инерции.
     Не доказывайте, а показывайте.
     Как иметь дело с невротиками и психопатами.
     Посторонние отвлечения.
     "КЕСАРЮ - КЕСАРЕВО..."
     7. КАК РАБОТАТЬ?
     Общие соображения
     Естественный размер научного подразделения.
     Планирование работы.
     Специализация.
     Лабораторные методы
     ОБЩИЕ СООБРАЖЕНИЯ
     Выбор подопытных животных.
     Неестественные условия эксперимента.
     МЕТОДЫ НАБЛЮДЕНИЯ
     ФАРМАКОЛОГИЧЕСКИЕ МЕТОДЫ
     Естественные явления и модели заболеваний
     Разработка экспериментов
     "РАЗДЕЛЯЙ И ВЛАСТВУЙ"
     ПРИНЦИП АНАЛОГИИ
     ЭКСПЕРИМЕНТ В "ПРОБИРКЕ"
     ДИАГРАММЫ ХОДА РАБОТЫ
     Методы координации знаний
     КАТАЛОГИЗАЦИЯ НАУЧНЫХ ДАННЫХ
     СИСТЕМАТИЗАЦИЯ НАУЧНЫХ ДАННЫХ
     Концепция стресса
     Фармакология стероидных гормонов
     8. КАК МЫСЛИТЬ?
     Логика и научный метод
     Формальная и полуинтуитивная логика
     Три ступени полуинтуитивной логики
     Понятия и понятийные элементы
     Аналогия с блоком понятий
     Аналогия с цепочками понятий
     Построение теорий
     Факты и теории
     Значение ошибочных теорий
     Индукция и дедукция
     Как задавать вопросы природе
     ПРЕДПОСЫЛКИ ХОРОШИХ ТЕОРИЙ
     ТЕОРИИ ОБРАЗОВАНИЯ ЭЛЕМЕНТОВ
     ТЕОРИИ КЛАССИФИКАЦИИ
     ТЕОРИИ ПРИЧИННОСТИ
     Заблуждения
     ОШИБКА УПУЩЕННОГО КОНТРОЛЯ.
     ПЕРЕСЕКАЮЩИЕСЯ КРИВЫЕ "ДОЗА - ЭФФЕКТ".
     РАСХОДЯЩИЕСЯ КРИВЫЕ "ВРЕМЯ - ЭФФЕКТ".
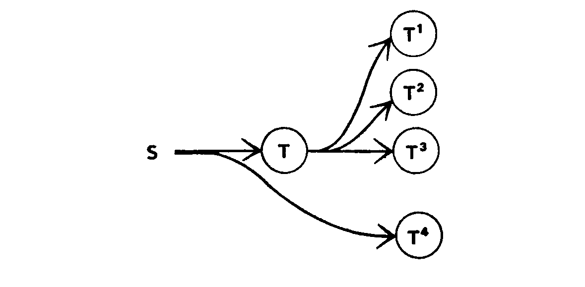
     ПЕРЕДАТОЧНАЯ СТАНЦИЯ.
     АЛЬТЕРНАТИВНЫЕ ПУТИ.
     РАЗВЕТВЛЯЮЩИЕСЯ ПУТИ.
     ОБОБЩАЮЩЕЕ НАЗВАНИЕ, ИЛИ ЛОВУШКА ЭКСТРАПОЛЯЦИИ.
     ЧЕГО НЕТ, ТО ДЕЙСТВОВАТЬ НЕ МОЖЕТ.
     ПРОТИВОПОЛОЖНОСТИ НЕ ТАК УЖ НЕПОХОЖИ.
     "МОЛЧАЩИЙ МАРКЕР".
     МНОЖЕСТВЕННЫЕ ПРИЧИНЫ.
     НЕСУЩЕСТВЕННЫЕ ФАКТОРЫ, ВВОДЯЩИЕ В ЗАБЛУЖДЕНИЕ.
     ЯВЛЕНИЕ "ГРУППОВОЙ ПОРЧИ" ЭКСПЕРИМЕНТА, ИЛИ "ФАКТОР КЛЕТКИ".
     КУМУЛЯТИВНАЯ ОШИБКА.
     ОШИБОЧНАЯ МЕТОДИКА.
     ОШИБОЧНАЯ ЛОГИКА.
     Эпилог.
     9. КАК ЧИТАТЬ?
     Специальная литература
     Художественная литература
     10. КАК ПИСАТЬ?
     Общие соображения
     Диссертация
     Книги
     Монография.
     Учебник.
     Популярные книги о науке.
     11. КАК ГОВОРИТЬ?
     Пять "смертных грехов" при чтении лекций
     1. Неподготовленность.
     2. Многословие.
     3. Невнятность.
     4. Углубленность в себя (интроверсия).
     5. Манерность.
     ЗАКЛЮЧЕНИЕ
     СПИСОК ЛИТЕРАТУРЫ
     ГАНС СЕЛЬЕ ---  ТВОРЧЕСКАЯ ЛИЧНОСТЬ И  ИССЛЕДОВАТЕЛЬ ТВОРЧЕСТВА (Вместо
послесловия)



     Существуют   научные   понятия,  которые  стали  символами  XX  века  и
определили  основное  направление  развития  человеческой  мысли.  Наряду  с
"относительностью", "кибернетикой"  и "принципом  дополнительности" к  таким
понятиям с полным основанием может быть  отнесен и "стресс". Представление о
стрессе   касается  всех   людей,   больных  и   здоровых,  преуспевающих  и
неудачливых, и всех сторон жизни. Недаром этот термин так быстро вошел в наш
повседневный  язык,  а  само  учение  о  стрессе  послужило  мощным стимулом
развития  физиологии  и  биологии.  Автор  концепции  стресса  --  известный
канадский биолог и врач Ганс Селье --  проявил себя не только как выдающийся
естествоиспытатель, но и как мыслитель, занятый поисками ответов на основные
вопросы  человеческого  бытия.  В  книге "От  мечты  к  открытию"  Г.  Селье
творчески  осмысливает свой  огромный  опыт  исследователя,  направленный на
анализ природы научного творчества  во всех  его аспектах. Тот  факт, что  к
этим вопросам обращается человек, добившийся крупнейших достижений в науке и
в то  же  время способный  к  самонаблюдению  и  самоанализу,  делает  книгу
особенно интересной для читателя.
     Мне  посчастливилось встречаться  с Гансом Селье во время его приезда в
Ленинград на  Международный физиологический  конгресс в 1935  году.  Встречи
наши  были кратковременными,  но  между  нами  сразу установились  дружеские
отношения.  Он был  тогда еще сравнительно  молод,  ему  было 28 лет, но уже
тогда он был поглощен идеей общего адаптационного синдрома и разрабатываемой
им концепции стресса.
     И в тот период времени, и в дальнейшем Г. Селье  был  настроен в высшей
степени  дружелюбно к  нашей стране и народу,  стремившемуся осуществить  на
практике высокие идеалы социализма.  Он искренне радовался достижениям нашей
науки,  поддержке,  которую  наука получает  от государства. Он  был горд  и
счастлив успехом,  который имели его книги в  Советском Союзе, и с интересом
следил за работами советских исследователей.  Наша отечественная наука много
сделала для дальнейшего развития  стресс-концепции, причем не  только для ее
физиологических, но и философских и методологических аспектов. Идея Г. Селье
о том, что любая деятельность организма связана со стрессом, что без стресса
нет жизни  и  нормального  развития,  и  поэтому  его  нельзя  и  не следует
избегать, нашла конкретное воплощение в  работах отечественных ученых.  Было
установлено, что  именно  активная  позиция  субъекта  в стрессовой ситуации
определяет его устойчивость к болезнетворным факторам, а стресс, сопряженный
с  творческой  деятельностью,  должен оказывать  на  организм  положительное
воздействие.  Настоящая  книга  Г.  Селье  (вышедшая в 1964 г.)  о том,  как
развивается интерес  к научному творчеству, как  верность  мечте  приводит к
открытиям, получающим всеобщее признание. В этом смысле книга  имеет большое
воспитательное значение, ориентируя молодых ученых на постоянное преодоление
трудностей и сомнений, заряжая их бодростью и оптимизмом.
     В заключение я хотел бы выразить от имени всех  читателей благодарность
издательству  "Прогресс",  которое уже  выпустило  вторым изданием книгу  Г.
Селье  "Стресс  без  дистресса"  и сейчас взяло на  себя труд по переводу  и
изданию еще одной увлекательной и полезной его книги.
     Е. М. Крепс
     академик АН СССР
     Герой Социалистического Труда

     Эта  книга  имеет большое  значение  для  всех  тех,  кто  интересуется
творчеством  профессора  Ганса Селье. В  ней  доктор  Селье  делится  своими
мыслями, говорит о своей работе, своих успехax и разочарованиях; он беседует
с  читателем  о  своих  надеждах  и чаяниях.  Чтение этой  книги  доставляет
истинное удовольствие.
     Доктор Селье эмигрировал в Канаду из Центральной Европы в 1933  году  и
работал почти  полвека на медицинских  факультетах  Университета  Мак-Гилл и
Университета  Монреаля  вплоть  до  своей  смерти  в  1982 году. Он  получил
всемирное признание как биолог и теоретик медицины. Г. Селье первым применил
понятие  "стресс" для описания  реакции организма на все виды  биологических
раздражителей  --   реакции,  вызывающей   как  болезни,  так   и  состояния
возбуждения.   В  своих  научных   исследованиях   он   занимался  изучением
воздействия  стресса  на наш организм, обращал  особое  внимание на то,  что
некоторая  доля  стресса необходима для  поддержания хорошего самочувствия и
что некоторые виды  стресса,  которые  он называет "эустресс",  идут  нам на
пользу.  Поглощенность  работой  -- вот  самое  лучшее  средство  борьбы  со
стрессом.
     Ганс Селье  считает, что  существует два типа  людей,  различающихся по
способу реакции на  стресс.  "Скаковые  лошади" прекрасно  чувствуют  себя в
стрессовой ситуации, они могут быть счастливы только при быстром, динамичном
темпе  жизни.  "Черепахам"  для счастья нужны  покой, тишина,  благоприятная
обстановка -- все то, что наводило бы скуку  и было бы невыносимо для людей,
принадлежащих  к первому типу. "Что  же  касается меня, то  я  с трудом могу
представить себе большую пытку, чем быть вынужденным валяться на пляже и изо
дня в день ничего не делать", --- говорил Г. Селье.
     Доктор  Селье  обычно  с трудом  сдерживал  раздражение,  когда  слышал
сетования на то, что сегодня мы испытываем  большие стрессовые нагрузки, чем
их выпадало на долю наших предков. Он всегда подчеркивал, что в любую эпоху,
не только  в нашу,  существовал так называемый "возраст беспокойства" и  что
сегодня  большинство   "старых  типов"  стресса  уступили  место  новым,  но
аналогичным.  Конечно,  несколько  сотен  лет  назад не существовало  угрозы
ядерной войны,  но  в  то  время человек испытывал  неимоверный страх  перед
чумой. Однако, по  мнению  Селье, один  тип социального  стресса  --  потеря
мотивации,--  безусловно,  усилился в  наше время.  Он называет  это явление
своего рода заболеванием духа, которое достигло размеров настоящей эпидемии,
особенно среди молодежи Запада.
     Г. Селье впервые начал серьезно изучать  эту проблему,  когда  наблюдал
действие  этого  типа  стресса на  своих  детях  и на друзьях  своих  детей.
Казалось,  их  бесцельно влечет  по  течению  жизни  и  они  не  знают,  как
распорядиться  собой,-- ситуация, которую Селье называет наиболее стрессовой
из всех,  какие только возможно  себе представить.  Обычно  в таких  случаях
предлагается два решения  проблемы, каждое  из которых содержит долю истины,
но ни одно  не является абсолютно верным. В первом случае предлагается  жить
исключительно  для себя, не принимая близко к  сердцу  заботы  других. Такое
отношение  к  жизни,  столь  ярко  запечатленное  на  страницах  современных
литературных бестселлеров, воспевающих  достоинства и преимущества  эгоизма,
имеет  некоторый  смысл,  ибо  человеческим  существам,  как  и  всем  живым
организмам,  следует  заботиться  о  себе.  Однако,   по  мнению  Г.  Селье,
беспощадное  и упорное преследование  своих целей должно  в  конечном  счете
привести  к  серьезной  проблеме. "Сомневаюсь, возможен ли  более стрессовый
подход   к   жизни   --  он   ведь   неизбежно  приведет   к   возникновению
антагонистических,  враждебных  отношений  между  людьми",-- подчеркивает Г.
Селье.  С  другой  стороны --  и  это  не такой  уж редкий  случай,--  можно
жертвовать собой ради других. И в этом есть зерно истины, как считает Селье,
так как нормальному человеку  всегда приятно доставлять удовольствие другим.
Опасность здесь кроется в том, что  альтруизм,  доведенный  до крайности, --
всегда ставить  интересы  и нужды других выше своих  собственных, -- ведет к
постоянной, пусть  не всегда осознанной  фрустрации  из-за стресса. Для того
чтобы избежать этих отрицательных последствий, Ганс Селье создал собственный
"рецепт", код поведения,  который назвал "альтруистическим  эгоизмом". Смысл
его заключается в следующем: думай о себе, но будь необходимым для других --
и  ты  добьешься  хорошего  расположения  к  себе.  Г.  Селье  считает,  что
стремление  быть всегда полезным и  необходимым для других может стать целью
жизни  каждого. Следуйте ему, и  оно поможет  вам  предупредить самые плохие
последствия стресса.
     Филипп М. Тойама
     профессор, директор Центра реабилитации
     от стресса (США)

     Посвящается Габриэль Селье, которая
     терпеливо делила с автором стресс,
     сопутствующий написанию этих заметок.


     Цель  этой книги --  представить  некоторые  проблемы  науки на примере
жизни одного ученого, того  единственного, кого я действительно хорошо знаю.
Это  не  попытка  изобразить  идеального ученого,  которому  новичок  должен
стараться  подражать,  и не самооправдание, а просто  человеческий документ,
рабочий отчет о том, что сделал один  исследователь и почему  он так сделал.
Ничем большим эта книга и не могла бы быть, ибо никакие два ученых не похожи
-- и не должны быть похожи -- друг на друга.
     Я попытался безжалостно препарировать свой разум, как можно объективнее
описывая и анализируя  все  его характеристики независимо от того, одобряю я
их или нет. В результате не все страницы этой книги в равной степени приятно
читать. Возможно даже, что порой вы будете шокированы, и, быть может, вполне
справедливо. Но зато  вы  с  самого  начала осознаете, что в реальной  жизни
ученые далеки от  совершенства -- факт, тактично опускаемый в  некрологах  о
них и иногда даже в их биографиях.
     Свободно высказывая  свои взгляды, я вполне допускаю,  что демонстрирую
изрядную  степень наивности  и неосведомленности в  вопросах,  о которых мне
стоило бы либо знать больше, либо вовсе промолчать. Такие разделы книги я бы
мог  с  легкостью изъять,  дабы  соблюсти  свое достоинство.  Известно,  что
существуют  многочисленные пристойно  отретушированные  биографии  и мемуары
значительно более крупных ученых,  чем я, но я чувствую, что для того, чтобы
в  моих заметках  содержалось  нечто,  чему можно  было бы научиться, мне не
следует  подвергать их самоцензуре. Не  исключено, что вас будет  раздражать
моя  озабоченность  мелочами,  а  некоторые  мои  критические высказывания и
взгляды покажутся вам бестактными. Но задача  состоит в том, чтобы описывать
себя  не  таким, каким  я должен быть,  а  таким, каков я есть.  Если хочешь
рассказывать честно, неприятные вещи нельзя утаивать.
     А  потом,  как  знать,  не  зависит  ли  успех  в той  или  иной  сфере
деятельности  от своего рода  дефектов  и даже уродств? Квазимодо из "Собора
Парижской богоматери" Виктора  Гюго --  один из самых уродливых литературных
монстров,  и  при  всем  том  его  скрюченное  гротескное  обличье  скрывало
исполненную  бесконечной  любви и сострадания  душу. Трудно представить себе
Квазимодо нормально сложенным, с  обычной внешностью  здорового французского
крестьянина и обладающего при этом столь сильной тягой к нежности и желанием
ее проявить.






     Дорогой Джон!

     Поскольку, как  ты  утверждаешь,  ты  хотел  бы  продолжить  мою  линию
исследований, я препровождаю тебе это собрание свободных заметок,  в которых
я на протяжении  последних тридцати  пяти лет фиксировал свои впечатления  о
науке и ученых. Это весьма сокровенные личные восприятия, вспышки  сознания,
освещающие  нечто сокрытое, чего  не почерпнуть из моих специальных статей и
книг. До  сих пор  я  чувствую,  что  это  "нечто" сыграло  решающую  роль в
определении не только направления моей работы, но и всего стиля моей  жизни.
Разумеется,  я  не намерен  навязывать  тебе  свои взгляды  - ты должен жить
собственной жизнью. Единственное,  что  я  прошу,- перелистать эти заметки в
моменты  досуга  и посмотреть,  нельзя ли извлечь некоторую пользу из  моего
опыта, принимая хорошее  и отвергая плохое. Это могло бы  в известном смысле
состыковать наши жизни, и  ты смог  бы  с самого начала учесть  тот опыт, на
приобретение которого мне понадобилось столь долгое время.
     Если  бы  я  в  начале моей деятельности знал то, что  знаю теперь,  то
наверняка  многое сделал бы лучше:  чтобы устранить шероховатости, требуется
время.  Моей первой статьей  - "Синдром,  вызываемый различными вредоносными
агентами"  (написанной,  когда  мне  было двадцать восемь  лет)  -  особенно
гордиться не  приходится. Если  б  я  знал  тогда то,  что  знаю теперь, то,
уверен,  сформулировал  бы  понятие  стрессового  синдрома, вдвое  сэкономив
лабораторную работу и  девять десятых  бумаги.  Полагаю,  что смог бы  также
избежать значительной доли противодействия, порождаемого  случайными  и мало
существенными для  меня спекуляциями. Мне  следовало бы понимать также,  что
многочисленные критические нападки - неизбежный удел всякой новой концепции.
Если бы я знал, как себя вести с начальником, когда был рядовым сотрудником,
и как обращаться с подчиненными, когда  сам  стал руководителем!  Если бы  я
знал  тогда,  как  выбивать  средства и  штаты  для  ускоренного  проведения
исследований, как организовать работу нашей огромной библиотеки так, чтобы в
ней  за  максимально  короткий срок  можно  было  найти  желаемую книгу, как
скоординировать  деятельность   различных  лабораторий  для   их   успешного
функционирования!.. Честное слово, Джон, если бы только я знал тогда то, что
знаю теперь, я, может быть, и тебя разыскал бы на пару десятилетий раньше (а
возможно, и  несколько таких,  как  ты)! Только представь,  что мы могли  бы
сделать, объединив наши усилия!
     Я  уже  слышу,  как  ты  говоришь  (или  по  крайней  мере  почтительно
предполагаешь в  своей  неповторимой манере), что у меня нет  статистических
подтверждений  достигнутого прогресса. Но ты должен признать, что свои более
поздние работы, например по сердечным  некрозам и кальцифилаксии, я проводил
в условиях гораздо  более  благоприятных, чем  ранее.  Да и сама атмосфера в
нашей лаборатории за последнее время заметно улучшилась.
     Но, на мой взгляд, самая  важная вещь, которой я научился,- это чувство
уверенности  в  себе; теперь  мне уже не нужно  тратить время  на оправдание
своих методов в глазах других и в своих собственных. Объективно настроенному
молодому человеку всегда  не хватает уверенности в себе, поскольку он еще не
в силах доказать, что стоит на правильном пути.
     Возьмем, к примеру,  мое  ярко  выраженное  предпочтение  к  применению
максимально более простых методов.  Мне нравится  держать крысу  на ладони и
просто наблюдать за ней.  Мне  нравится разглядывать ее органы под лупой или
на гистологических срезах, окрашенных простейшими способами. Несмотря на мою
докторскую степень  по  химии, я  никогда не  прибегал к сложным  химическим
процедурам.   Я   никогда  не  использовал  изотопные   методы,  электронный
микроскоп, рентгеновскую дифракцию или что-нибудь еще в этом роде не потому,
что  я  недооцениваю  их  значимость,  а  просто  потому,  что  меня  больше
интересует  общая  картина,  чем  детали.  Я  ощущаю  себя  как-то  ближе  к
Матери-Природе,  когда  могу  наблюдать  ее  непосредственно  теми  органами
чувств, которые она сама мне дала,  чем когда между нами  стоят инструменты,
так часто  искажающие ее облик. Легко распознаваемые, явные изменения  формы
или поведения не  только  меньше подвержены "инструментальным ошибкам", но и
благодаря     своей     простоте    лучше     поддаются    широкомасштабному
экспериментированию,  необходимому  для установления единства  и взаимосвязи
многочисленных жизненных процессов,
     Порой мне  казалось,  что я  выгляжу "отсталым" в этой  моей страсти  к
простоте и всеохватывающему подходу. Тем более что в науке сегодня действует
совершенно противоположная  тенденция. Создаются все более  сложные средства
для все более  глубокого "копания" в каком-то  одном месте. Разумеется,  это
необходимо. но не для всех, Джон, вовсе не для всех! Узкий специалист теряет
общую перспективу,  более  того, я  уверен, что  всегда  будет  существовать
потребность  в ученых-интеграторах:  натуралистах,  постоянно  стремящихся к
исследованиям  достаточно  обширных  областей   знания.  Меня  не  беспокоит
возможность  пропуска отдельных деталей. Среди  нас должен  остаться кто-то,
кто   будет   обучать   людей  совершенствовать  средства   для  обозревания
горизонтов, а не для  еще более пристального вглядывания в бесконечно малое.
Мы должны готовить ученых, которые  могут  организовывать большие коллективы
для  исследования  обширных областей  знания,  пусть  даже  самыми  простыми
методами.  Мы  должны  создавать   огромные  информационные  системы,  чтобы
постоянно быть осведомленными  о  многих вещах. Ряд проблем такого рода пока
еще  не вошли в круг твоих интересов,  но, надеюсь, со временем ты займешься
ими. В любом случае я могу опереться на твою помощь в этом отношении.
     Но  у меня есть  и другая, гораздо более личная и эгоистическая причина
для   того,   чтобы  тратить   время   на   редактирование   этих   заметок,
предназначенных для тебя. До сих пор мне практически не с кем было разделить
тот  мир,  в котором  я живу,  поделиться всем тем,  что меня  действительно
интересует,  теми идеалами,  ради  которых,  как  мне  кажется,  стоит жить.
Большинство  людей считают меня достаточно  самонадеянным,  но  я нуждаюсь в
доверительной откровенности так  же,  как и  любой другой, а  быть может,  и
больше,  потому  что  там, где  витают мои мысли,  не может  быть  множества
сочувствующих. Насколько я могу судить, там нет никого, с кем  можно было бы
толком  поговорить,  с  кем  я  мог  бы  почувствовать  себя  связанным  тем
естественным сродством, которое  делает  ненужным всяческие  экивоки  и дает
возможность взаимной "сверки координат" в путешествии по жизни.
     В   повседневной  жизни  такие   близкие   и   теплые   взаимоотношения
складываются,  как  правило, между членами  одной семьи или  рода, однако те
мотивы, которыми я руководствуюсь в выборе своего пути,  не совсем обычны. Я
люблю  тепло семейной жизни и хочу ощущать  то  чувство уверенности, которое
возникает,  когда делаешь что-нибудь для других. Но наиболее характерные для
меня   чувства  удовлетворения  и  соучастия  обязаны  своим  происхождением
определенного  рода  резонансу  с  общими  законами  Природы. А  они слишком
грандиозны, чтобы вызывать иное  чувство, кроме  восхищения (если только  не
разделять полностью  их понимание  с другими  людьми). Такое взаимопонимание
дается не легко. Чем дальше продвигаешься в глубь неизведанного, тем  меньше
попутчиков остается рядом с тобой. Если же рубеж твоего продвижения опередил
достигнутые  ранее рубежи,  ты останешься один.  Ты,  Джон, для меня  символ
того,  кто в  этот  момент  будет рядом со мной. Вот  почему  я ищу тебя всю
жизнь.
     Когда я был молод, я воображал тебя  отцом или учителем, позже - братом
или  женой, а теперь - сыном либо  учеником. Я имел счастье  испытать  тепло
всех этих видов  связей  между людьми,  но  дары, которые они мне приносили,
были неравноценными.  И тем не менее я очень ценю  их  все, вот  мне  уже за
пятьдесят, а я все еще ищу кого-то вроде тебя.
     Быть может, таких, как ты, много, а  быть может, ты просто  плод  моего
воображения.  Скорее всего,  ни  с  кем мой разум не  состоит  в  подлинном,
близком  родстве.  Но  время  уходит,  и,  не  зная,  существуешь  ли  ты  в
действительности, я  твердо знаю, что ты мне нужен.  Вот почему мне пришлось
тебя выдумать. Как часто в науке начинаешь понимать, что абстракции бывают в
такой же или даже в большей степени реальны, чем осязаемые конкретные факты.
Вот я и создал тебя, Джон, своим младшим духовным братом и последователем, с
которым я могу обо всем потолковать.
     Ибо  кто брат мой?  Человек  моей  крови -  даже если у нас  нет больше
ничего  общего - или человек  моего  духа,  с которым нас связывает  теплота
взаимопонимания  и  общих идеалов?  Я продолжаю  надеяться,  что где-нибудь,
когда-нибудь ты материализуешься. Не исключено, что, публикуя эти заметки, я
и в самом деле вызову тебя  к жизни, обеспечив  тем  самым преемственность в
моем  движении  по  пути  с  Природой  -  пути, который  принес  мне столько
удовлетворения.

     Ганс Селье Монреальский университет, февраль 1964 г.





     Впервые  я  был  пленен  возможностями экспериментальных  исследований,
когда учился  на медицинском факультете. Именно тогда  мне  пришлось принять
самое важное  на протяжении всей своей жизни решение,  а именно: выбрать эту
специальность из числа столь многих, возможных  для врача. Причем в то время
я практически ничего не знал о том, чем  собирался заняться. Представление о
науке, которое получаешь  из учебников,  так  же как  и образ ученого, в том
виде, в каком он представлен в его лекциях  или в  биографии, страшно далеки
от реальности. Я настолько же  не догадывался об этом  тогда, насколько знаю
это теперь.
     Я все еще живо помню, как рвался по-мужски потолковать с тем или другим
из моих  профессоров,  занимавшихся  медицинскими  исследованиями,-  людьми,
которые  пишут  учебники  или,  вернее, создают  материал, из  которого  они
состоят. Я смутно чувствовал, что у них можно многому научиться, если только
заставить их раскрыться и поговорить  с ними "по душам", чтобы они не просто
учили меня с лекционной  кафедры или посредством своих учебников, а поведали
бы мне то, чем они "дышат".  Скорее всего,  тогда я даже  не  смог  бы точно
сформулировать свои вопросы. Но что я действительно хотел узнать,  так это в
какой  мере удовлетворены они  своими успехами, каковы причины  их  тревог и
неудач, что нужно для того, чтобы стать  ученым. В  сущности, я хотел узнать
от них все, что они  могли бы мне рассказать! Теперь, по прошествии стольких
лет, я все еще не уверен даже в том, что следует спрашивать, не говоря уже о
том, что отвечать.
     По-видимому, никто и никогда не напишет исчерпывающее исследование всех
проблем экспериментальной медицины, да в этом, на мой взгляд,  и нет большой
необходимости. Как я постараюсь показать ниже, одной из  главных задач науки
в целом является  краткое и простое формулирование фактов. Именно предельная
простота  - быть  может,  чуть смягченная человеческой  теплотой,- и  должна
стать  основной тональностью  изложенного ниже. Мы находимся  на заре  того,
что, несомненно,  войдет  в  историю  как  Век Фундаментальных Исследований.
Наверное,  нам  стоит   чуть  приостановиться  и  попытаться  сформулировать
основные проблемы экспериментальной медицины, с которыми нам придется теперь
иметь дело.
     Трудно сказать, кому  бы следовало написать такого рода заметки. Что же
касается  меня,  то я с грустью осознаю, что почти полное  отсутствие у меня
систематической  подготовки в  области  философии,  логики и физических наук
представляет собой серьезный недостаток. Хуже того, мой  опыт в писательском
искусстве ограничен лишь научными текстами. Однако я обладаю по крайней мере
одним необходимым для этой цели качеством, которого, похоже, нет ни у одного
из моих коллег,- желанием пробовать.
     Вопросы,  которые я часто задавал, будучи  новичком,  и  которые  столь
многие  с  тех  пор  задавали  мне,  почти  всегда  одни  и  те же.  С  моей
непреодолимой потребностью все классифицировать  я разбил  их  на  следующие
шесть групп:
     1.  Почему?  Почему  вы  избрали  научную  карьеру?  Чем  вы  при  этом
руководствовались? Какое удовлетворение получаете вы от нее?
     2.  Кто?  Кто  должен  заниматься  наукой?  Какие способности  наиболее
необходимы для этого?
     3. Что? Что такое хорошая тема? Как оценить значимость и осуществимость
темы,  когда вы только  начинаете  ею заниматься и  еще не  знаете конечного
результата?
     4.  Когда?  Когда  лучше всего делать  одно и  не делать другого? Каков
"порядок приоритетов" в науке?
     5. Где? Где следует работать? Из чего формируется благоприятный  климат
для занятий наукой?
     6. Как? Как следует проводить исследование после выбора темы?
     Конечно, наиболее  всеохватывающей  является последняя из перечисленных
групп.  Она  включает и методы  лабораторной  работы,  и правила  разработки
экспериментов  и теорий, и использование  логики, статистики  и интуиции для
критической оценки результатов. Она включает даже и ваше личное поведение  в
лаборатории  и  вне ее, ваше  отношение  к  критике, извечную  борьбу  между
потребностью в  самостоятельной работе и  преимуществами  коллективной.  Она
включает  различные  проблемы  по организации работы,  ее  финансированию  и
подбору сотрудников и еще многое, многое другое.
     В процессе чтения  этой книги не забывайте, что я не пытаюсь навязывать
вам какие-либо взгляды. То,  что хорошо  для меня, может  не подойти вам;  в
этой   области   деятельности  не  существует  общего  кодекса  поведения  и
единственно  верного  пути. Ученые,  на мой  взгляд,  самые большие  в  мире
индивидуалисты.  Все мы  абсолютно  разные люди  и  должны  бытъ такими; все
попытки подогнать нас под один шаблон заранее обречены на провал.  Одно могу
сказать  с уверенностью: если бы в начале  своей карьеры я знал все, до чего
мне пришлось доходить методом проб и  ошибок (боюсь, в основном ошибок). это
оказало бы мне громадную помощь. Надеюсь, именно  такую помощь  и окажет вам
эта книга.




     Нелегко  объяснить,  почему  люди  хотят  заниматься  научной  работой,
руководствуясь  при этом различными мотивами. Есть "ученые", работающие ради
денег, власти  и  общественного  положения, но для  достижения  всего  этого
существует  гораздо  более  надежные  пути. Подлинными учеными редко  движут
подобные мотивы.
     В  наши  дни  научные достижения  приносят  немалое признание, а ученые
нуждаются в периодическом одобрительном  "похлопывании по  плечу", точно так
же,  как  и  все  простые  смертные,  хотя они, по тем или иным причинам, не
очень-то склонны в этом  сознаваться. Разумеется,  значение имеет не шумовой
уровень  аплодисментов, а кто  и за  что  вам  аплодирует. Мало  кто  желает
остаться анонимным,  зато  многие  вступают  в  ожесточенную  борьбу за свой
приоритет,  стремясь получить  признание со  стороны компетентных коллег, и,
что  любопытно,  за  достижения  совсем  особого  свойства.  Они хотят  быть
уверенными в  том, что в самом деле поняли некие скрытые законы Природы. Они
хотят  иметь право  повторить  слова  прорицателя из  "Антония  и Клеопатры"
Шекспира: "Порой в великой Книге Тайн Природы мне удается кое-что прочесть".
И,  осознавая это,  многие из  них, в особенности медики, получают наивысшее
удовлетворение  от   облегчения   человеческих  страданий.  И  адвокат,  как
известно, может предотвратить страдания клиента с помощью искусной защиты, и
политический деятель  может  сделать то  же самое  в еще  большем  масштабе,
проводя  в   жизнь   полезный   закон,  и,   наконец,   полководец   удачным
стратегическим маневром может спасти  жизнь тысячам и тысячам  людей. Но все
эти люди защищают  одного человека от другого и, как  правило, за счет этого
другого.  Выигрыш  при этом  всегда временный и  касается  лишь определенных
людей. Тайна же Природы, открытая однажды, постоянно  обогащает человечество
в целом.
     И  все  же ни слава, которую может  принести наука, ни ее потенциальная
польза  -  во  всяком  случае,  в  ее  общепринятом понимании - не  являются
единственными   притягательными    сторонами    науки.   Главная    "польза"
фундаментального  исследования та же,  что и  у розы, песни  или прекрасного
пейзажа,- они доставляют нам удовольствие. Каждое  научное открытие выявляет
новую грань в гармонии Природы  для нашего пассивного наслаждения.  Но наука
не  только "зрелищный  вид спорта" -  ученый активно  участвует  в раскрытии
прекрасного.  Этот  тип  деятельности  -  единственный  из  всех,  доступных
человеческому разуму,- наиболее близок к процессу творчества.
     Разумеется, если вы еще  не испытали этого чувства, мое описание лишено
смысла; если  же вы с  ним  знакомы, такое описание, в  общем-то,  не нужно.
Словесное  описание радости поцелуя  мало что даст тому,  кто никогда его не
испытывал,  а остальным  оно навряд ли нужно.  Но инстинктивное предвкушение
удовольствия  предшествует и поцелую, и научному открытию, и  каждый,  кто в
конечном счете  стал ученым,  должен был  ранее это смутно  предчувствовать,
иначе ему не пришло бы в голову посвятить себя науке.
     Если  вы молодой  врач,  интересующийся наукой,  то  лучшее, что  могут
сделать  мои  заметки,-  это помочь  вам  проанализировать свои  собственные
чувства. Я  думаю, что  такой анализ  должен быть полезен сам по себе именно
теперь, когда вам  необходимо принять  самое  важное решение в вашей  жизни:
посвятить себя научным исследованиям или  практической  медицине. Быть может
вы  врач по призванию и ваше решение  в пользу практической деятельности  не
обязательно  продиктовано  материальными соображениями: все настоящие  врачи
получают удовольствие от прямого контакта  с  пациентом{1}. Если  вы выбрали
научную  работу, вы  никогда  не  увидите благодарных  глаз матери,  ребенка
которой вы спасли, вы никогда не сможете сказать,  что, не окажись вы рядом,
человек умер бы. Но если вы будете успешно трудиться в тиши своего кабинета,
вы  испытаете  удовлетворение  от  сознания того,  что, не открой  вы закона
Природы, никакой практикующий врач не смог бы применить его на  благо своего
пациента.
     Для новичка мои заметки не  могут быть наполнены тем же смыслом,  что и
для меня,  однако именно  таким  образом  лучше всего  объяснить,  почему  я
занимаюсь наукой. И если вы рождены исследователем, вы меня поймете.
     Итак,   мотивы,   побуждающие   ученых   заниматься    наукой,   весьма
разнообразны. Теперь попытаемся детально  разобрать их, ибо одна из основных
целей этих  заметок -  призвать вас  максимально откровенно проанализировать
мотивы,  которыми  вы руководствовались при выборе  специальности, и решить,
действительно ли вы хотели этим заниматься. Нет ничего более печального, чем
неудачник  в науке. Большинство  из них - это  просто мало приспособленные к
чему-либо люди, попавшие в науку случайно.
     Некоторые   мотивы  для   избрания  научной  деятельности   заслуживают
одобрения обществом, другие оно воспринимает с отвращением. Позвольте мне не
оценивать  их с  этих  позиций,  а  просто перечислить  отдельные  мотивы  -
независимо  от  того, покажутся они вам прекрасными  или  безобразными,- под
воздействием которых человек,  обладающий достаточной квалификацией, добился
успеха и процветания на научном поприще:
     Бескорыстная любовь к Природе и Правде
     Восхищение красотой закономерности
     Простое любопытство
     Желание приносить пользу
     Потребность в одобрении
     Ореол успеха
     И наконец, последнее по порядку, но не по важности:
     Боязнь скуки




     Стремление к  собственности больше,  чем что-либо другое, мешает  людям
жить свободно и достойно.
     Б. Рассел

     Наверное,  для  каждого  ученого,  кем  бы.  он  ни  был  -  историком,
математиком,  химиком,  астрономом   или  физиком,-  характерно   отсутствие
стремления получить от своей работы практическую выгоду.
     Ш. Рише{2}

     Может показаться  странным, что люди должны столь упорно трудиться  над
раскрытием  тайн Природы, не имея в виду никакой практической пользы. Однако
вопрос в  том, что считать таковой. Как говорил Бенджамин Франклин:  "Какова
польза  от новорожденного  младенца?" Далеко не все полезное, с  нашей точки
зрения, является таковым в общепринятом смысле слова. Обычные символы успеха
- деньги, власть или  даже условия труда -  это только средства в достижении
счастья  и приносят подчас  лишь жалкое его подобие.  Ребенок как таковой не
потенциальный "талон" или денежный знак,  на который можно приобрести нечто,
делающее  нас счастливыми,- ребенок  приносит нам счастье  сам  по себе. Все
общепринятые   знаки  практической   ценности   являются  просто  средствами
обеспечения счастья.  Так почему же  не пропустить промежуточные стадии и не
шагнуть  сразу к  цели? Настоящее  искусство - великое произведение живописи
или музыкальный шедевр - полезно потому, что  оно возвышает нас над заботами
повседневной  жизни,  приносит нам  умиротворение,  безмятежность и счастье.
Фундаментальные  исследования, то  есть  изучение  законов Природы,  нередко
предпринимаются по тем же побудительным мотивам.
     Одни вещи хороши в каких-то определенных  целях, другие - сами по себе,
а  третьи - и сами по себе, и для чего-то еще. Деньги полезны только потому,
что  на  них  можно  что-то купить,  сами  же они  как таковые  ценности  не
представляют.  Удовольствие  слушать  прекрасную  музыку  или  дегустировать
отменное  вино замечательно само по  себе, но  купить  что-нибудь в обмен на
такое удовольствие мы не  можем. В  то  же время большинство вещей,  которые
хороши сами по себе, хороши также и для чего-то: приятно вкусно поесть и при
этом  получить пользу для  здоровья.  Природа  хитроумно устроила  так,  что
большинство полезных вещей вызывают у нас субъективное чувство приятности. И
это  касается не только питания  и  размножения, но и познания.  Открытие  в
области  фундаментальных  исследований,  например,  доставляет  радость  вне
зависимости   от   его  возможного   практического  применения.   Но   любое
приобретенное таким образом знание рано  или поздно становится полезным тем,
что увеличивает нашу власть над Природой.
     Характерно,  что  хорошие  вещи  столь  часто  играют  роль  ценностных
символов,  на которые  можно  купить  другие хорошие  вещи,  что  становится
довольно  трудно  отличить цель  от средства.  Скупец  любит перебирать свои
сокровища, и, как  ни странно, некоторые  (хотя  и немногие) ученые получают
настоящее наслаждение от  создания своих  научных  работ,  ибо  сам  процесс
"перебирания" средств  убеждения вызывает приятное ощущение достижения цели.
Быть  может,  я  говорю  малоприятные  вещи,  но  для   ученого  даже  самая
непривлекательная правда прекраснее самой приятной подделки.




     Я кажусь самому себе мальчиком, играющим у моря, которому удалось найти
более красивый камешек, чем  другим,  но  океан  неизведанного лежит  передо
мной.
     Исаак Ньютон

     Трудно объяснить красоту перехода от тайны к закономерности. Собиратель
марок,  спичечных   этикеток,  бабочек  или  человек,  решающий  кроссворды,
наслаждаются   чувством   завершения  закономерных   последовательностей   и
процессом нахождения признака, в соответствии  с  которым большое количество
очевидно  разнородных  объектов  могут  быть  расположены  неким  логическим
образом. Чем  более разнообразны, необычны и загадочны  объекты, тем большее
удовлетворение доставляет нам обнаружение закономерностей, в  соответствии с
которыми  их  можно размещать в  удобном и  гармоничном порядке, делающем их
доступнее для понимания.
     В  детстве  мы  радуемся, встречаясь  с чудесными и загадочными вещами.
Когда ребенок указывает  на что-то необычное, никогда не виденное им ранее -
яркую  бабочку, слона или морскую  ракушку,-  сколько радости светится в его
глазах, когда он кричит: "Смотри, папа!"
     Всякий, кто способен чувствовать, глядя на небо в  ясную ночь, не может
не  спрашивать  себя,  откуда  берутся  звезды,  куда  они  исчезают  и  что
поддерживает  порядок во Вселенной. Такого же рода вопросы мы задаем, изучая
самоорганизующийся  бесконечный  мир человеческого организма и  заглядывая в
восприимчивые   и  испытующие   человеческие  глаза,  постоянно  стремящиеся
преодолеть  разрыв между двумя  этими  мирами.  Созерцать красоту и гармонию
Вселенной,  хоть  в  какой-то  степени  их  постигая,-   одна  из   основных
человеческих  способностей,  доставляющих  ему наивысшее удовлетворение. Это
достойное  и благородное занятие вне зависимости от  тех  материальных благ,
которые  оно  может  принести.  Но  оно  и  на самом  деле  помогает  нам  в
повседневной жизни, подобно тому как верующему помогает глубокая религиозная
вера,  а  мыслителю  -  сложившееся  философское  мировоззрение.  Созерцание
чего-то   бесконечно  более  великого,  нежели  наша  собственная   персона,
заставляет все  наши  повседневные заботы  как бы  уменьшаться  в  размерах.
Существует некий душевный  мир  и спокойствие, достичь  которого  можно лишь
через соприкосновение с возвышенным.
     Но с течением времени  большинство из  нас (но не все)  теряют этот дар
чистого наслаждения.  По мере нашего дальнейшего  знакомства  с повседневным
миром  вещей  привычное  начинает  приедаться. Мелочная  череда каждодневных
проблем имеет свойство  притуплять  нашу  чувствительность  к  бескорыстному
наслаждению чудесным и величественным. К сожалению, в наше время большинство
людей стали  столь практичными, настроенными  на "продвижение в жизни",  что
они  уже  больше не в  состоянии задуматься над тем, к  чему же они все-таки
стремятся.   С   течением   времени  преуспевающий   бизнесмен  или   умелый
администратор  начинает   испытывать   чувство  потерянности  и  бесцельного
"дрейфования" по реке времени - навстречу пенсии и смерти.
     Сколько   людей  упорно  и   вдохновенно  трудятся  ради  осуществления
некоторой цели, обещающей завтра обеспечить досуг и возможность наслаждаться
жизнью! Но "завтра" так никогда и не становится "сегодня". Всегда появляется
другая цель,  которая  обещает еще  больше  и требует  еще  чуть-чуть больше
усилий.  Вот  почему столь  немногим людям,  чей  жизненный  путь  ничем  не
примечателен, удается сохранить этот чудесный дар, которым все мы обладали в
детстве,- способность по-настоящему  радоваться  бытию. Болезненно осознавая
эту потерю, взрослые люди  подбадривают себя  еще более интенсивной  работой
(либо  алкоголем),  с  тем  чтобы  не  задумываться  над этим.  Вдохновенный
художник,  поэт, композитор,  астроном  или биолог  в  данном  отношении так
никогда и не  взрослеют, они не теряют абстрактных сокровищ своей наивности,
как бы  стары  или  бедны  они ни были.  Они  сохраняют  детскую способность
незаинтересованного удовольствия. Ибо удовольствие всегда не заинтересовано,
ведь  за   него   не   следует  никакого   вознаграждения  -  оно   является
вознаграждением само по себе.
     Подлинный  стяжатель  так занят все новыми вложениями своих  капиталов,
что  никогда  не   научается  пользоваться  ими.  "Реально  мыслящие  люди",
преследующие "практические цели", в долгосрочной жизненной перспективе редко
оказываются столь же реалистичными и практичными, как мечтатели, стремящиеся
лишь  к  своей мечте. Подлинные  ученые даже  в  глубокой старости сохраняют
определенный романтизм,  мечтательный и исполненный  воображения склад  ума;
они продолжают  жить  в мире увлекательного,  причудливого, необычного;  они
никогда  не перестают изумляться  грандиозности  и непогрешимому постоянству
законов, правящих гармонией Природы внутри и вне человека.




     Если любопытство  ассоциируется с чем-то  дурным,  то лишь потому,  что
люди  склонны  смешивать любознательность  с пронырливостью.  Любознательный
человек хочет узнать  то,  что его как-то  касается, а  проныра сует  нос  в
личные  дела  других. Любопытство одолевает настоящего  ученого, он не может
без  него жить. Когда  исследователь теряет эту побудительную  силу - потому
ли, что  его усилия слишком часто заканчиваются неудачей, или потому, что он
самодовольно удовлетворяется "практическими достижениями",-  он удаляется от
науки  и  находит  прибежище  в самооплакивании  или чванной гордости  своим
благополучием.  Однако  не  будем   касаться  научной  любознательности  как
таковой, ибо она перекрещивается с массой других побудительных мотивов.




     Они знают, что, быть может, именно благодаря их усилиям на гребнях волн
того темного  океана,  в недрах  которого человечество ведет свою  неистовую
борьбу,  мелькают  проблески  света.  И  все  ученые,  все  без  исключения,
поддерживают  себя  в  своих тяжких  трудах  этой  величественной  мечтой  -
принести пользу своим человеческим собратьям.
     Ш. Рише

     Первый  шаг  - создание  из обыденной жизни картины мира -  дело чистой
науки. Второй шаг -  использование картины мира в практических  целях - дело
техники. Обе  эти задачи одинаково важны, и каждая  из них целиком поглощает
человека,  поэтому  отдельный  исследователь,  если он  действительно  хочет
продвинуть   вперед   свое   дело,  вынужден   сосредоточить  свои  силы  на
одном-единственном вопросе и оставить на время мысли о всех других  связях и
интересах. Вот  почему не следует осуждать ученого за  его отчужденность  от
жизни, за его  индифферентность  к  важным вопросам  общественной жизни. Без
такой  односторонней установки  Герц  никогда не  открыл  бы  беспроволочные
волны, а Кох - туберкулезную бациллу.
     М. Планк

     Бывший министр обороны  США  Чарльз Вильсон сказал, что фундаментальные
исследования - это "то, что вы делаете, когда не знаете, что  вы делаете". Я
не могу полностью согласиться с этим определением.
     Чаще  всего фундаментальная  наука  противопоставляется  "практическим"
исследованиям,   имеющим   непосредственное   применение,   и   предполагает
отвлеченность  от   повседневных  проблем  человечества.  Разработки  систем
вооружений,  новых  марок  телевизоров  или видов вакцин, очевидно, являются
практическими.  Изучение  внутренней   температуры  далеких  звезд,  повадок
крохотнейших живых  существ или законов, определяющих наследственную окраску
лепестков   цветка   гороха,-   все   это   выглядело  поначалу  чрезвычайно
непрактичным.   На   занятия   такого   рода   смотрели   как    на   пустое
времяпрепровождение    интеллигентных,    но   несколько   эксцентричных   и
неприспособленных людей, чьи необычайно блестящие умы отвлечены бесполезными
абстракциями.
     Конечно  же,  фундаментальные   исследования  редко  предпринимаются  с
ориентацией на практическое приложение; они, по существу, никогда не  бывают
предсказуемыми.  Помню  свою собственную реакцию на сообщение моих  школьных
преподавателей  о  том,  что  астрофизики  определяют внутреннюю температуру
далеких  звезд.  "Здорово,-  думал  я,-  но  зачем  это   кому-нибудь  может
понадобиться?" Когда  Луи  Пастер  сообщил,  что  болезни могут переноситься
микробами,  его высмеяли! Забавно видеть  взрослого человека, обеспокоенного
тем,  что он подвержен нападению  крошечных  существ, которых  и  увидеть-то
нельзя!  Когда  австрийский монах  Грегор  Мендель  развлекался  наблюдением
результатов скрещивания красно- и белоцветущего гороха в  монастырском саду,
даже наиболее дальновидные  его  современники  не могли вообразить себе всех
последствий его находок.
     И  тем  не менее без  фундаментальных знаний о поведении далеких  звезд
сегодня мы  не могли бы запускать на орбиту спутники. Без знаний о бактериях
не было бы вакцин,  сывороток и антибиотиков. И без тех самых  наблюдений за
наследуемостью  окраски  цветков гороха никогда не  развилась бы современная
генетика,  столь  важная  для  сельского  хозяйства,  селекционного  дела  и
медицины.
     Чем в большей степени исследование понятно и практично, тем ближе оно к
уже известной нам обыденности. Таким образом, как ни парадоксально, знания о
самых   отвлеченных  и  самых  непрактичных   явлениях  оказываются   самыми
перспективными  для  получения  новых  фундаментальных данных  и ведут нас к
новым  вершинам науки.  Но  на  это  нужно  время и, как  правило,  немалое.
Фундаментальные  исследования  становятся  полезными и остаются  таковыми на
более длительное время, чем прикладные.
     Ряд ученых настаивают на  том,  что фундаментальные исследования должны
вестись в духе  "искусство ради искусства" и их практическая применимость не
должна подлежать оценке. Отстаивая  эту точку  зрения,  они ссылаются на то,
что даже  наиболее недоступное  для понимания  исследование  может  в  конце
концов   дать   практические  результаты.  Довольно  странно,  что  изучение
чего-либо не связанного с практикой нуждается в оправдании его потенциальной
полезностью!
     Каковы бы ни были наши мотивы проведения фундаментальных  исследований,
они, несомненно,  могут стать практически полезными. Но насколько важно  для
ученого  приносить  пользу  людям?  Человек  по своей  природе эгоцентрик  и
эгоист. В мою задачу не входит задаваться вопросом, почему он  таким  создан
или что именно - сила или слабость - лишает некоторых людей интереса к самим
себе. В любом случае такие абсолютные альтруисты  чрезвычайно редки в  общей
массе и, насколько я мог  установить, не встречаются  среди ученых. Человек,
занимающийся  фундаментальной  наукой,  высоко держит  голову:  он  верит  в
несомненную  ценность  своих исследований и готов ради них  понести  немалые
жертвы  и вынудить  к ним других. Если это  эготизм, он должен признаться  в
том, что он эготист{2a}. Убеждать самого себя в том, что он и не помышляет о
собственных интересах, было бы несовместимо с представлением ученого о чести
и даже с объективностью.
     Эгоизм  и эготизм  являются  наиболее  характерным,  наиболее древним и
наиболее  неотъемлемым  свойством  всего  живого.  Все  живые  существа,  от
простейшей  амебы до человека, по  необходимости ближе всего  к самим себе и
являются  наиболее  естественными  защитниками  своих  интересов. Я  не вижу
причин, по которым нам следует ожидать, что кто-то другой станет  заботиться
о  нас  более добросовестно, нежели  о  самом себе. Эгоизм естествен, хотя и
неприятен;  он выглядит  столь  омерзительно, что  мы пытаемся  отрицать его
наличие у  самих себя. Он опасен также и для общества. Мы боимся его, ибо он
несет  в себе  зерна раздора и мести. И  все  же, несмотря  на  свой эгоизм,
многие  ученые,  особенно  медики, в очень  сильной  степени руководствуются
гуманными побуждениями.
     Я не считаю, что эти два явно противоположных мотива отражают некоторую
шизоидную  черту  - что-то вроде раздвоения  личности, при котором  инстинкт
самосохранения  постоянно  борется с  желанием помочь другим.  С моей  точки
зрения, даже  альтруизм  представляет собой видоизмененную  форму  эготизма,
разновидность   эгоизма   коллективного,   призванного    помочь   обществу.
Подсознательно   мы  чувствуем,   что   альтруизм  порождает  благодарность.
Благодарность, к которой мы  побуждаем другого  человека  за  оказанные  ему
услуги,  является, возможно,  наиболее  характерным  для  человека  способом
обеспечить  свою   безопасность  и   стабильность  (гомеостаз).  Тем   самым
устраняется  мотив столкновения эгоистических  и альтруистических тенденций.
Вызывая  чувство благодарности, мы  побуждаем  других разделить с нами  наше
естественное  желание собственного благополучия. Чем  менее человек знаком с
экологией живых существ, тем более отталкивающим выглядит для него такой ход
рассуждений. Но  биолог не призван ставить под вопрос мудрость творения,  он
только анализирует его структуру.
     Каковы бы  ни  были их  сознательные  мотивы,  многие  ученые  обладают
искренним желанием быть полезными обществу. Вот почему даже среди  тех,  кто
занимается  фундаментальными  исследованиями,  не  ожидая  от  них  никакого
практического  выхода,  лишь  немногие  полностью  лишены  надежды,  что  их
открытия  смогут помочь людям  избавиться от  страданий и  достичь  счастья.
Одной  из  наиболее  важных  причин  такого желания  является  потребность в
одобрении.




     Однажды один из друзей сказал Катону Старшему: "Какое безобразие, что в
Риме тебе  до сих  пор не воздвигли  памятника! Я  обязательно позабочусь об
этом". "Не  надо,-  ответил Катон,- я  предпочитаю,  чтобы люди  спрашивали,
почему нет памятника Катону, чем почему он есть".
     Т. Мессон{3}

     Реальный мир  в абсолютном смысле не зависит от  отдельных личностей  и
даже от  всего человеческого мышления, и  поэтому любое открытие,  сделанное
отдельным человеком, приобретает всеобщее значение. Это  дает исследователю,
работающему  в тихом уединении над своей проблемой, уверенность  в  том, что
каждый  найденный им  результат получит прямое признание у всех компетентных
людей. Сознание значимости своей работы является счастьем для исследователя.
Оно  является  полноценной  наградой за  те  различные  жертвы,  которые  он
постоянно приносит в повседневной жизни.
     М. Планк

     Я крайне редко встречал ученых - если встречал вообще,- которые не были
бы заинтересованы в одобрении  своих коллег  и  не были  бы обеспокоены тем,
получат они приоритет на свои открытия или нет. Редко кто берет в руки книгу
или  статью по  своей  тематике без  желания  немедленно  увидеть  в перечне
литературы  или  авторском индексе  свое имя.  Почему  же  многие так ужасно
стыдятся этого чувства?
     Иногда  мы  приглашаем  на временную  работу  в  наш институт  наиболее
выдающихся современных медиков. Стало традицией устраивать для этих почетных
гостей  неофициальный обед, за которым идет  непринужденная беседа. Это дает
нам  возможность  лучше  узнать  этих  людей  с  неформальной  стороны;  чем
руководствуются они в  своей  деятельности, что приносит  им удовлетворение.
Один   из    наиболее    распространенных    вопросов    касается    мотивов
исследовательской работы.  Наиболее частый ответ - "любознательность".  Если
на  ученого "поднажать",  то в  качестве  дополнительных  мотивов  он  может
упомянуть желание принести пользу или  даже признаться, что попал в науку по
чистой  случайности - была вакансия в  лаборатории, а ему нужны были деньги.
Но желание заработать авторитет всегда с возмущением отвергается. А почему?
     Я никогда  не  забуду, как мой самый  молодой аспирант  невинно спросил
уважаемого  гостя:  "В  таком  случае,  сэр, вы  не будете  против,  если  я
опубликую данные эксперимента, который вы показывали нам сегодня? Я ведь вам
ассистировал,  да и раньше делал  похожую работу - правда, не очень успешно.
Это было бы неплохо дополнением к моей  диссертации, сэр... Конечно, если вы
не против,  сэр".  Такая просьба была  не  выполнима, но  вопрос  был  задан
хороший.
     Научная любознательность гораздо легче может быть удовлетворена чтением
публикаций   других  исследований,   чем   работой   в  лаборатории.   Могут
потребоваться годы для  экспериментального  доказательства  того,  что можно
узнать за несколько минут, прочтя опубликованный конечный результат. Так что
давайте не будем себя обманывать:  вряд  ли побудительной  силой  творчества
является чистая любознательность. Быть может, это желание делать добро? Мало
кого  из  ученых  удовлетворила  бы  возможность  делать  добро  на  поприще
политической или благотворительной деятельности.
     Правда заключается в том, что мы  тщеславны, очень  тщеславны. Мы горим
желанием осознавать, что открыли  некий важный закон Природы с помощью нашей
собственной изобретательности.  Почему же  мы так  стыдимся этого? Ведь,  по
словам Уильяма Вудворда,  "тщеславие, без сомнения, принесло гораздо  больше
пользы цивилизации, чем скромность".
     Тщеславие  становится  предосудительным  только  тогда,  когда законная
гордость общепризнанными достижениями превращается в неразборчивую погоню за
славой ради нее самой.  Ни один ученый,  достойный этого звания, не измеряет
свой успех  количеством  похваливших  его людей.  Ни  один ученый  не желает
приоритета на открытие, ошибочно приписанное ему,  и  не хотел бы поменяться
местами с самыми известными политиками, миллионерами или генералами. Ни один
из  известных  мне  ученых наверняка  не испытывает чувства зависти к  славе
чревовещателя,  на которого с  обожанием  смотрят  по  телевидению  миллионы
людей.  Ученые  тщеславны,  им  нравится  признанье,  они  не  безразличны к
известности, которую приносит слава, но очень разборчивы  в  отношении того,
чьего  признания им  хотелось  бы добиться и за что  им  хотелось  бы  стать
знаменитыми.
     На этот счет ученые обладают предельной щепетильностью. Чем более велик
ученый, тем  меньше число людей,  мнением  которых  он дорожит. Но тому, кто
прилежно трудится в одиночестве своей лаборатории над какой-нибудь разгадкой
чрезвычайно запутанного механизма Природы, очень согревает  сердце сознание,
что  где-то в мире  есть несколько человек -  быть  может, всего полдюжины,-
действительно понимающих  важность его  работы и  те  трудности, которые ему
приходится  преодолевать.  Этих  коллег  он  принимает  как  равных  себе  и
чувствует глубокое  удовлетворение  от  того,  что  благодаря  своей  работе
приобрел  духовное  родство с ними. Он  заслужил  себе  место в  кругу  этой
интеллектуальной  элиты. Он  может  общаться с этими людьми, минуя  огромные
расстояния,  языковые и социальные  барьеры и  всю ту  мелочную ненависть  и
зависть,  которые разделяют других.  Думаю,  что в  этот  век  "холодных"  и
"горячих"   войн,   ожесточенной   расовой,   политической   и   религиозной
нетерпимости  или  просто пошлой банальности  людских устремлений ученому не
стоит стыдиться своего тщеславия.




     Сам я -  страстный почитатель героев; мои великие идеалы - Клод Бернар,
Луи Пастер, Роберт  Кох, Пауль Эрлих и  Уолтер  Кеннон{4}. Но более всего  я
обязан  д-ру  Кеннону, которого знал  лично.  Это  был  настоящий  человек и
истинный ученый. Он оказал на  меня огромное влияние,  и на всю свою жизнь я
сохранил  к  нему  большую  привязанность.  Моя  работа по  стрессу  была  в
значительной  степени написана под влиянием его открытия реакций экстренного
выброса адреналина. Даже эти записки несут  на себе отпечаток этого влияния.
Очевидно, я связан с д-ром Кенноном какими-то неразрывными связями. Надеюсь,
он ничего не имел бы против подобных заявлений, будь он жив. Ведь говорил же
он: "Я сын Боудича, который ввел меня в физиологические исследования. Боудич
в свою очередь был сыном Карла Людвига, в лаборатории которого в Лейпциге он
контактировал с другими людьми из многих стран. Через  моего  деда Людвига я
связан со многими  его  последователями, среди них  -  итальянский  физиолог
Моссо, английский фармаколог Бринтон и русский физиолог Павлов. Я имею детей
и   внуков   -   молодых   докторов,  которые   вернулись   из   Гарвардской
физиологической лаборатории в свои страны, чтобы продолжить исследования".
     Как  много идей Кеннона я воспринял! Ничего  не  могу с  этим поделать,
могу  испытывать  только  благодарность за  это.  Ведь  сыновья не могут  не
походить на  своих  отцов,  а  со стороны  потомства  было бы непочтительным
стараться  быть  иными   только  ради  того,  чтобы  избежать   обвинения  в
подражании.   Кроме   того,   переданные  по  наследству  характеристики   в
последующих  поколениях  видоизменяются.  Ни  один  ученый   не   появляется
спонтанно, без предшественников, но в отличие от сына по крови сын по разуму
может по крайней мере выбрать себе родителя.
     Достижению подлинного совершенства  мышления и гениальности в  огромной
степени  препятствует неправильное понимание  лозунга  "все люди  равны",  с
которым Линкольн обратился к своему  народу  после битвы под Геттисбергом. В
буквальном смысле  слова это утверждение явно  неверно: одни люди маленького
роста,  другие  высокого;  одни толстые,  другие худые;  одни  умные, другие
глупые. Линкольн  имел  в  виду только  то,  что  все люди обладают  равными
правами развивать те качества, которыми наделены от рождения.
     Однако  на  практике  даже  и  это  невозможно,  поэтому  нам  советуют
поступать  наилучшим   образом  и  относиться  к  каждому  с  точки   зрения
большинства.  Поскольку мы не  в состоянии  приспособить  процесс обучения к
каждому  ученику,  постольку  будет  "демократично"  подогнать  ученика  под
средний уровень процесса обучения.
     В   нынешних  условиях  вполне  разумно  решать  основные  общественные
проблемы  голосованием,  но  при  решении  научных,  художественных  и  иных
культурных  проблем  должны быть  справедливы  слова  Генри Торо{5}: "Всякий
человек,  который  более прав, чем его соседи, составляет большинство в один
голос"{5a}.




     Сколько  было  написано о мотивах, которыми  руководствуется творческий
человек  на пути  к  славе,  но  как  мало  я  слышал о  скуке  -  одном  из
наимощнейших  мотивов,  который  действует,  беспощадно отсекая  все пути  к
отступлению!
     Все живые существа должны или действовать, или  погибнуть. Мышь  должна
находиться в постоянном движении, птица летать, рыба плавать и даже растение
должно расти.
     Минимальные  требования  к  активности  меняются  от вида  к  виду,  от
индивида к индивиду,  от времени к времени. Они опускаются до весьма низкого
уровня, когда жизнь замедляется во время сна или зимней спячки, в старости и
при серьезном заболевании, и  поднимаются весьма высоко в период  молодости,
когда тело и разум интенсивно развиваются.
     Нужда в  физических упражнениях имеет тенденцию с возрастом уменьшаться
быстрее,  чем  потребность  в умственной  деятельности. Тело  обычно стареет
быстрее разума. Но если  мы  не находим выхода  своей энергии, она  начинает
устремляться  внутрь  организма,  уничтожая  свои истоки, которые становятся
жертвами  болезненного  саморазрушения. Вынужденное  бездействие - будь  оно
следствием лени или отстранения от дел не по своей воле  - порождает чувство
неуверенности  в себе, депрессию,  ипохондрическую озабоченность  состоянием
своего  тела  и разума. Занятый человек не имеет времени  решать  даже самые
серьезные  проблемы,  а бездействующий  - изводит себя, чтобы  как-то  убить
время.
     Творческие люди заняты  интенсивным поиском  "духовных отдушин", и если
они уже приобрели вкус  к серьезным  умственным  упражнениям, все  другое  в
сравнении с этим представляется им не  стоящим внимания. Мало кто из  ученых
увлекается чем-то  еще, кроме  науки, и я думаю, что именно  ужасная  боязнь
скуки  с такой же  силой  не  дает им  заняться  "мирскими"  делами, с какой
страсть к науке влечет их к исследованиям.







     Если пытаться перечислить характеристики, представляющиеся мне наиболее
важными   для  научной  деятельности   -  любознательность,   основанную  на
воображении проницательность, способность к критическим  оценкам, абсолютную
честность, хорошую память, терпение, доброе здоровье, щедрость и прочее,- не
следует  взвешивать  их  относительную ценность. В  любом случае это  весьма
затруднительно.
     У. Кеннон

     Если говорить  коротко, то можно  сказать,  что  при создании  гипотезы
ученым требуется столько же смелости, сколько щепетильности они вкладывают в
экспериментирование.
     Ш. Рише


     Из всех  вопросов,  затрагиваемых мною  в  этих  заметках,  чаще  всего
приходится  слышать  следующий: "Считаете  ли вы, что я обладаю  качествами,
необходимыми для научной работы?" Что  это за качества? Вопрос принципиально
важный.  Когда человек решается заняться  наукой или когда  его привлекают к
исследовательской  работе,  то это  совершается в уверенности,  что  человек
обладает  соответствующими  способностями.  Даже  сложившийся  исследователь
порой  должен спрашивать себя,  какие черты в себе ему следует  развивать, а
какие  подавлять.  Я обсуждал этот вопрос  с  очень многими людьми (учеными,
педагогами,  психологами, служащими),  и  мнения  их  чрезвычайно  разнятся.
Интеллект, воображение,  любознательность, настойчивость, дар наблюдения или
абстрактного мышления, инициативность, технические навыки и множество других
качеств были выделены  как  особенно важные.  Уместны  ли  здесь  обобщения?
Морфолог  нуждается  в  способности  к  визуальному  наблюдению  значительно
больше,  чем  биостатистик;   хирург-экспериментатор   или  создатель  новых
медицинских  инструментов гораздо сильнее  зависит  от  технических навыков,
нежели историк медицины.
     Я не  настолько компетентен, чтобы  обсуждать  качества необходимые для
всех типов  исследовании, поэтому я займусь тем, что мне  ближе. Например, я
ощущаю  настоятельную необходимость в сведении  воедино огромного количества
данных, публикуемых в настоящее время в медицинских журналах; но, чем больше
публикаций,  тем меньше людей, желающих заниматься такой интеграцией данных.
А ведь сущность науки заключается в упорядоченном сравнении  и классификации
знаний, а  не  в простой регистрации  фактов. Непрерывный  поиск  все  новых
деталей  будет  и  должен  продолжаться наряду с  совершенствованием методов
разработки,  но этот тип  деятельности требует скорее  специальных  навыков,
нежели подлинно научного таланта.
     В любом случае, насколько это возможно, я предпочитаю говорить о вещах,
известных мне по  собственному опыту,  а  не из отвлеченных спекуляций.  Для
этого  в  качестве примеров  я буду использовать  открытия, сделанные  нашей
группой,  даже  если в  литературе можно  найти  и более  важные.  Из  опыта
проведения наших семинаров я знаю, как порой бывает трудно восстановить цепь
рассуждений,  приведшую к какой-либо  находке. Ретроспективный взгляд всегда
склонен к идеализации,  и при попытке реконструировать путь, по которому шли
к  своим открытиям  другие  исследователи,  "ретуширование" может  достигать
чудовищных  размеров.  Всякого  рода  критики,   выступавшие  в  медицинской
литературе с анализом одного  сделанного  нами открытия, приписывали нам как
необычайное  предвидение,  так  и  полное  отсутствие такового.  Возможность
подобного непонимания  увеличивается  еще более,  когда речь  идет  о  наших
предшественниках,  творивших  в  прошлые  столетия,-  ведь  нам  практически
неизвестны ни особенности личности этих ученых, ни их коллеги, ни условия их
работы.
     Анализ природы научного таланта  ничего не дает тем, у кого  его просто
нет.  Гений  же  не  нуждается  в поучениях.  И  все  же  если  говорить  об
исследователях  вообще  -  от  самого посредственного  до  гения,-  то, имея
объективное   представление  об   их  способностях,  каждый   может  извлечь
что-нибудь приемлемое для себя.
     Как следует строить такой  анализ? При изучении болезни принято сначала
рассматривать ее синдромы в целом, а затем расчленять их на составные части.
     Мы должны, к примеру, для начала научиться различать такие заболевания,
как  туберкулез, тиф или рак,  прежде чем  сможем  определить индивидуальные
проявления этих заболеваний в пораженных ими органах.
     Почему бы и в нашем случае - анализе научного склада ума - не поступить
точно так  же? Для начала сделаем наброски  нескольких  наиболее характерных
личностных типов, встречающихся в стенах лаборатории, а затем  рассмотрим их
основные индивидуальные способности (так же как и неспособности).




     Если при попытке обрисовать различные типы людей испытываешь к предмету
изображения сильные чувства то такие наброски  имеют  тенденцию превращаться
либо в карикатуры,  либо в идеализированные портреты. Должен признаться, что
не могу справиться со своим предвзятым отношением к некоторым  типам ученых.
Одни вызывают во  мне любовь и восхищение,  другие - ненависть  и презрение.
Позвольте мне  начать с утрированного изображения наиболее несимпатичных для
меня  типажей,  а   затем  нарисовать  гипотетические  портреты   идеального
руководителя  и  идеального  сотрудника.  Ни  один  из  этих  типов людей не
существует в чистом виде,  а для описания личностей ученых  как они  есть на
самом деле потребовался бы  талант Толстого или Достоевского... Эти наброски
низменных и величественных черт  известных  мне людей  науки - лучшее, что я
могу  предложить  с  целью  напомнить  вам, чего  следует  избегать  и  чему
подражать Кстати, между нами: в себе самом я обнаруживаю (по крайней  мере в
зачаточном состоянии) все типы этих людей...




     1. Собиратель  фактов.  Его интересует только обнаружение новых фактов.
Поскольку  эти  факты  ранее  не были  опубликованы,  все  находки для  него
одинаково интересны (и  в равной степени лишены  смысла) и  он  не  пытается
подвергать их оценке.
     Обычно он хороший наблюдатель и добросовестно относится к своей работе,
но начисто лишен воображения, Он строго соблюдает распорядок  рабочего  дня,
но не склонен "пересиживать". Его учителя или коллеги пытаются убедить его в
необходимости  активного  анализа  своих  находок,  но  их  речи обращены  к
глухому...  Он  в  состоянии,  к  примеру,  годами  скрупулезно  исследовать
микроструктуру  крохотной шишковидной железы у всех видов животных, даже  не
пытаясь  удалить ее  операционным  путем или сделать  из нее  вытяжку,  дабы
понять,  зачем  нужен  этот  орган.   Он   может  добросовестнейшим  образом
определять влияние  каждого  вновь  синтезированного  стероидного гормона на
железу  крайней плоти, не проявляя ни малейшего интереса  к  другим эффектам
препарата или же к функциям этой железы.
     "Собиратели фактов" могут обнаруживать  материалы, нужные  впоследствии
для других ученых... И все-таки я рад,  что  этот тип ученого в чистом  виде
встречается крайне редко.

     2.  Усовершенствователь.  Эта разновидность  ученого  близко связана  с
предыдущей. Ее представитель постоянно пытается улучшить аппаратуру и методы
исследования, настолько увлекаясь их совершенствованием, что руки у него так
и  не  доходят  до   применения  достигнутого  им   по  назначению.  Подобно
"собирателю фактов", он рассматривает исследовательский материал как "вещь в
себе". Впрочем, "усовершенствователь" много оригинальнее,  обладает  большим
воображением  и  больше   увлечен   работой.  Он  редко  ограничивает   свою
деятельность рабочими часами.




     1. Книжный червь. Это--наиболее чистая форма теоретика. Он - ненасытный
читатель, обладающий порой познаниями энциклопедиста. "Книжный червь" обычно
очень интеллигентен и демонстрирует большую предрасположенность к философии,
математике или  статистике;  он  прекрасно информирован о  наиболее  сложных
теоретических   аспектах  биохимии  и  биофизики.  Часы,  проводимые   им  в
библиотеке, лишают его руки сноровки, необходимой  для лабораторной  работы.
Перед  тем  как решиться на эксперимент, он досконально  все изучит  в  этой
области, после чего решит вовсе не проводить эксперимента, поскольку тот уже
проведен или бесперспективен.
     "Кто может - делает. Кто не может - учит",- говорил Джордж Бернард Шоу.
"Книжный червь" любит учить,  и  учит  хорошо.  Его занятия  очень  насыщены
информацией, но  безлики.  Подобно  отставному балетному  танцору,  он может
обучать своему искусству других, с той  лишь разницей,  что "книжный  червь"
так  никогда и  не  и не "выступал". Он  безжалостен  на  экзаменах, которые
использует в  основном для демонстрации своих познаний. Его блестящая память
и опыт по  части  индексации и каталогизации в  сочетании  с  талантом  ясно
выражать   свои  взгляды   могут  превратиться  в   неоценимое  подспорье  в
деятельности  различных  комитетов  и  комиссий.  "Книжный  червь"  согласен
заседать во многих  из них и заниматься преподавательской деятельностью, что
служит пристойным оправданием его неуспехов в лаборатории.

     2. Классификатор. Еще ребенком  он занимался коллекционированием марок,
спичечных  коробков  или  бабочек, распределяя  все это  по  альбомам.  Свою
научную  деятельность он  может  сочетать с коллекционированием  бабочек или
растений в целях  их систематизации  по  Линнею или же  с классифицированием
научной литературы,  стероидных гормонов, фармакологических средств - всего,
что может  помочь устранить возможную путаницу при собирании похожих друг на
друга объектов. "Классификатор"  состоит  в близком родстве  с  "собирателем
фактов",  но  предпочитает  только  тесно  связанные  факты,  которые  можно
выстраивать в ряды. До некоторой степени он теоретик, поскольку предполагает
нечто существенно  общее в создаваемых  им  группах объектов,  но редко идет
дальше и анализирует природу этой общности. Давая этим группам  обозначения,
он  тем  самым  удовлетворяет  свою  потребность  в  этом  отношении.  Среди
медицинских   специальностей    "классификаторы"   более   всего    "обжили"
дерматологию.  По  примеру зоологической, ботанической и  микробиологической
систем терминологии бесчисленные вариации кожных заболеваний получили ученые
греко-латинские названия (нередко включающие имена их "крестных").
     "Классификаторы" внесли огромный вклад  в  создание  современной науки,
ибо идентификация естественных явлений и их систематическая классификация  -
это первый шаг на пути создания теории. У "классификатора" подлинно  научная
душа; он получает наслаждение от созерцания совершенства природы, хотя редко
идет дальше своей  удачной  попытки соединить взаимоподобные вещи. Иногда  в
своем увлечении "классификаторством" он доходит до упорядочения предметов по
самым  незначительным характеристикам и питает  страсть к неологизмам, порой
щедро сдобренную  использованием в  изобретаемых  наименованиях  собственной
фамилии.

     3. Аналитик.  В детстве он разобрал на  части наручные  часы (и не смог
собрать их снова), потому что хотел  узнать отчего  они  тикают. Позже,  уже
став ученым, он продолжает демонстрировать тот  же тип любопытства. Одним из
чистейших  вариантов подобной личности является  химик-аналитик,  проводящий
все время в  поисках компонентов  и  не  отягощающий себя мыслями о создании
новых соединений путем  синтеза. В  области медицины "аналитик" предпочитает
анатомию,  гистологию и аналитическую биохимию (как  показывают эти заметки,
его интересует даже,  какая "пружинка" заставляет "тикать" его самого  и его
друзей, и он испытывает острое желание анализировать психологию ученого).
     Определенная  аналитическая  работа является  обязательной предпосылкой
всех  видов классификации  и синтеза, ибо без нее  ни  одно исследование  не
будет  иметь   должной  полноты.  К  сожалению,  однако,  "аналитик"  просто
забывает, что разбирать вещи на составные части можно с единственной целью -
узнать, как их потом собрать вместе, по возможности усовершенствовав.

     4. Синтезатор.  Ребенком он любил строить карточные  домики или мосты и
башни из  пластилина и спичек. В  науке  его синтезаторский талант зависит в
основном  от   практических  и  интеллектуальных   навыков.  Способность   к
синтезированию   проявляется   в   самых   разнообразных  областях:   химии,
измерительных  процедурах,  теоретизировании или же в пластической хирургии.
"Синтезатор" - это  высший  тип  ученого,  поскольку  анализ и классификация
служат  только  предпосылками  для  синтеза.  Величайшая опасность для  него
заключается  в том, что  он может забыть  спросить самого себя, на самом  ли
деле вещь, которую он пытается создать, заслуживает  этого.  Синтезирование,
как и все  прочие  способности, может превратиться  в самоцель и  никогда не
выйти за рамки карточных домиков.




     1. Крупный  босс.  В детстве  он  был капитаном команды -  той, которая
выигрывала. Позже он пошел в науку, потому что это - "класс".  Он  знал, что
сможет победить  и  в этой  игре, и  был прав,  потому что он - прирожденный
лидер. Его главная цель  - успех, успех в чем угодно, успех ради успеха. Его
извращенный   ум  направляется  монументальным  комплексом  неполноценности,
который   он   презирает   и   вынужден   скрывать   за   железным   фасадом
самоуверенности.  Его глубокие раны приобретены в раннем  детстве. Они могли
быть  вызваны  унижающей  бедностью,  уродливой  внешностью  или  социальным
остракизмом,  которому его семья  подвергалась из-за расовой или религиозной
принадлежности, алкоголизма и т. п. В любом случае он твердо решил выбраться
наверх; он покажет всем, что в  этом "вселенском казино" он обставит любого.
Он мог бы сделать почти такую же карьеру в бизнесе, политике или в армии, но
волей  обстоятельств  попал  в "научную  карусель",  где, будучи  игроком по
природе, не намерен упускать свой шанс.
     На   первых  ступенях  своей  карьеры  в   качестве  рядового  научного
сотрудника он опубликовал несколько вполне приличных работ в соавторстве, но
так и не ясно, какая часть этой работы сделана им самим.
     У  него  было  много  любовных  историй,  которые он  всегда  прекращал
достаточно  грубо, и  в конце концов удачно женился, улучшив  при  этом свое
общественное   и   финансовое   положение.   Как   превосходному   политику,
организатору и "заседателю" в различных комитетах ему не потребовалось много
времени, чтобы стать заведующим научно-исследовательским подразделением.
     Даже  теперь  его  самое  большое  достоинство  состоит  в  том,  чтобы
"нажимать  на  рычаги" и  перекладывать  на  других свою  работу. Его  глаза
никогда  не  смотрят  прямо  на  вас,  кроме  тех  случаев,  когда  он  дает
распоряжение, которое,  как  он  знает,  будет  выполнено.  Несмотря  на его
эгоистическую жесткость, он дружелюбен - в стиле соболезнующего похлопывания
по  плечу.  Он легко переходит на "ты",  особенно  с  подчиненными,  и любит
использовать   научный   жаргон.   В   зависимости   от   случая   он   либо
сверхэрудирован, либо вульгарен, причем с одинаковой  легкостью переходит от
роли  недоступного ученого  мужа  к роли демократически настроенного "своего
парня".  Страдая комплексом примадонны  и нарциссизмом, он  очень горд своим
"видением  того, что  важно в науке", хотя  его  показушный,  самодовлеющий,
железобетонный ум  не в состоянии постигать истинные ценности, не лежащие на
поверхности. Благодаря  постоянному участию  в  работе  различных  советов и
комиссий,  а также  в  застольях "с сильными  мира  сего"  он преуспевает  в
выбивании  средств  для  своего научного  учреждения.  В  итоге ему  удается
увеличить  размеры  и  штат  вверенного  ему  научного  подразделения  ровно
настолько,  чтобы  быть в  курсе дел  и  сообщать  о них (причем  не  всегда
правильно) в соответствующие инстанции. У  него уже нет времени для работы в
лаборатории,  но  что  касается  материально   ощутимых  символов   научного
положения, он преуспевает не  хуже "яйцеголовых", предающихся размышлениям в
своих "башнях из слоновой кости". И он удовлетворен. Правда, в редкие минуты
размышлений, когда он устал или слегка выпил, он спрашивает себя: а не лучше
ли было... да нет, нет, все, что нужно,- это немного отдыха.
     Как вы  могли понять,  мне не очень импонирует  этот тип. Но не следует
его  недооценивать:  под  началом  такого  или  подобного  ему  человека  вы
работаете в течение всей своей жизни.

     2. Хлопотун.  Он испытывает  настолько  сильное  нетерпение сделать все
побыстрее,  что  у  него не остается времени подумать,  а что же именно надо
делать. Умея использовать случай и  будучи  трудягой, он исследует вопрос не
потому, что тот его особенно  интересует, а потому,  что волею обстоятельств
он  располагает всем необходимым для получения быстрого  ответа. В молодости
он торопится  достичь очередной ступеньки карьеры, потому что до вершины еще
так  далеко; достигнув же вершины, он торопится, потому что осталось слишком
мало времени. На  самом же деле он любит быстроту ради нее самой,  наподобие
спортсмена.
     Эти вечно спешащие молодые люди не  любят Природу,  а лишь насилуют ее.
Они, как и мы, способны овладеть ее телом, но не душой.

     3. Рыбья кровь. Он демонстративно невозмутимый скептик. С отсутствующим
видом он бормочет что-то  вроде: "Ничего, не  стоит расстраиваться", "Скорее
всего  это не  будет работать", "Вы не доказали свою точку  зрения, если  ее
вообще возможно доказать", "Вы не первый это обнаружили...". В  общественной
жизни он  руководствуется  правилом: "Не  проси об  одолжениях  и  не  делай
одолжений".  Конец же его пути сопровождается эпитафией: "Ни  достижений, ни
попыток, ни ошибок".

     4. Высушенная лабораторная дама.  Это резкий, недружелюбный, властный и
лишенный  воображения  женский  двойник  "рыбьей  крови".  Как правило,  она
технический  сотрудник, иногда даже имеет  первую  ученую степень, но  порой
получает  и  вторую. В любом  случае она доминирует в своей подгруппе, очень
плохо  понимает  человеческие  слабости  своих  коллег  и  почти   неизбежно
влюбляется  в  своего непосредственного  шефа. Может  быть  незаменимой  при
выполнении  скрупулезной и нужной работы, не  обращаясь за помощью к другим,
но,  как правило, создает атмосферу  напряжения  и неудовлетворенности среди
окружающих. Из некоторых типов женщин могут получиться превосходные  ученые,
но из этого - никогда.

     5.  Самолюбователь.  Воплощение чистого  эгоцентризма, он  пребывает  в
постоянном  восторге от  своих талантов  и  готов  на любую  жертву  для  их
реализации.  Проводя  ту  или иную операцию, он  повествует всем и каждому о
немыслимых  сложностях,  с  которыми  ему  пришлось  столкнуться и  которые,
разумеется, он успешно преодолел. Каждый раз, когда он делает  новое (или не
такое уж новое), важное (или не такое уж важное)  наблюдение, он перечисляет
все  далеко  идущие  последствия,  которые  его  открытие  может  иметь  для
прогресса науки. Иногда он берет на себя нелегкий труд разъяснить величайшую
сложность  и оригинальность хода своих мыслей, а  также почти  непреодолимые
технические трудности,  с  которыми надо  было справиться, чтобы  наблюдение
стало возможным. Любопытно, что в другом случае  он получает  наслаждение от
того, что делает то  же самое с величайшей легкостью  или даже случайно. Для
"самолюбователя"   покорение  препятствий  и  "зигзаг  удачи"   -  одинаково
красноречивые  свидетельства  его  величия.  Поскольку  его  нельзя  назвать
неинтеллигентным,  он иногда  ощущает опасность вызвать  насмешку  (если  не
враждебность) своим неприкрытым  тщеславием, но он этим не очень обеспокоен.
С невинной улыбкой он  предлагает считать свою очевидную нескромность просто
игрой, милым преувеличением ради забавы, но, разумеется, факты есть факты, и
нам позволительно читать между строк его скромные признания.
     Уверенный  в  себе "самолюбователь" обычно  не  идет  дальше этого,  но
существует  два  беспокойных  варианта  этого  типа, постоянно  обозревающих
горизонт в поисках возможной опасности своему престижу и чести.

     а)  Мимозоподобный  тип реагирует  на большинство  раздражителей,  всем
своим видом показывая полное безразличие. Он часто чувствует себя обиженным,
обойденным и жалуется: "Мне никто никогда ничего не говорит..."

     б)  Сварливый тореадороподобный тип создает сложные ситуации намеренно,
чтобы  иметь возможность продемонстрировать, с какой мужественной отвагой он
их парирует.  "Никто не имеет права говорить мне, что делать"  - всякий  раз
заявляет  он,  заваривая  жуткую склоку при  малейшем подозрении, что кто-то
покушается на его авторитет.

     6. Агрессивный спорщик. В школе он был умненьким всезнайкой и в научной
лаборатории  остается  непреодолимо  самоуверенным.  В  научных  спорах  его
интересует лишь  собственная  правота,  и для отстаивания  своей  позиции он
нередко прибегает к сомнительным аргументам, а порой  и к прямому блефу. Это
опасная  разновидность "самолюбователя":  "одной  левой" он может  разрушить
гармонию даже самого сплоченного коллектива.

     7.  Первостатейная акула.  Главная его забота- вставить свою фамилию  в
возможно  большее  число публикации. В лаборатории он  постоянно  раздражает
своих  коллег  претензиями  на  то,  что  все  их  работы стимулированы  его
собственными ранее высказанными соображениями. При  этом он может быть очень
настойчивым, если чувствует, что  прав, или  же крайне осторожным,  маскируя
свои суждения  ссылкой на  их самоочевидность, если знает,  что  блефует. Он
может  с энтузиазмом восклицать, например: "Я  буквально  вчера говорил, что
эта  работа как раз для тебя!"  или  же: "Это прекрасное подтверждение моего
тезиса о том, что..."
     При вскрытии  подопытного  животного своим  коллегой  он  первым спешит
отметить  анатомические  изменения, которые и без того были  бы замечены. Он
пишет длинные казуистические введения к своим статьям, с тем чтобы доказать,
что,  хотя  описываемые  события  уже  наблюдались,  он  первым описывает  и
интерпретирует их  в  нужном ключе и этот  его вклад имеет  подлинно научное
значение.

     8. Святой. Воистину целомудренный в мыслях, словах и делах, он - Рыцарь
Добра и Справедливости. Еще в школе  он  поклялся делать не  одно,  а десять
добрых  дел  в  день. Позднее он  пошел в медицину только  из-за ее гуманных
целей.  Поначалу  "святой" изучал  тропическую медицину, поскольку собирался
работать  в  лепрозории, но по прочтении романа Синклера Льюиса  "Эрроусмит"
пришел к  заключению,  что  в стенах  лаборатории  он добьется  большего для
страждущего человечества.  Он не играет  роль  "святого":  он  на самом деле
таков.  И хотя  самоуничижительный альтруизм служит  ему страшной  помехой в
работе,  у  меня   не  поднимается  рука  нарисовать  карикатуру  на  такого
действительно   симпатичного  и   вызывающего  уважение  человека.  Качества
"святого" сослужили бы ему лучшую службу в лепрозории, нежели в лаборатории.
Не следовало бы ему выбивать себе жизнь исследователя, но осквернять святыни
неприлично, даже если они и не приносят особой пользы. Но встречаются они не
чаще,  чем один на миллион,  так  что  оставим их  образ незапятнанным,  как
символ чистоты, недосягаемый для нашей низменной критики...

     9.  Святоша. Он  имитирует подлинно  "святого".  С нарочито  скромными,
ханжескими повадками он разыгрывает безупречного рыцаря медицины. Его улыбка
излучает  доброту и праведность, терпимость и  сочувствие к  своим коллегам,
которые  просто недостаточно хорошо  понимают, что такое хорошо и что  такое
плохо.  Этот тип  почти так же  редко  встречается  в  лабораториях,  как  и
настоящий "святой".

     10.  Добрячок.  В   начальной  школе  он  был  любимчиком   учителя,  в
медицинском  институте  часто  спрашивал  профессора:  "Что  бы  еще   такое
подготовить к экзамену?"  После женитьбы  стал  добропорядочным "кормильцем"
семейства, но его работа ученого серьезно страдает от его искреннего желания
уделять своей жене все  то внимание, которого  она заслуживает.  Он  живет в
основном ради  нее и детей и горит желанием сделать для них  что угодно  или
чем угодно пожертвовать для их  счастья. Несмотря на поверхностное сходство,
он совсем не похож на "святого", приносящего семью  в жертву своим моральным
идеалам.  "Добрячок"  может   быть  вполне  интеллигентен,  но  его  пресная
невинность,  полное   отсутствие   воображения  и   инициативы  делают   его
непригодным  для  творческого  научного  исследования.  Он склонен  извинять
собственную  непродуктивность  своим  добровольным  самоограничением.  Готов
пожертвовать своей  карьерой ради  карьеры детей, которые должны иметь  все,
чего был лишен он. "Добрячок" не понимает, что в череде поколений именно его
труд должен приносить плоды. Желания его  достойны уважения, но он забывает,
что мог бы успешнее их осуществить, выбрав иной путь в жизни.

     Основными недостатками десяти упомянутых личностных типов являются либо
излишнее  самоуничижение,  либо  эгоцентризм  и   самовыпячивание,   которые
нивелируют  все  остальные  мотивы   научной  деятельности.  Эти  личностные
характеристики  (независимо   от  того,  хороши  они  или  дурны)  оказывают
стерилизующее воздействие на  творчество, поскольку  фокусируют  внимание на
исследователе, а  не на исследовании. И "святой",  и  "самолюбователь" (если
брать  две  крайности)  больше  озабочены  оценкой  своего  поведения,   чем
прогрессом  знания.  Мы можем восхищаться  ими или  презирать их, но в любом
случае им не место в научной лаборатории.




     1.   Фауст--идеальный   учитель   и   руководитель.   Чистого   ученого
философского  склада  отличает  религиозное  преклонение  перед  Природой  и
глубокое  убеждение в ограниченности  возможностей человека при исследовании
ее тайн. Он  мудр  и сочувствует человеческим слабостям, но его  доброта  не
доходит до потакания  нарушениям дисциплины, недобросовестности в работе или
любой другой форме поведения, несовместимой  с его призванием. Его несколько
романтическое   отношение   к   исследовательской   работе   можно   назвать
эмоциональным,  но   не  сентиментальным.  Его   главными   характеристиками
являются: воодушевление  от возможностей исследования,  а не от  собственных
возможностей;  уважение  к  интересам  других;  удивительная  способность  к
выделению  наиболее  значимых фактов;  острая  наблюдательность;  отсутствие
ослепляющего   предубеждения   к   людям   и   научным   данным;    железная
самодисциплина:   редкая  оригинальность   и  воображение,   соединенные  ее
скрупулезным  вниманием  к деталям как в технике лабораторной работы, так  и
при логическом осмыслении результатов.
     Его не ломает неудача, не развращает успех. Рано определившись в жизни,
он следует твердым курсом, не поддаваясь сомнениям, искушению, страху и даже
успеху. Несмотря на  беспредельную  сложность работы он  остается простым  и
достойным человеком, которого никакая лесть не способна превратить в "важную
персону".

     2. Фамулус  - идеальный ученик и  сотрудник. Я оставил его  напоследок,
поскольку он, как  и его шеф, представляет собой совершенное сочетание  всех
других типов, а кроме того, он олицетворяет собой будущее. Фамулус соединяет
в  себе  некоторое  количество чистого идеализма  "святого" с  такими дозами
каждого из  "грешных"  желаний,  которые  способны сообщить ему жизнелюбие и
здоровый  аппетит,  необходимый для  жадного и  эффективного  изучения  мира
внутри  и вокруг  нас.  Идеальный  молодой научный  сотрудник  отличается от
своего учителя и руководителя только тем, что мы встречаемся с ним на ранней
стадии  его научной карьеры, когда он еще недостаточно зрел и опытен. Его ум
не так развит, как у  его духовного наставника, и совсем  не обязательно  он
превосходит последнего своим юношеским задором. Смелость и упорство в работе
обычно  ассоциируются с  энергией  и силой юности. И все же молодой  Фамулус
может быть более озабочен своим благополучием, чем старый Фауст, а его менее
тренированный ум может быть не  так устойчив к напряжению,  требующемуся для
длительных   абстрактных  размышлений.   Но  его  тело   значительно   лучше
выдерживает трудности лабораторных работ, его взгляд острее,  движения более
уверенны;  он  может  часами  стоять  у  лабораторного стола,  не  испытывая
усталости, и,  что  важнее всего,  у него впереди достаточно много  времени,
чтобы сделать свои мечты реальностью. Вот  почему Фамулус в действительности
самый важный среди наших персонажей. Мне нет необходимости  представлять его
Вам,  молодой человек, ибо Вы  хорошо  с ним знакомы. Вы так же хотите стать
им, как я хочу стать Фаустом,  хотя никому из нас  не дано преуспеть в этом.
Идеалы  создаются не  для того,  чтобы  их  достигать,  а  для  того,  чтобы
указывать путь.




     Ни  один  из  названных  прототипов  не существует в  чистом  виде;  их
характеристики  порой перекрывают друг друга,  и вдобавок отдельные индивиды
могут   обладать   дополнительными   характеристиками,  что   послужило   бы
оправданием  для бесконечного расширения этого  перечня типов.  Здесь  же  я
старался обрисовать  лишь те типы людей,  которые либо  встречались наиболее
часто,  либо  произвели  на меня  наиболее  сильное впечатление (все  равно,
хорошее или плохое).
     Если теперь снова взглянуть на наш список, то  мы увидим, что названные
типы ученых - преимущественно  "делателей", "думателей" и "чувствователей" -
настолько заняты собой, что их интерес к Природе отходит на второй план.
     Идеальный  ученый не лишен (или, наверное,  не должен быть лишен) черт,
которые  приходятся   не  по   вкусу  среднему   гражданину.  Если  общество
ориентируется  на  мнение  большинства,   то  настоящие  ученые   составляют
ничтожное  меньшинство.  Люди не  созданы равными  друг  другу  и  не должны
пытаться  походить  друг  на   друга.   Жена   спортсмена   восхищается  его
великолепной  мускулатурой,  но вовсе не стремится  иметь  такую же; страсть
ученого к объективности не является достоинством для необъективного по своей
сути художника.
     В течение всей моей  научной жизни я не  встречал ни одного выдающегося
ученого, полностью свободного  от эгоизма или тщеславия. Всецело поглощенные
достижением своих целей, лишь некоторые из них проводили  столько времени  в
кругу своей семьи или уделяли решению общественных проблем столько внимания,
сколько следовало среднему добропорядочному гражданину. С моей точки зрения,
наилучшим человеческим качеством является доброе отношение  к ближнему,  и в
особенности  сочувствие  ко  всем,  кто  страдает  от  болезней,  нищеты или
угнетения.  И все  же каждый  из нас  нуждается  в различных  дополнительных
мотивах и навыках,  чтобы  внести как можно  больший  вклад в  дело служения
интересам человечества. Я не претендую на то,  чтобы быть "судьей над добром
и злом", а хочу лишь определить основные качества, характерные для известных
мне ученых. Такой анализ мог бы помочь каждому из нас принять или отвергнуть
то,  что подходит  или соответственно не  подходит его  личности. Все, что я
могу  сделать,-  это  выделить  и   описать  качества,  которые  я  научился
различать, но  выбирать или отвергать их читатель этих  заметок  должен сам,
ориентируясь на свои потребности и возможности.
     Теперь,  когда мы ввели  в  повествование  "действующих  лиц"  (в  виде
основных  типов   ученых),  можно  приступить  к  анализу   способностей   и
побуждений, сделавших их такими, каковы они есть.




     Одно и то же  слово - особенно обозначающее абстрактное понятие - имеет
для    разных    людей    различный    смысл.   Термины    "оригинальность",
"самостоятельность    мышления",   "воображение"    и   "интуиция"   нередко
взаимозаменяемы,  но для  наших  целей нам  придется различать  их смысловые
оттенки. Формальных определений здесь недостаточно, так как их интерпретация
опять-таки зависит от смысла, вкладываемого в эти слова; кроме того, словари
дают  столько  альтернативных  определений абстрактных  понятий,  что  порой
крайне   трудно   выбрать   подходящее  значение.  В  дальнейшем  мы   будем
использовать довольно много абстрактных терминов, и в качестве введения было
бы небесполезным перечислить их, сопровождая  небольшими пояснениями. В ходе
более подробного обсуждения точное значение, приписываемое каждому  термину,
станет более очевидным.
     С  моей точки .зрения, бесчисленные умственные  и  физические качества,
присущие ученому как таковому, могут быть приблизительно классифицированы по
шести важнейшим категориям:

     1) энтузиазм и настойчивость;
     2)  оригинальность:   независимость  мышления,  воображение,  интуиция,
одаренность;
     3)  интеллект:  логика,  память,  опыт,   способность  к   концентрации
внимания, абстрагированию;
     4) этика: честность перед самим собой;
     5) контакт с природой: наблюдательность, технические навыки;
     6)  контакт  с   людьми:  понимание  себя  и  других,  совместимость  с
окружающими  людьми,  способность  организовать  группы,  убеждать  других и
прислушиваться к их аргументам (см. гл. 6).

     На вопрос "какое из качеств наиболее важно?" ответить совсем не просто.
В рамках,  обусловленных научной средой и предметом  изучения, успех может в
той или в  иной  степени зависеть от  технических навыков ученого, его  дара
наблюдения или способности взаимодействовать с коллегами. Но вне зависимости
от области интересов или социальных условий работы ученого ему необходимы  и
другие качества. Любая попытка расположить эти последние по степени важности
была бы произвольной, но  лично  для  меня  не  подлежит сомнению, что самым
редким  даром  является оригинальность  личности  ученого и его  мышления. В
приведенном списке на первом месте  стоит энтузиазм, поскольку без мотивации
к исследовательской работе остальные качества лишаются  смысла. Впрочем,  на
практике недостаток  энтузиазма редко  составляет  проблему:  леность весьма
необычна среди ученых.  Что же касается оригинальности, то здесь справедливо
обратное.  Независимость  мышления,  инициатива,  воображение,   интуиция  и
одаренность  -  главные  проявления   оригинальности  в  науке  -  являются,
несомненно,  самыми  редкими  качествами,  характерными  для научной  элиты.
Просто удивительно, до какой степени одно это  качество может компенсировать
недостаток всех остальных.




     Энтузиазм  означает   интерес,  рвение,  пыл,   страсть,   возбуждение,
направленные на реализацию замысла. Он создает мощную мотивацию к достижению
определенных  целей  и  настойчивость  в  преодолении  препятствии.  Важными
ингредиентами научного склада ума являются стремление к достижению прогресса
в научной работе и  постоянная неудовлетворенность имеющимся состоянием дел.
Ни  одному  невозмутимому  и  самодовольному  человеку  не  удалось  достичь
реального прогресса в науке. Но мотивацию энтузиазма мы уже обсуждали ранее;
здесь мы будем говорить только о настойчивости.
     Настойчивость - это  способность к длительному и упорному преследованию
поставленной  цели.  Она  зависит  от  умения  сосредоточиться  на   решении
поставленной  задачи, сохранять  спокойствие  в случае неудачи, однообразной
работы и даже успеха; она черпает свои силы в здоровом оптимизме, мужестве и
вере.




     Хромой, идущий по верному пути, обгонит сбившегося с дороги скорохода.
     Ф. Бэкон

     ...Наука требует все больших  жертв. Она не  желает ни с  кем делиться.
Она  требует, чтобы отдельные люди посвящали ей все свое существование, весь
свой  интеллект, весь свой труд.  ...Знать, когда следует проявить упорство,
когда остановиться,- это дар, присущий таланту и даже гению.
     Ш. Рише

     Как я уже говорил, обычная  леность не свойственна ученым,  хотя многие
из  них  работают "запоями" и прерывают  свою работу, когда  нет творческого
настроя. Порой им требуется значительная сила воли, чтобы преодолеть чувство
опустошенности  после  завершения  трудной работы или  ощущение  фрустрации,
возникающее при длительной  и безуспешной работе. Но, пожалуй, хуже  всего -
это парализующее чувство вины, если  мы должны, но не хотим, не можем делать
какую-то работу.
     Ученый,  увлекающийся   накоплением  библиографических   ссылок,  может
лениться   повторить    вызывающий   сомнение   эксперимент,   и   наоборот.
Исследователь,  месяцами  усердно  работающий  в  лаборатории,  может  затем
находить  самые  наивные  и  нелепые  причины, чтобы  объяснить  задержку  в
сопоставлении и  описании достигнутых  результатов. В целом ученые крайне не
расположены  делать  что-либо, что  им  особенно  не  нравится.  Они  готовы
выполнять даже самую утомительную и скучную работу, но  только в том случае,
если  полностью  уверены  в неизбежности ее  для решения той или иной важной
проблемы. Нередко они испытывают  сознательные или  подсознательные сомнения
относительно того,  стоит ли продолжать лабораторные  исследования  или  уже
настало время  описывать свои  результаты.  В итоге такая нерешительность не
дает  им делать  ни  того, ни другого. Этот тип лености  нередко встречается
среди  ученых,  и  для его преодоления  нужны самоанализ  и  самодисциплина.
Притом  еще  недостаточно сделать  открытие  или  даже  кратко описать  его.
Невзирая на  все  трудности,  оно должно  быть проработано до такой степени,
чтобы  и  другие   смогли  воспринять  идею  и  продолжить  работу   в  этом
направлении.  В   1840  г.  Штейнхойзер,  например,   обнаружил  что  масло,
полученное из печени трески, излечивает рахит, но этот колоссальной важности
факт остался не более чем его личным мнением и поэтому не получал применения
в течение последующих восьмидесяти лет [cм. об этом: 32].
     Настойчивости угрожает и многое другое.  Нередко  работа ученого  может
прерываться по  настоянию жены, других членов  семьи,  друзей;  при  этом он
испытывает  куда  меньшие  угрызения   совести,  отказываясь  от  участия  в
заседаниях,  лекционной   работе   и  различных  официальных   мероприятиях.
Исследователи, работающие в промышленности, а также инженеры, врачи, юристы,
учителя  или  бизнесмены  могут  быть  весьма  компетентны  в  рамках  своих
профессий,  и  слишком  большой  настойчивости им  для этого  не  требуется;
большинство  же  ученых,  достигших  в  науке  реальных  высот,  имеют  мало
"внешних" или вненаучных интересов (с. 173).
     Даже если достигнут  некоторый  баланс между научной и  другими  видами
деятельности,  остается нерешенной проблема чрезвычайной важности: как долго
следует   упорствовать  в  разработке  исследовательского  проекта,  который
попросту  "отказывается"  давать  результаты?  Граница  между  терпением   и
упрямством  весьма  расплывчата.   Только   подлинно  великие  исследователи
поддаются искушению  работать над несколькими совершенно не связанными между
собой проблемами. Как правило, первое значительное открытие дает направление
для  всей последующей жизни его автора. Реализуя это непреклонное стремление
оставаться верным  одной избранной проблеме, куда бы  это ни привело, ученый
может  проявить  высокую  степень, приспособляемости; он  способен изучить и
даже  изобрести  новые  методы,  найти  совершенно  непредвиденные   способы
применения своего открытия, лишь бы не менять своих интересов.
     Пастер, начавший с изучения процесса бактериального брожения, занимался
этой  проблемой   всю   жизнь  и,  хотя   он  не   был   врачом,  фактически
революционизировал     медицину,    продемонстрировав     широкое    участие
микроорганизмов  в  биологических процессах.  Он начал с  изучения  процесса
брожения винограда и обнаружил,  что то, что он считал "заболеванием вин", в
действительности вызвано энзиматическим  действием микроорганизмов. Затем он
продолжил   поиски   микробов   в  качестве  возможной  причины  заболевания
шелковичных   червей   и  в   конечном  счете  заложил  основы   клинической
бактериологии.
     Аналогичным образом  Клод Бернар,  один из величайших  физиологов  всех
времен,  в  1843  г.,  еще  очень  молодым человеком,  начал  с  определения
содержания  сахара в крови и моче, и в  его последней статье, опубликованной
после  его смерти в 1878  г.,  все  еще разрабатывалась  та же  тема.  Такая
целеустремленность обусловлена  отнюдь  не недостатком  идей.  Напротив, она
отражает  торжество  одаренного богатым  воображением ума,  удерживающегося,
несмотря  на все препятствия и соблазны,  на  единственно  плодотворном пути
благодаря железной воле. Настойчивость  такого рода характерна  для гения. В
результате   даже  кратковременных   и  внешне   незначительных   наблюдений
высокоодаренный ум способен  разглядеть  зародыши  огромной  области  знаний
требующей концентрированного внимания  для того,  чтобы сделать ее в будущем
достаточно очевидной  для  массовой  эксплуатации.  Как говорил  У. Липпман,
"гениальность  настоящего  лидера состоит в том,  чтобы оставить после  себя
ситуацию, доступную здравому смыслу и не отягощенную налетом гениальности".




     К вершинам величия ведет трудная дорога.
     Сенека

     ...Но  как  раз  в  этом  дрянном  старом  сарае  протекли   лучшие   и
счастливейшие  годы  нашей  жизни,  всецело  посвященные  работе.  Нередко я
готовила  какую-нибудь  пищу  тут же,  чтобы не  прерывать  ход особо важной
операции. Иногда весь день  я  перемешивала  кипящую массу  железным  прутом
длиной почти в мой рост. Вечером я валилась с ног от усталости.
     Мария Склодовская-Кюри

     В  общем  и  целом  оригинальные  мыслители  особенно  чувствительны  к
однообразию.  Одаренный  воображением  ум  стремится  лететь  от открытия  к
открытию  и  возмущаете,  когда  его  постоянно  "приземляет"  необходимость
проверять свой маршрут посредством  скрупулезных  измерений.  Считается, что
одной из характернейших  черт  исключительной  одаренности  является  редкое
сочетание   яркого  воображения  с   щепетильным  вниманием  к  деталям  при
объективной проверке идей.
     Трудно, особенно в молодости,  устоять  перед  искушением почувствовать
себя усталым от  пожирающих массу времени сложных проблем и не переключиться
на многообещающую новую тематику, если ты наткнулся на легкодоступные, но не
обладающие  большой значимостью факты. Чтобы не  сбиться  с  пути, требуется
много  веры  и  мужества,  ибо  чем  дальше  мы  удаляемся  от  привычного в
неведомое, тем менее  достижимой выглядит наша цель и тем меньше понимания и
поддержки можем мы ожидать от других.
     В  моей  собственной  ограниченной  области  исследования мне  пришлось
учиться  этому  на  горьком опыте. После того  как мои первые  наблюдения  -
появление стереотипного  синдрома  под  воздействием  различных  факторов  -
привели меня  к формулированию концепции стресса, очень немногие встретили с
одобрением мое упорное стремление работать в данном направлении. Я вспоминаю
реакцию одного солидного и очень уважаемого ученого, чье мнение весьма много
для меня значило. Он был  моим истинным другом, всерьез желавшим мне помочь.
Однажды  он  пригласил  меня  в свой кабинет  для "разговора  по душам".  Он
напомнил мне,  что  вот  уже  не один  месяц пытается убедить  меня  бросить
бесполезные исследования  этого так называемого  "стресса". Он заверил меня,
что, по его мнению, я обладаю всеми необходимыми качествами исследователя и,
несомненно, могу внести  вклад даже в общепризнанную область эндокринологии,
которой я  ранее  занимался. Так  зачем  же  мучиться  над этой сумасбродной
идеей?  С  молодым  энтузиазмом моих  двадцати восьми  лет  я  встретил  эти
замечания водопадом доводов в пользу новой  точки зрения. Я вновь обрисовал,
как уже  много  раз  до  этого, огромные  возможности,  таящиеся  в изучении
стресса, который должен  сопутствовать  всем  видам  заболевания,  лечения и
напряжения, разве что кроме самых незначительных.
     Когда он увидел, что я пустился в очередное восторженное описание того,
что я наблюдал  у  животных, приведенных в  состояние .стресса тем или  иным
загрязненным, токсичным материалом, он взглянул на меня безнадежно грустными
глазами и  сказал с очевидным отчаянием:  "Но, Селье,  постарайтесь, пока не
поздно, осознать, чем  вы занимаетесь! Вы же решили посвятить всю свою жизнь
изучению фармакологии грязи!"
     Конечно же,  он был  прав.  Никто не смог  бы  выразить  это резче. Вот
почему  мне все еще так больно вспоминать эту фразу  сегодня, через двадцать
семь лет. Фармакология - это наука, изучающая действие определенных лекарств
или  ядов;  я  же  собирался изучать  не  что  иное,  как  их нежелательные,
случайные,  неспецифические,  побочные действия, присущие также  любому виду
грязи.   Но   для   меня   "фармакология   грязи"  представлялась   наиболее
многообещающим предметом изучения в медицине.
     Сейчас, спустя годы, я оцениваю свою любимую тему, возможно,  несколько
более  объективно  и беспристрастно, чем тогда,  но  я  не сожалею  о  своей
привязанности к  ней. Даже  моя теперешняя тема - кальцифилаксия{6} - не что
иное,  как  развитие первоначальной идеи о том,  что неспецифические реакции
соединительных тканей  на  повреждения  в значительной  степени  обусловлены
гуморальными факторами, которые можно  анализировать, идентифицировать и  на
которые в известных пределах можно даже влиять.
     Разумеется,  вполне возможно,  что те  же самые  факты, к  которым меня
привела  концепция стресса,  могли  бы быть  обнаружены кем-нибудь другим  в
рамках  совершенно  иной  теории.  В  великой  картине  Природы  все   части
взаимосвязаны и в один  и тот  же пункт можно прийти  самыми разными путями.
Если вы смотрите на  человека сквозь  красные очки, вы в состоянии увидеть и
узнать его, хотя видите его красным; кто-то другой, смотрящий на него сквозь
зеленые очки, видит его точно  так же  хотя и в другом цвете. Но какой смысл
менять все  время  очки?  Мы  преуспеем  гораздо  больше,  если  наши  глаз;
привыкнут к тем очкам, которые мы уже носим. Целая жизнь требуется для того,
чтобы научиться смотреть  сквозь широкоугольные линзы обширной теоретической
концепции. Вот  почему  ни временные  неудачи,  ни  однообразие скрупулезных
проверок  не должны  сломить нашего упорства,  если  конечная  цель, на  наш
взгляд,  стоит  того. Здесь уместно  сказать несколько слов об  очень важной
проблеме  -  проблеме  преодоления чувства угнетенности  и  неполноценности,
нередко возникающего в самом  начале  научной карьеры, которое  имеет  своим
последствием отсев студентов из вузов.
     Некоторые студенты просто отказываются мириться с тем, что вызывает  их
презрение.   Из  вузов  часто   уходят  весьма  талантливые  и  оригинальные
мыслители, не желающие  или  не  умеющие приспособиться к устоявшейся рутине
учебного  заведения.  Даже  в лучших  вузах толковый  студент  не  может  не
заметить, что некоторые курсы разработаны из рук вон плохо, ряд лабораторных
работ просто не нужны, а экзаменационные вопросы глупы.
     В  студенческие годы  в  моей  альма-матер  студенты говаривали  не без
некоторого злорадства, что в целом преподаватели могут быть разделены на три
категории в зависимости от вопросов, которые они задают на экзаменах:
     1) "самолюбователи"; задающие вопросы, чтобы показать, какие они умные;
     2) "злыдни": стремящиеся показать, какие студенты тупые;
     3) "добряки": стремящиеся показать, какие студенты умные.
     И  только  очень  немногие  преподаватели  экзаменуют  просто  с  целью
выяснить знания студентов. Быть может, такая картина слегка преувеличена, но
в  любом  случае  студент,  если  он   достаточно  сильная  личность,  может
приспособиться к своим  преподавателям в той мере, в какой это необходимо, и
не  тратить  время на роптания  по  поводу  неизбежного.  Другая  трудность,
которая ведет к отсеву студентов,- это страх перед необходимостью показывать
свои знания  каждый  раз,  когда это требуется.  Говоря  конкретнее, студент
отказывается мириться  с  унизительными  условиями  конкуренции,  когда  его
способности  постоянно сравниваются со способностями его сокурсников. Вполне
возможно, что он не признает профессионального спорта, хотя любит заниматься
спортом для  себя и преуспевает  в  этом. Порой этот факт пытаются объяснить
леностью студента, но  типичный "кандидат на отсев" не ленив, он  просто  не
гибок, чужд чувства  коллективизма или  избегает  принимать на  себя  полную
Ответственность за сложную работу.
     В  науке человек  такого  типа  будет  удовлетворяться  тем, что просто
"околачивается" в лаборатории: он никогда не способен полностью освоить свою
область  за счет плановой систематической работы, особенно если  это требует
руководства  группой или  по крайней мере участия  в работе группы. Он может
писать  превосходные  небольшие  статьи,  но  никогда  - обширный  обзор или
монографию. В  области литературы  он может стать первоклассным критиком, но
оригинальный роман или даже короткий  рассказ,  который он вечно  собирается
написать,  так никогда и не материализуется. Он может даже  уговорить самого
себя,  что  в  высшем образовании нет смысла, так  как вообще  все это можно
изучить самостоятельно.  Правда  же заключается  в том,  что  он  просто  не
обладает   достаточной   самодисциплиной   для   преодоления   той   ужасной
заторможенности, которую  испытывает  каждый пишущий человек, когда приходит
время прекратить просто говорить и мечтать о своей работе, а надо садиться и
писать вполне определенный текст, огрехи которого  уныло уставятся на своего
творца, заставляя любого, не обладающего  железной  волей, пятиться назад, к
комфорту досужей посредственности.
     Существуют также студенты,  предпочитающие думать, что  они бросают вуз
из-за недостатка способностей. Мои  опыт  всецело ограничен аспирантами,  но
тех из них, кому, увы,  недостает таланта, не удается убедить в этом; и в то
же  время  я  потерял  многих  действительно  одаренных  учеников  из-за  их
непреодолимого чувства неполноценности.




     Из всех великих ученых, которых я знал, одна только мадам Кюри осталась
совершенно неиспорченной успехом.
     А. Эйнштейн

     Гораздо  больше  людей  могут  противостоять  неудаче,  нежели  успеху.
Бедствия могут даже облагородить человека, мобилизовав  все лучшее  в нем, в
то время как  слава низводит всех, кроме самых великих, до такого состояния,
когда человек  превращается  в символ самодовольного авторитета или в лучшем
случае становится добрым покровителем тех, кто славы лишен.
     Как  работа  ведет  талант  к славе, так  слава уводит  его от  работы,
используя  для  этого множество способов. Во-первых, чувство опустошенности,
когда наконец окончена трудная работа, или, по выражению Ницше,  "меланхолия
завершения".  Когда  разум исследователя,  его ассистенты и  инструментарий,
объединенные воедино, приспосабливаются  к определенному  типу  работы, она,
независимо  от степени оригинальности,  становится  рутинной. По  достижении
цели привычный ежедневный порядок внезапно  ломается. В  период последующего
мрачного   затишья   увлекавшая  ранее  цель  работы   отсутствует.   Ученый
оказывается  перед  лицом  угнетающей  задачи  -   проанализировать  цельный
высокосовершенный  механизм специализированных средств  и приемов  мышления,
очистить как ум,  так и лабораторию  для  дальнейших исследований.  Но каких
проблем? Ученый был настолько увлечен решением предыдущей задачи, что его ум
еще плохо подготовлен для восприятия чего-либо нового. Раз уж работа привела
его к выдающемуся достижению,  то  в  сравнении с этим ничто не  кажется ему
заслуживающим внимания.
     Многие ученые - я бы сказал большинство - фактически увязают в побочных
результатах  своего собственного успеха. Под  их началом  создаются  большие
институты, которыми надо управлять.  Они  получают огромную корреспонденцию,
приглашения на чтение лекций, участие в церемонии открытия новых лабораторий
или больниц, на издание монографий и составление обзоров. К ним приходят все
больше и больше посетителей, бесконечное количество бывших студентов  просят
дать рекомендации при переходе с одной работы  на другую и т. д.  Времени на
научную работу остается все меньше, и. хотя некоторые из этих предложений им
даже  приятны,  в  результате  у них не остается  ничего,  кроме такого рода
деятельности, не имеющей никакого отношения к научной.
     Успех вреден также  и  порождаемой им лестью. Слава делает  действующую
личность  действующим  лицом.  Хочет  он  или  не хочет,  но ученый должен с
достоинством относиться порой к  чрезмерным восхвалениям со стороны  прессы,
телевидения,   научной   общественности,    иначе   его   скромность   будет
восприниматься с  обидой.  Затем знаменитость превращается  в  оракула. Даже
если его профессиональные интересы ограничены  областью биохимии, его мнение
требуется по самым  различным политическим,  философским  и даже религиозным
вопросам. Если же он считает се.бя недостаточно компетентным, его обвиняют в
чванстве и безразличии. И наконец, Великий Человек должен  "одалживать  свое
имя"   по   каждому  случаю:  сюда  относится  написание  статей,  публичные
выступления или как минимум многочасовые сидения в президиуме с единственной
заботой - иметь внушительный вид.
     Так  слава  безжалостно губит  живую  личность,  превращая  человека  в
памятник  его  собственным  достижениям.  Это  не  то признание,  в  котором
нуждается  ученый, но  противодействие  последствиям этого  признания  может
потребовать столько же  усилий,  сколько отняла та самая работа,  которая  и
привела его к славе.




     Древний мореплаватель так обращался  к Нептуну, попав в жестокую  бурю:
"О боже! Ты можешь спасти меня, коли пожелаешь, а можешь погубить. Но какова
бы ни была твоя воля, рулем своим я буду править по моему разумению".
     М. де Монтень

     Наша  молодежь  должна  понять,  что в Век Фундаментальных Исследований
человек  будет вести свои величайшие войны не  силой  юных  мускулов,  будет
выигрывать свои битвы не отвагой штыковой  атаки и готовностью  погибнуть во
имя  дела.  Теперь  в  мирное  время,  как  и  на  войне,  великие  сражения
человечества будут выигрывать герои другого склада: люди, обладающие сильным
интеллектом и редкой разновидностью мужества -  трезвой решимостью посвятить
свою жизнь  тому, что они  считают  достойной целью существования. Наши дети
должны осознать, что гораздо труднее жить ради дела, чем умереть за него.
     Мало кто считает мужество важным  качеством научной деятельности. Оно и
не является  таковым в привычном смысле этого слова. Случается, конечно, что
бактериолог   заражается   смертоносным    микробом,    что    исследователи
рентгеновских  лучей (в  том числе  У. Кеннон) на первых порах  подвергались
опасности,  так  как  необходимые защитные  меры  еще не были известны,  что
токсиколог  может пасть  жертвой одного  из изучаемых им  смертельных  ядов.
Однако люди  склонны излишне драматизировать подобные несчастные случаи, ибо
в науке они происходят не чаще, чем в других областях деятельности. Несмотря
на все эти опасности, для того чтобы стать исследователем, великой отваги не
требуется.
     Иногда врач ставит  на  себе те  или  иные  эксперименты. но  они редко
бывают опасными. Готовность подвергать себя риску  производит на публику еще
большее впечатление,  чем несчастные случаи. И все же, на мой взгляд, делать
вклад  в  науку,  выступая  в  качестве  морской  свинки,  просто  глупо, за
исключением очень редких случаев, когда никакая другая форма эксперимента не
может  привести  к  решению  действительно важной проблемы.  Каждый  человек
должен  реализовывать  свои  лучшие способности,  так  что  давайте  оставим
доблесть и физическую отвагу  представителям  вооруженных сил. Ученому нужна
менее эффектная,  но более устойчивая  разновидность мужества, с  тем  чтобы
выбрать деятельность, которая  наверняка лишит  его многих радостей,  в  том
числе  в  семейной жизни  и в достижении благосостояния. Молодым  начинающим
врачом он должен стремиться к низкооплачиваемой работе в лаборатории, а не к
более  привлекательной  работе  в медицинских  учреждениях.  По  мере  роста
профессионального  уровня  ему нужна  немалая смелость, чтобы  отказаться от
предложения  занять   высокооплачиваемую  и   влиятельную   административную
должность.  Еще  большее мужество потребуется  для  продолжения оригинальной
научно-исследовательской работы, не получающей ни моральной, ни материальной
поддержки.
     Молодой  человек,  желающий  пойти  в  науку,  должен  быть способен  к
переоценке  ценностей  и  к  отказу  от   общепринятых  символов  успеха,  в
особенности от культа "красивой жизни". Для этого нужны незаурядное мужество
и вера - прежде всего в свои собственные еще не испытанные возможности.



     Упоминание  здоровья  и энергии  в числе  полезных  для занятия  наукой
качеств может  показаться  излишним. Эти  качества так  или  иначе важны для
любой деятельности; сидячий образ жизни ученого, быть может, предполагает их
не     в    меньшей    степени,    чем    занятия    другими    профессиями.
Ученому-"фундаментальщику",  безусловно,  не  нужна  мощная мускулатура,  но
слабое,   подверженное   болезням,   чересчур  изнеженное   тело  неспособно
противостоять тяжелым нагрузкам, с  которыми  сопряжены высшие  достижения в
любой области.  Ученый, который  стоя проводит в лаборатории долгие часы или
напрягает  все свои  умственные силы,  погружаясь в многочасовые абстрактные
размышления,  нуждается в дисциплинированном, мужественном и,  я  бы сказал,
спартанском  образе  жизни.  Он  должен находить  способы  поддерживать свою
физическую форму,  несмотря на  искусственно созданные работой в лаборатории
жизненные  привычки.  Верно,  что  иногда  физический или психический дефект
может  послужить  движущей  силой  для  совершенствования  человеком   своих
творческих  и  интеллектуальных  способностей,  но  наличие  такого  дефекта
требует еще большего внимания к своей физической форме.




     Сила  оригинальной, творческой мысли  состоит  в  способности по-новому
взглянуть  на вещи. Под независимостью мышления я в  первую  очередь  имею в
виду инициативность и способность  сделать  первый шаг. А  эта способность в
свою  очередь   зависит  от   воображения,  умения  сформировать  осознанное
представление о чем-либо новом, ранее не встречавшемся в действительности. А
для  этого  нужны острота  взгляда,  проницательность, способность  выделить
наиболее важные характеристики, еще не заметные для непосвященного.




     Гений  на  самом  деле -  это  лишь  немногим более  чем  способность к
нестандартному восприятию.
     У. Джеймс{7}

     Безнадежная  непригодность  слова  как  средства  передачи   информации
ощущается   особенно   болезненно,   когда  мы   хотим   объяснить   природу
оригинальности. Слова служат  символами вещей, известных нам  из предыдущего
опыта; сама же суть оригинальности в том и состоит, что она не  похожа ни на
что  другое, ранее  встречавшееся. Ограничиваясь одной фразой,  я бы сказал,
что  наиболее обычное  свойство  всех  проявлений оригинальности  -  это  их
необычность.  Но это, конечно, не все. Разум  сумасшедшего необычен,  но  он
доводит  независимость мышления до такой степени, когда утрачивается контакт
с действительностью. Он  не похож  ни на один другой разум, воспринимая вещи
нестандартным образом. Слишком углубившись  в область воображаемого, он не в
состоянии вернуться оттуда с плодами своего нового видения мира.
     У гения могут возникать почти  столь же  фантастические видения. Тем не
менее он способен включить  сознание, чтобы скрупулезно и объективно сверить
свои фантазии с  действительностью. Именно эта способность сохранять контакт
самого фантастического полета  мысли с окружающим миром и различать значимые
для  человечества ценности  характерна для  оригинальности  и  независимости
творческого мышления. Гений  способен не только уноситься в неизведанное, но
и возвращаться назад на землю.
     Начинающий   художник  Латинского  квартала  в  Париже,  который  носит
забавный  берет,  ярко-красный  шарф и отращивает  "вандейковскую"  бородку,
необычен, но  он совсем не обязательно  Ван  Дейк.  Он  путает бросающуюся в
глаза  необычность   внешнего   облика   старых  мастеров  с   той  глубокой
оригинальностью, которая и сделала их  великими.  Он похож  на  Фамулуса  из
гетевского "Фауста", который пытался походить на своего выдающегося учителя,
прочищая глотку и сплевывая так же, как он.
     Научная изобретательность, независимость от традиционного образа мыслей
на самом начальном этапе исследования  -  это  особого  рода оппортунизм{8}.
Обычный оппортунист, или "охотник за  шансами", не думает о перспективах, не
мыслит оригинально; напротив, он стремится извлечь  из предоставляющихся ему
возможностей   немедленную  выгоду   в  ущерб   высшим  целям,   не   дающим
незамедлительных результатов.
     Изобретательность - ценное свойство даже на  начальных стадиях  научной
деятельности,  но  устоявшаяся независимость мышления является также основой
воображения и интуиции - самых важных атрибутов научной одаренности.



     Существуют, с  одной  стороны, убедительные доводы  в пользу того,  что
истинный  ученый  должен  быть способен  избавляться от  предубежденности  и
привычного  хода  мыслей,  ибо  только   это  обеспечивает  восприимчивость,
способность  обнаружить нечто  новое,  сформулировать полностью  новаторскую
мысль. С другой стороны, действительно непредубежденный мыслитель знает, что
он не может и не должен быть свободен от предубежденности, иначе  он потерял
бы все преимущества опыта, приобретенного не только за время его жизни, но и
в   ходе   исторической   эволюции.   Абсолютно  непредубежденный   индивид,
относящийся  к каждой возможной  ситуации с  равным  доверием, непригоден не
только  для  науки, но и  просто для выживания. В действительности творчески
мыслящий ученый полон ранее воспринятых  идей и пристрастий. Одни результаты
он  считает благоприятными,  другие нежелательными; он  хочет доказать  свою
излюбленную теорию и бывает очень раздосадован, если ему это не удается. Так
почему же  ученому  нс следует  быть  предубежденным? Предубежденность,  как
известно,  сохраняет наиболее ценные плоды опыта. Без нее он никогда не смог
бы сделать выбор из бесчисленного количества возможных путей.
     Что мы действительно разумеем под "непредубежденным мышлением" ученого,
так это такой склад ума, который предусматривает  осуществление контроля над
многочисленными предубеждениями и проявляет готовность пересмотреть их перед
лицом  опровергающих   свидетельств.  Хотя  разум   ученого  преимущественно
ориентирован на  логику, он  должен  уметь  принять  факт,  даже если  тот и
противоречит    ей.    Вот   почему   творческое   исследование   не   может
руководствоваться  формальной логикой. И впрямь,  коль скоро ученый признает
примат факта (независимо от того, выглядит этот факт  рациональным или нет),
высший  тип  научной  деятельности  является,  как   это  ни  парадоксально,
"анти-логичным" или по крайней мере "не-логичным".



     Воображение настолько  сильно  зависит  от  независимости мышления, что
здесь  можно  добавить  совсем  немного.  Именно  посредством независимого и
оригинального мышления разум формирует осознанные представления о чем  бы то
ни было, воображает нечто, ранее в реальности не наблюдавшееся.
     Чтобы приносить пользу науке, воображение  должно  сочетаться с  острым
ощущением того,  что  является  важным  и  значимым.  Такого рода оценка  по
необходимости должна производиться  инстинктивно  и основываться на неполных
данных в тот момент, когда их важность и значимость еще не стали очевидными!
При этом ученому приходится - вероятно, в  большей степени, чем в каком-либо
ином   случае,-   полагаться  на  свои   способности.   Научить  воображению
невозможно, разве что восприятие важности и  значимости может быть обострено
в  процессе приобретения  опыта  методом  проб  и ошибок. Эта  независимость
способности к  критическому суждению от  опыта объясняет,  почему в  течение
жизни для  развития способностей к оценке требуется гораздо больше  времени,
чем  для проявления  преимущественно  врожденной  способности к воображению.
Чутье   на   потенциальную   практическую   или   теоретическую   значимость
воображаемых нами  вещей само  по себе не  есть воображение; это необходимое
условие для выбора из бесчисленного количества рожденных воображением картин
тех из них,  которые значимо соответствуют реальности. Сочетание воображения
с  последующим  проецированием  значимых аспектов  воображаемой  картины  на
осознаваемую  реальность представляет  собой основу творческого  мышления  -
самой облагораживающей и приносящей удовлетворение  деятельности, к  которой
только способен человеческий мозг. Акт  научного и художественного творения,
наподобие  акта  творения  биологического{9},  приносит наслаждение  снятием
напряжения,  вызванного   острой  потребностью,  которая,   будучи  утолена,
оставляет  все  наше  существо  в  состоянии  приятной   расслабленности   и
удовлетворенности.
     Многие из открытий, которые  обычно считают случайными,  на  самом деле
родились   благодаря   огромной   силе   воображения,   мгновенно   рисующей
разнообразные приложения случайного наблюдения. Вот несколько классических и
наиболее часто упоминаемых примеров таких "случайных" открытий.
     Двое   физиологов  -  фон  Меринг   и  Минковский   -  изучали  функцию
поджелудочной  железы при пищеварении. Для того чтобы посмотреть,  как будет
протекать  процесс  пищеварения  в отсутствие этой  железы,  они  удалили ее
хирургическим путем. И вот  однажды служитель, ухаживающий за их подопытными
животными,   пожаловался,  что   не  в   состоянии  поддерживать  чистоту  в
лаборатории: моча собак с удаленной поджелудочной железой привлекает полчища
мух.  Подвергнув  мочу  анализу,  Минковский  обнаружил  в  ней  сахар.  Это
послужило ключом к установлению связи между действием поджелудочной железы и
заболеванием диабетом и явилось основой последующего открытия инсулина.
     Выдающийся французский физиолог Шарль Рише, плавая на прогулочной  яхте
принца Монакского, вводил собакам  экстракт из щупальцев  актинии, определяя
токсичную дозу. Однажды, при повторном введении собаке того же экстракта, он
заметил,  что очень маленькая  его доза приводит  к немедленному  летальному
исходу. Этот результат был  настолько неожиданным, что Рише отказался в него
верить и поначалу не  приписывал своим действиям. Но повторение эксперимента
показало,  что предварительное действие  этого экстракта вызывает  повышение
чувствительности к нему, или сенсибилизацию. Таким путем Рише открыл явление
анафилаксии,  о возможности  которого, по его собственным словам, он никогда
бы не подумал.
     Основоположник биохимии  Гоуленд  Хопкинc{10}  давал своим  студентам в
качестве упражнения хорошо известный тест на белок. К его удивлению, ни один
из  студентов не получил положительной  реакции. Исследование  показало, что
тест дает  такую реакцию  только в том  случае, если  используемый при  этом
раствор уксусной кислоты содержит в качестве  случайной примеси глиоксиловую
кислоту. Этот вывод вдохновил Хопкинса на дальнейшее исследование, приведшее
в  итоге  к выделению  триптофана -  части  белка, вступающего  в реакцию  с
глиоксиловой кислотой.
     Когда  Луиджи  Гальвани у  себя дома  в Болонье  увидел,  что лягушачьи
лапки, висевшие в  ожидании поджаривания на железной проволоке, периодически
сокращаются, он после внимательного наблюдения сделал  вывод, что сокращение
мышц  происходит в  том случае, когда  лапка  одной  своей  частью  касается
железной   проволоки,   а  другой   -   куска  медной  проволоки,   случайно
прикрученного  к  концу  железной.  Именно  это  наблюдение  привело  его  к
конструированию так называемой металлической дуги, что в итоге выразилось  в
понимании природы электричества и последующем изобретении элемента Вольта.
     Немецкий физик  В. Рентген экспериментировал с электрическими разрядами
в высоком вакууме, используя платиноцианид бария, чтобы обнаружить невидимые
лучи. Ему и в голову не приходило,  что  эти лучи  способны проникать сквозь
непрозрачные  материалы.  Случайно  он  заметил,  что  платиноцианид  бария,
оставленный вблизи вакуумной трубки, начинает флуоресцировать, даже если его
отделить  от трубки  черной бумагой.  Позднее он скромно объяснил:  "По воле
случая я обнаружил, что лучи проникают сквозь "черную  бумагу"". На самом же
деле  нужна была  величайшая сила воображения,  чтобы не только увидеть этот
факт, но и осознать его огромные последствия для науки.




     Однако  не  существует  логического  пути  открытия  этих  элементарных
законов.  Единственным  способом  их постижения  является интуиция,  которая
помогает  увидеть  порядок,  кроющийся  за внешними проявлениями  различных,
процессов.
     А. Эйнштейн

     Определение. Интуиция - это бессознательный разум, дающий знания, минуя
рассуждения и  умозаключения.  Это мгновенное  понимание или  осознание  без
рационального  мышления.  Интуиция   -  это  искра,  зажигающая  разум,  его
оригинальность и изобретательность. Это вспышка, необходимая для  соединения
сознательной   мысли  с   воображением.   Интуитивное  предчувствие   иногда
определяется как объединяющая или проясняющая идея, которая внезапно озаряет
сознание  и дает решение проблемы над которым мы долго бились. Не случайно у
древних индейцев  Перу понятие  "поэт"  и "изобретатель" обозначались  одним
словом - hamaves.
     Обсуждая вопрос  об  интуитивных предчувствиях со своими  коллегами,  я
выяснил, что большинство из  них  испытывают эти чувства в самые неожиданные
моменты - засыпая, пробуждаясь ото сна или занимаясь чем-либо, совершенно не
связанным  с  волнующей проблемой.  В процессе  упорной работы  сознания над
решением  проблемы ее разгадка  может  прийти,  например, во время прогулки,
слушания  оперы  или чтения  газеты.  В  то  же  время физическая усталость,
чувство  раздражения,  постороннее  вмешательство или  давящая необходимость
закончить работу к определенному сроку, несомненно, блокируют интуицию.
     Сначала мы посредством  наблюдений  собираем факты,  накапливаем  их  в
памяти, затем располагаем  их  в том порядке, который диктуется рациональным
мышлением.  Иногда   этого  вполне  достаточно  для  достижения  приемлемого
решения. Но если после сознательного  процесса  рассуждений и  умозаключений
факты не  желают  образовывать  гармоничную  картину, тогда  сознание  с его
укоренившейся  привычкой к наведению порядка должно отойти  в сторону и дать
свободу фантазии. При этом  раскрепощенное воображение управляет порождением
бесчисленных  более  или менее случайных ассоциаций. Они похожи  на  сны,  и
обыденный интеллект отверг  бы их  как явную  глупость.  Но  иногда одна  из
множества мозаичных  картин,  созданных  фантазией  из  калейдоскопа фактов,
настолько приближается к  реальности,  что  вызывает интуитивное  прозрение,
которое как  бы выталкивает соответствующую идею в сознание. Другими словами
воображение--это  бессознательная  способность  комбинировать  факты  новыми
способами,  а  интуиция  -  ЭТО способность переносить  нужные  воображаемые
образы в сознание.
     Творчество  само по  себе всегда бессознательно: только при  проверке и
использовании  продуктов  творческой  деятельности  применяется сознательный
анализ. Инстинкт порождает  мысли, не осознавая  способы мышления, интеллект
же пользуется мыслями, но не способен их создавать.
     Примеры.  Как  функционируют  наши  нервы.  Отто  Леви{11},   один   из
величайших ученых-медиков нашего  времени,  рассказал  мне, что идея  самого
важного  его  эксперимента пришла к  нему однажды ночью, когда  он  внезапно
проснулся. Он мгновенно осознал необычайную важность этого видения и  быстро
набросал  свои мысли  на  клочке бумаги. Но  на  следующее  утро, уже будучи
убежден  в том, что его  посетило вдохновение,  он  не сумел разобрать  свои
каракули. Как  он ни старался, он не  смог вспомнить, в  чем именно состояла
догадка, пока на  следующую  ночь снова не проснулся  от  такой  же  вспышки
озарения.  На  этот  раз  он  сумел  настолько  мобилизоваться,  что  сделал
достаточно разборчивую запись, осуществив на  следующий день свой знаменитый
эксперимент по  химической передаче нервных импульсов.  Он показал, что если
перфузировать  два сердца  лягушки  одним  и тем же раствором, то стимуляция
нерва одного сердца вызывает  изменение сердечного ритма, которое передается
другому сердцу через омывающую их жидкость.
     Этот предельно простой и элегантный эксперимент, столь легко  созданный
бессознательным  разумом,  открыл новую  область  исследований.  Возможность
подобной  химической  передачи  нервной активности  и  ранее  предполагалась
многими  учеными,  в том числе  и  самим Леви, но  никто  не  мог  придумать
подходящий способ доказать это.
     Открытие   инсулина.  Другой  интересный  пример  того,   как  работает
бессознательный разум, дает открытие антидиабетического гормона. Поскольку я
имел   возможность  лично   обсуждать   с  сэром  Фредериком   Бантингом{12}
психологические аспекты его открытия, мне хотелось  бы детально изложить  их
здесь.
     После  первой мировой  войны  Бантинг,  вернувшись  с  военной  службы,
занялся  медицинской практикой  в маленьком  тогда  городе Лондоне канадской
провинции  Онтарио.  Однажды  вечером  он  читал   статью  о  дегенеративных
изменениях,  которые  происходят  в поджелудочной  железе  если  ее  протоки
закупорены камнями. Потом он отравился спать но долго не мог заснуть: у него
создалось интригующее, хотя и  смутное  впечатление. что эти  дегенеративные
изменения могут помочь пролить свет на загадочную (в то время) роль, которую
поджелудочная железа играет  в заболевании диабетом. И вот около двух  часов
ночи идея  внезапно осенила его. Он  тут же  записал ее  следующим  образом:
"Перевязать панкреатические протоки у собак. Подождать шесть-восемь  недель,
чтобы произошла дегенерация. Удалить остаток и экстрагировать".
     Для  многих ученых чрезвычайно затруднительно  отчетливо сформулировать
идею   на   фоне  многочисленных  психологических  тормозов,  возникающих  в
состоянии полного бодрствования; в то же время в полусознательном состоянии,
перед  тем  как  заснуть  или проснуться, инстинктивно  ощущаемые  концепции
проявляются отчетливо и без всякого усилия.
     Бантинг  не мог  реализовать  свой  план у  себя  в  городе, поэтому он
отправился к профессору Дж. Маклеоду в университет Торонто  и получил у того
необходимые  советы  и  оборудование  для  проведения  эксперимента.  Работа
началась 16 мая 1921 г. В  ней принял участие талантливый молодой студент по
фамилии Бест,  который был  уже знаком с кропотливой и мало  тогда известной
методикой определения содержания сахара в малых образцах крови.
     После нескольких неудач 27 июля 1921  г. Бантинг и  Бест  имели наконец
одну   собаку  с   перевязанным   протоком   и  остатками   дегенерированной
поджелудочной железы, а другую - с острым диабетом и удаленной поджелудочной
железой.  Остаток  вырожденной поджелудочной железы  первого  животного  был
удален,  измельчен  и  экстрагирован  на  холоде  примерно  в  100  куб.  см
физиологического  раствора. 5  куб.  см было  введено внутривенно собаке без
поджелудочной железы, и два часа спустя содержание сахара в ее крови упало с
200  до  110 мг на 100 куб. см. К январю 1922 г. в одной из  больниц Торонто
первые  диабетические  больные лечились экстрактом из  поджелудочной  железы
крупного рогатого скота.
     Первая  мысль о теории микробов.  В 1847 г., когда врач Земмельвейс{13}
был чрезвычайно обеспокоен высокой смертностью от родильной горячки  в Вене,
его коллега Коллечка умер от незначительного повреждения пальца, полученного
при вскрытии. Земмельвейс записал: "В том  возбужденном состоянии, в котором
я тогда находился,  мне вдруг с неопровержимой ясностью пришло в голову, что
болезнь, от которой умер Коллечка, идентична той, от которой  на моих глазах
умерло столько женщин... День и  ночь видение  болезни Коллечки преследовало
меня,  и  со  все  более  растущей убежденностью  я  приходил  к  выводу  об
идентичности этих заболеваний" [цит. по: 34].
     Фагоцитоз.  Вот  отчет Мечникова  об  истоках фагоцитоза  -  поглощения
клетками инородных материалов с целью защиты организма: "Однажды, когда  все
семейство отправилось в цирк смотреть каких-то необыкновенных дрессированных
обезьян, я остался наедине со своим микроскопом, наблюдая жизнь  в подвижных
клетках прозрачной личинки морской звезды, и вдруг новая мысль пронизала мой
мозг. Мне пришло  в  голову,  что  подобные клетки могут  служить для защиты
организма от  вторжений.  Чувствуя, что  в  этом  есть нечто, представляющее
исключительный интерес, я так разволновался, что начал ходить взад-вперед по
комнате и даже пошел  на берег моря, чтобы собраться с  мыслями"  [цит.  по:
11].
     Эволюция.   Как-то   во  время   болезни  А.  Уоллес{14}   читал  книгу
Мальтуса{15},   в   которой   утверждалось,   что   всевозможные    факторы,
препятствующие   увеличению   народонаселения,   способствуют   исчезновению
наименее приспособленных. Отсюда Уоллес заключил, что то же самое может быть
справедливым и в отношении животного мира: "В ходе  весьма общих размышлений
о  том,  к какому огромному  и постоянному  уничтожению  все это приводит, я
задался вопросом: почему одни погибают,  а другие выживают? Ответ был вполне
определенным:  в  целом  выживают  наиболее  приспособленные...  Затем  меня
внезапно озарило, что этот протекающий сам по  себе процесс должен  улучшать
популяцию...  Наиболее приспособленные  будут выживать. И я сразу,  как  мне
показалось, увидел все последствия этого" [36].
     Кольцевая  структура бензола. Немецкий химик Кекуле  пытался привести в
порядок  свои  мысли  о  структуре бензола  (те самые мысли, которые в итоге
привели к революции в органической химии). Предоставим слово  самому Кекуле:
"Это  дело как-то у  меня не ладилось,  ибо  мой дух витал где-то  в  другом
месте, Я повернул кресло  к камину и погрузился в  дремоту. Атомы мелькали у
меня  перед  глазами.  Их  длинные  ряды,  переплетенные  самым  причудливым
образом, находились  в движении, извиваясь и крутясь, как  змеи. Но что это?
Одна из  змей  ухватила себя за  хвост, и этот образ насмешливо завертелся у
меня перед глазами. Я очнулся как  бы от вспышки молнии; весь остаток ночи я
потратил, работая над следствиями моей гипотезы... Давайте учиться  грезить,
господа!" [цит. по: 18].
     Открытие математического  закона. Выдающийся французский математик Анри
Паункаре  рассказывает о  том, как после  длительных  и  тщетных  усилий  он
совершил   величайшее  из  своих  открытий,  связанное   с  так  называемыми
автоморфными, или Фуксовыми, функциями: "Однажды  вечером  я  выпил  вопреки
обыкновению  чашку  черного кофе:  я  не  мог  заснуть;  идеи  возникали  во
множестве; мне казалось,  что я чувствую, как они  сталкиваются между собой,
пока  наконец  две  из  них, как бы сцепившись  друг с другом, не образовали
устойчивого соединения.  Наутро я  установил  существование  класса  функций
Фукса,  а именно тех,  которые получаются из гипергеометрического  ряда; мне
оставалось лишь сформулировать результаты, что отняло у меня всего несколько
часов" [15, с. 313].
     То  обстоятельство,  что  столь  много  случаев  интуитивного  озарения
происходит  в  полудремотном  состоянии,-  не   простое  совпадение,  и  нам
представится возможность показать, что эти случаи далеко не исключение.
     Открытие  синдрома  стресса. Здесь  мне хотелось бы  добавить несколько
слов об открытии, обстоятельства которого мне известны лучше всего, хотя его
ценность ни в коей мере  несравнима с вышеописанными примерами.  Как мне уже
приходилось  писать,  я  впервые  "наткнулся"  на  идею  стресса   и  общего
адаптационного  синдрома  в  1925  г.,  когда  изучал  медицину  в  Пражском
университете. Я  только  что прошел  курсы анатомии,  физиологии, биохимии и
прочих теоретических дисциплин, изучение которых должно предварять встречу с
настоящим пациентом.  Нашпиговав  себя теоретическими познаниями до  предела
своих возможностей и сгорая от нетерпения  заняться искусством врачевания, я
обладал весьма слабыми представлениями о клинической медицине. Но вот настал
великий и незабываемый для меня день, когда мы должны были прослушать первую
лекцию по внутренним болезням и увидеть, как обследуют больного.
     Получилось  так, что  в  этот день  нам  показали  в  качестве введения
несколько  случаев различных  инфекционных  заболеваний на  их самых  ранних
стадиях.  Каждого  больного приводили  в  аудиторию,  и  профессор тщательно
расспрашивал и обследовал его. Все больные чувствовали себя  больными, имели
обложенный язык,  жаловались на более или менее рассеянные боли в  суставах,
нарушение  пищеварения и потерю аппетита. У большинства пациентов  отмечался
жар  (иногда сопровождаемый бредом),  были  увеличены печень  или селезенка,
воспалены миндалины и так далее. Все эти  симптомы прямо  бросались в глаза,
но профессор не придавал им особого значения.  Затем он перечислил несколько
"характерных"  признаков,  способных  помочь  при  диагностике  заболевания,
однако увидеть  их  мне  не  удалось,  ибо они отсутствовали или,  во всяком
случае, были столь  неприметными,  что  мой нетренированный  глаз не мог  их
различить: и все-таки именно они, говорили нам, представляют собой те важные
изменения в организме, которым мы должны уделять все наше внимание. В данный
момент, говорил наш преподаватель, большинство из этих характерных признаков
еще  не проявилось и  потому помочь чем-либо пока нельзя. Без них невозможно
точно  установить,  чем   страдает  больной,  и,   следовательно,  назначить
эффективное  лечение.  Было  ясно,  что  многие   же  проявившиеся  признаки
заболевания  почти не интересовали нашего преподавателя, поскольку они  были
"неспецифическими" (нехарактерными), а значит, бесполезными для врача.
     Так как это были  мои первые  пациенты, я еще был  способен смотреть на
них  взглядом, не  искаженным  достижениями современной  медицины. Если бы я
знал больше, то не задавал бы вопросов, потому что все делалось "именно так,
как  положено, как  это  делает каждый  хороший  врач".  Знай  я  больше,  я
наверняка  был  бы  остановлен  величайшим  из  всех  тормозов  прогресса  -
уверенностью в собственной правоте. Но я не знал, что правильно и что нет...
     Я понимал,  что наш  профессор, дабы определить конкретное  заболевание
каждого из этих больных, должен был  найти специфические проявления болезни.
Мне  было  ясно  также,  что   это  необходимо  для  назначения  подходящего
лекарства, обладающего специфическим  действием  против микробов  или  ядов,
вызывавших болезнь этих людей.
     Все это  я  прекрасно  понимал;  но что  произвело  на  меня,  новичка,
наибольшее  впечатление,  так  это  то,  что  лишь  немногие  признаки  были
действительно характерны для данного конкретного заболевания; большинство же
из них со  всей очевидностью  являлись общими для многих, если не для  всех,
заболеваний.
     Почему  это,  спрашивал  я  себя,  такие  разнообразные  болезнетворные
агенты,  вызывающие  корь, скарлатину  или  грипп,  имеют  общее  с  многими
препаратами,   аллергенами   и  т.   п.  свойство   вызывать   вышеописанные
неспецифические  проявления?  Но  ведь  им всем на  самом  деле  присуще это
свойство, причем  в  такой  степени,  что на ранней стадии заболевания порой
совершенно   невозможно,   даже    для    нашего    именитого    профессора,
дифференцировать одно заболевание от другого, столь похоже они выглядят.
     Я не  мог  понять, почему с  самого  зарождения  медицины  врачи всегда
старались  сосредоточить  все свои  усилия  на  распознавании индивидуальных
заболеваний и на  открытии специфических лекарств от них, не уделяя никакого
внимания значительно более очевидному "синдрому недомогания" как таковому. Я
знал,  что  синдромом  называется  "группа  признаков и  симптомов, в  своей
совокупности характеризующих заболевание". Несомненно, у только что виденных
нами  больных присутствовал синдром, но он скорее напоминал  синдром болезни
как  таковой,  а  не  какого-то   определенного  заболевания.  А  нельзя  ли
проанализировать механизм этого общего "синдрома недомогания" и, быть может,
попытаться найти лекарства против неспецифического фактора болезни? Впрочем,
выразить  все это  на  точном языке экспериментально обоснованного  научного
описания я сумел лишь спустя десять лет.
     В  то время  я  работал  в  отделении  биохимии  Университета Мак-Гилл,
пытаясь  обнаружить  новый  гормон  в экстрактах яичников крупного  рогатого
скота. Все  экстракты, независимо от того, как они готовились, вызывали один
и  тот же синдром, характеризовавшийся увеличением  коры надпочечников{15a},
желудочно-кишечными язвами, уменьшением тимуса и  лимфатических узлов.  Хотя
на первых порах я приписывал эти изменения некоему новому гормону яичников в
моем  экстракте, вскоре  обнаружилось, что экстракты других органов - и даже
любые  токсические  вещества - также вызывают аналогичные изменения. И  лишь
тогда  я  внезапно  вспомнил  свое  студенческое  впечатление  от  "синдрома
недомогания"   как  такового.  Меня   осенило:  то,  что  я  вызывал  своими
неочищенными  экстрактами и токсичными  препаратами, было  экспериментальным
воспроизведением  этого  состояния.  Затем  эта  модель была  применена  при
анализе  синдрома стресса, а  увеличение  надпочечников,  желудочно-кишечные
язвы  и   тимико-лимфатическая   дегенерация  рассматривались   в   качестве
объективных показателей  стресса.  Так простая догадка о наличии связи между
почти  забытой и сугубо предположительной клинической концепцией, родившейся
в студенческие времена,  с одной  стороны,  и воспроизводимыми  и объективно
измеримыми  изменениями  в  текущих  экспериментах  на  животных, с  другой,
послужила основой для развития всей концепции стресса.
     Удалось показать, что стресс  представляет  собой скорость  изнашивания
человеческого    организма,    сопровождает   любую   жизнедеятельность    и
соответствует  в  определенном смысле интенсивности жизни.  Он увеличивается
при нервном  напряжении, телесных повреждениях,  инфекциях,  мышечной работе
или  любой  другой  напряженной  деятельности  и  связан  с  неспецифическим
защитным  механизмом, увеличивающим сопротивляемость к стрессовым  факторам,
или   "стрессорам".  Важной  частью   этого  защитного   механизма  является
повышенное выделение  гипофизом (маленькой  железой в основании  мозга)  так
называемого  адренокортикотропного гормона  (АКТГ)  который  в свою  очередь
стимулирует выработку  кортикоидов корой надпочечников.  Среди  них наиболее
важными  являются глюкокортикоиды, такие,  например,  как кортизон  (которые
влияют на метаболизм глюкозы  и на органический обмен  веществ в  целом),  а
также  минералокортикоиды, такие,  как альдостерон или дезоксикортикостерон,
регулирующие  минеральный   обмен.   Различные  расстройства  секреции  этих
гормонов  могут   приводить  к  заболеваниям,   названным  мною   "болезнями
адаптации".   поскольку   они  вызываются   не   непосредственно  каким-либо
патогенным  фактором   (возбудителем  болезни)  а   ошибочной  адаптационной
реакцией на стресс, индуцированный некоторым патогенным фактором.
     Весь синдром стресса, или,  иначе, общий адаптационный  синдром  (ОАС),
проходит три  стадии: 1)  "реакция тревоги",  во время которой  мобилизуются
защитные  силы;  2)  "стадия  устойчивости", отражающая  полную адаптацию  к
стрессору; 3) "стадия истощения", которая неумолимо наступает, если стрессор
оказывается достаточно силен и действует достаточно долгое время,  поскольку
"адаптационная  энергия",  или  приспособляемость  живого  существа,  всегда
конечна{16}.

     Механизм  интуиции.  В  различных  частях тела  одновременно  протекают
бесчисленные   жизненные  процессы.  Одни  из   них  являются  сознательными
(например,   произвольные   мышечные   движения)   другие   бессознательными
(например,  выделение  желез  внутренней секреции,  движения  кишечника),  а
третьи обычно бессознательны, но при желании могут быть включены  в сознание
(например,  дыхание). Огромное  преимущество сознательных  видов  активности
состоит в том что  они поддаются целенаправленному регулированию со  стороны
воли и интеллекта. Но  главной  слабостью сознательного разума является  то,
что в каждый  данный момент  времени он  может  иметь  дело  только с  одной
задачей.
     Трудно одновременно  выполнять  сразу  два даже простых,  но  различных
движения, если только мы не сумеем вытеснить по  крайней мере одно из них  в
подсознание. Лишь благодаря "механизации" одного из двух видов  деятельности
(в результате передачи  ее под  контроль сознания)  мне с  величайшим трудом
удалось рисовать кружочки левой рукой, а  квадратики правой. Если  взять два
карандаша  и. сосредоточиться на рисовании  левой  рукой  последовательности
кружочков, эту повторяющуюся деятельность можно вытеснить в подсознание, дав
своей левой  руке  приказ: "Делай так!";  затем при продолжающихся  круговых
движениях можно сосредоточиться на рисовании правой рукой квадратиков.
     Можно также сознательно  установить неестественно  глубокое и медленное
дыхание и затем приказать себе дышать именно таким образом, сосредоточившись
на чем-либо другом, однако наш сознательный разум всецело поглощен процессом
установления  данной  формы  дыхания.   Можно   изучать   иностранный  язык,
сознательно запоминая его правила и слова, но нельзя говорить даже на родном
языке,  если   сознательно   продумывать  грамматику  и  синтаксис   каждого
предложения.  В то  время как  наш ум занят сознательным анализом какой-либо
проблемы, мы  дышим, идем по улице, в нашем организме осуществляется процесс
пищеварения и кровообращения, причем  мы не отдаем себе отчета ни в одной из
этих форм  деятельности. Однако,  если мы  захотим  изменить свой маршрут  и
перейти  улицу,  нам  придется   хотя  бы  на  мгновение  оставить  предмет,
занимавший наш сознательный  разум, и направить  свое  внимание  на  решение
стоящей перед нами задачи.
     То же самое происходит, когда в  нашем подсознании  "взывает о  помощи"
какое-либо совсем  неожиданное  событие.  Если  ко  мне  в  ботинок  попадет
камешек,  я должен остановить механический  процесс ходьбы и направить  свое
сознательное усилие  на устранение источника боли; потом я  могу возобновить
автоматический процесс ходьбы и вновь нацелить свой сознательный разум на ту
проблему, которой он  был занят до возникновения "беспорядка". Боль является
наиболее  общим предупреждающим  сигналом,  ибо она сообщает о необходимости
нашего  сознательного  вмешательства.  При  прочих   равных  условиях   даже
бессознательные физиологические процессы могут  взывать к такого рода помощи
посредством  болевого  сигнала. Многие  больные  погибли бы, если бы  обычно
бессознательная  деятельность  их  внутренних  органов  в случае болезни  не
просила бы о помощи, становясь болезненно осознаваемой.
     Гармоничное взаимодействие между сознательным и бессознательным разумом
играет особенно важную роль  в механизме интуитивного мышления. Если человек
в гораздо большей степени обладает властью над природой, нежели  понимает ее
законы, то это происходит потому, что его сознательный интеллект в состоянии
одновременно постигать лишь одну идею, в то время как его действиям помогает
весь  подсознательно  хранимый  запас  опыта  и  идей.  Из  темных  хранилищ
врожденной и приобретенной подсознательной информации  мы можем извлекать на
свет сознания для логического анализа лишь одну проблему, остальные  же наши
знания в это  время недоступны такому планомерному рассмотрению. Все данные,
попавшие когда-либо  в  гигантский  "миксер"  нашей  подсознательной памяти,
постоянно сталкиваются  друг с  другом,  причем  родственные элементы  могут
объединяться, образовывая полезные сочетания. Такие  новообразованные группы
идей в состоянии непроизвольно управлять  целенаправленными действиями, даже
не становясь  осознаваемыми (т. е.  действовать  наподобие инстинктов);  они
становятся доступными рациональному анализу  и  намеренному их использованию
только в том случае, если  прорываются в сознание  в результате интуитивного
озарения. Если подсознательное мышление  продолжается все время, особенно во
сне  (причем логика в его работу не  вмешивается), то полностью сознательное
мышление нуждается в ясном свете  абсолютного бодрствования. В  сумерках же,
на грани сознательного состояния, грезы лучше всего прорываются в сознание в
виде вспышки интуиции.
     С   помощью  простой  механической  аналогии  можно   представить,  как
бессознательная мыслительная манипуляция путем  объединения родственных идей
в   бесчисленные  случайные  комбинации,   которые   при  обычных   условиях
подавляются,     способна    подготовить    сознательное    целенаправленное
использование  мыслей   в   качестве   единого   целого.  Множество   шаров,
различающихся по весу  и цвету, при желании можно  расположить под контролем
интеллекта  таким  образом,  что  подобные объекты  окажутся рядом.  Но  это
отнимет   много  времени,  поскольку  каждый  из  видов  шаров  должен  быть
идентифицирован по своим характеристикам и затем  помещен в нужное место без
нарушения  уже  достигнутого  порядка.  Значительно легче  высыпать  шары  в
какой-либо  сосуд и трясти  его  до  тех пор,  пока  порядок не  установится
автоматически. В результате серые стальные шары окажутся на дне,  коричневые
деревянные - в середине, а белые целлулоидные -  сверху. В этом случае мы не
оказываем  на перемещение отдельных  шаров никаких  направляемых интеллектом
воздействий. И все же  они  образуют порядок, при  котором подобные  объекты
приближены  друг  к  другу,  что  удобно  для  сознательного  сравнения  или
использования одного  слоя в качестве целого.  В  рамках этой  аналогии  для
установления  определенного порядка цвет шаров не играет роли  -  он  просто
помогает  идентифицировать  их.  При решении  более сложных  научных проблем
подобные частности  иногда принимают за  причинные свойства.  Об этом важном
источнике ошибок мы поговорим при обсуждении отдельных видов заблуждений (с.
309).
     Поскольку интуитивная  умственная  деятельность может  протекать только
без  участия  сознательного  контроля,   подлинно  научный  анализ  интуиции
невозможен.  Сознательный  интеллект  так  же   мало  осведомлен  о   вещах,
недоступных для его восприятия, как слепой человек -- о цветовых оттенках. К
счастью, мы не  совсем слепы  к  бессознательному. Мы можем  улавливать  его
проблески, вспыхивающие на мгновение то  там, то здесь  на границе сознания,
если  будем  достаточно проворны  и не  дадим им вновь  исчезнуть  в  океане
бессознательного. Интуиция зависит также от сознательной подготовки по сбору
фактов и оценке идей. Обладая достаточной наблюдательностью, мы можем немало
узнать о путях, которыми следует  мысль, даже если в силу  необходимости наш
анализ будет ограничен  только  теми  отрезками  путей,  которые  пересекают
область сознательного.
     Большинство исследователей  механизма научного  мышления признают,  что
место интуиции - на  этапе  подсознательного вызревания идеи. После того как
материал,  собранный   (по  крайней  мере  частично)  сознательно  до  этапа
вызревания, или инкубационного периода, вылился в идею, он должен быть опять
сознательно проверен.
     Не знаю, является ли это простым совпадением или проявлением  глубокого
закона  природы, но  существует  поразительное  сходство  между  механизмами
научного творчества и процессом  воспроизведения потомства. Насколько я могу
судить, оба процесса проходят семь  стадий, которые мы обозначим  терминами,
принятыми в  физиологии размножения,  хотя  и  намереваемся применить  их  к
научному  творчеству. Такой анализ  механизма творческого мышления к тому же
дает   нам  возможность   вновь  рассмотреть  предпосылки,  необходимые  для
совершения открытия.
     1. Любовь или по крайней мере желание. Первой предпосылкой для научного
открытия является пылкий энтузиазм, страстная жажда познания, которая должна
быть  удовлетворена.  Этот  энтузиазм  может  питаться  любовью  к  Природе,
стремлением   к  истине,   тщеславием,  потребностью  в  признании,  простым
любопытством, желанием быть полезным или  любым иным  мотивом, но он  должен
быть достаточно горячим, чтобы преодолевать все преграды на своем пути.
     2. Оплодотворение. Независимо от  того, насколько велика  потенциальная
творческая энергия  разума,  он остается стерильным,  если предварительно не
оплодотворен фактами, собранными посредством  наблюдения  и  изучения. Объем
эрудиции,  наиболее приемлемый для интуитивного ума, варьирует от индивида к
индивиду.  Для  создания  широких,  обобщающих  концепций некоторые  ученые,
особенно "великие сопоставители",  нуждаются  в энциклопедических познаниях.
Другие. занимающиеся более глубокими исследованиями, но в сравнительно узкой
области,  нуждаются  в меньшем количестве  информации.  Излишек  знаний,  не
относящихся непосредственно к решаемой задаче, может  стать даже помехой. Но
как бы там ни было, в истории каждого научного открытия имеется неотъемлемый
подготовительный период  сбора и сознательного  исследования фактов и  идей,
которые могут положить начало существенно новому вкладу в науку.
     3.  Созревание. На  этой  стадии ученый  "вынашивает" идею.  Вначале он
может  даже  не  осознавать  этого  однако  все,  кто анализировал  механизм
интуиции, согласны с тем, что если анализ проблемы с помощью сознания уже не
дает плоды, проблему следует отложить для вызревания, которое осуществляется
путем бессознательного  сопоставления ее  с  огромным  запасом  накопленного
опыта. При  этом  родственные  факты,  сталкиваясь друг  с другом,  образуют
плодотворные комбинации.
     Как  я  уже  сказал,  бессознательная  часть мыслительного процесса  не
поддается  сознательному  интеллектуальному анализу,  но интуитивное чувство
подсказывает мне, что вызревание полезно в двух отношениях:
     а)  как показывают исследования физиологических явлений, неосознаваемые
(например, биохимические) виды деятельности могут  протекать в очень широких
пределах и одновременно в существенно разных направлениях.  Возможно,  то же
справедливо  и  для  бессознательного  мышления.   Не  исключено,  что   наш
подсознательный разум способен  мыслить  одновременно  о самых разнообразных
предметах  и,  таким образом, сравнивать зародыш  новой идеи со  значительно
большим   числом   потенциально   полезных  фактов,  чем  это  может  делать
сознательный интеллект;
     б)  неоправданные  предубеждения,  традиционный  подход  к  проблеме  с
"неприступной"  стороны  и другие ошибки, свойственные нам  при сознательном
анализе предмета, забываются,  если сознательный  разум занят чем-либо  иным
или спит.  Следовательно,  когда  наша  идея  из состояния вызревания  вновь
возвращается к границе сознания,  не только она предстает более зрелой, но и
мы  имеем гораздо больше шансов  зафиксировать  ее. В случае если  очертания
идеи возникают перед  нами неожиданно, мы способны  легче воспринять ее  под
новым  углом   зрения  за   счет  внезапного  неподготовленного  умственного
рефлекса.  Другими  словами,  во  время  вызревания  устоявшиеся  бесплодные
ассоциации  исчезают  из памяти и, таким образом, дают  шанс  для проявления
новых, потенциально плодотворных ассоциаций.
     Наверное,  у  каждого  есть  свой   опыт   извлечения   из  подсознания
какого-либо имени или названия путем "обсасывания" той части его содержания,
которую,  как нам кажется, мы помним{16а}.  Мысли при этом путаются, а потом
разворачиваются  примерно  так,  как это  было  недавно  со  мной:  "Как  же
называлась эта книга Бидла? "Гормоны" ? Нет... "Учебник по гормонам"  ? Тоже
не то... "Принципы исследования гормонов"? Нет,  все равно звучит не  так...
Но ведь я абсолютно уверен, что там было что-то о гормонах!"  Раз уж я начал
думать  в  этом  направлении,  все  мои  попытки  вспомнить  заглавие  книги
строились вокруг одной и  той же фиксированной точки: что-то о гормонах. Это
я  помнил отчетливо, но  заглавие все не всплывало.  Впрочем, по  прошествии
нескольких  дней,  когда я  думал  о чем-то совершенно  ином,  меня внезапно
осенило, что книга называлась...  "Внутренняя секреция". Причина, по которой
я  не  мог извлечь  из  памяти это название, состоит в том, что я начал свои
попытки с  предпосылки, будто оно  включает слово "гормоны". Книга и в самом
деле касалась гормонов, но  через синонимичный термин "внутренняя секреция",
который я не смог вспомнить, пока не забыл то, что считал своим единственным
надежным воспоминанием на этот счет.
     Вчера я  спросил  своего маленького сына  Андре:  "Сколько будет шестью
семь?" он ответил "Тридцать?" Я повторил вопрос несколько раз,  позволяя ему
думать,  сколько он хочет, но ответ был один: "Тридцать".  Тогда я переменил
тему и, поговорив  с ним несколько минут о других вещах, снова  повторил тот
же  вопрос.  "Сорок  два!" - ответил мальчик не  задумываясь, поскольку  уже
забыл первоначальный  неправильный ответ. Но на самом  деле с  помощью  ныне
существующих методов мы не в  состоянии  даже установить,  что происходит  в
нашем  мозгу,  когда  мы  даем верный  ответ на такой  простой  вопрос,  как
"Сколько будет шестью семь?",  или  когда мы  вспоминаем правильное название
книги.  Возможно, что когда-нибудь в будущем  прогресс  в нейрофизиологии, в
частности в электроэнцефалографии, позволит нам проследить  судьбу идеи  уже
после  того,  как она  "ворвалась"  в подсознательный  разум. В настоящее же
время это невозможно. Но мы можем многое узнать  о развитии мысли, даже если
проследим  путь   ее   прохождения  через   сознательный  разум  до  границы
неосознаваемого.  Мы  должны  также  иметь  в  виду,  что  и  после этого  в
подсознании продолжается важная, но непостижимая для нас работа.
     4. Родовые схватки. Когда  я чувствую,  что вынашиваю идеи,  я страдаю.
Описать природу этого страдания  в точных терминах трудно, но оно достаточно
ощутимо.  Не будучи женщиной,  я  не могу  на  основании опыта сравнить  это
ощущение с  родовыми  схватками,  но мне  представляется,  что  здесь  много
общего: явный элемент фрустрации, ощущение, что в вас есть что-то, требующее
выхода, хотя вы и не знаете, как помочь этому. Вероятно, именно это ощущение
имел  в  виду  Пуанкаре,   когда  говорил,  что  чувствует,   как  его  идеи
"сталкиваются между собой".
     Для  тех, кто никогда не испытывал этого  чувства, трудно  описать  его
иначе, чем с  помощью аналогий  из  повседневной  жизни,  которые  неминуемо
выглядят смешными, если их использовать для описания рождения идеи. Но когда
я обсуждал этот вопрос со своими коллегами, они сразу понимали, что я имею в
виду.  Я  сравнивал  это  ощущение с желанием и невозможностью  чихнуть  или
произнести слово, если оно вертится на кончике языка. К сожалению, до самого
момента  рождения идеи  нельзя  определить,  к  какому  результату  приведет
беременность;   насколько   мне   известно,   одинаковые   родовые   схватки
предшествуют рождению как ценной, так и бесполезной идеи.
     Несомненно,  те  или  иные  признаки  зачастую   носятся  в  воздухе  и
поедсказывают  близость достижения  решения.  Уоллес в  своей  замечательной
книге  "Искусстве   мышления"  говорил  об  этом   ощущении  как  о  "намеке
непосредственно предшествующем  самому озарению" На  практике важно отдавать
себе отчет  в  появления такого  признака,  поскольку он заставляет нас быть
начеку  и не  потерять  идею,  когда она  на  какой-то момент промелькнет  в
сознании.  Как мы видели,  рождение  мысли,  как  и рождение ребенка,  часто
происходит ночью,  в постели; но, так  как появление идеи не  сопровождается
болями, мы  порой не можем проснуться настолько, чтобы крепко ухватить новую
мысль и  вывести ее  на свет сознания до того, как она  ускользнет обратно в
область  бессознательного.  С  тех  пор  как  я   убедился  в  существовании
упомянутого признака,  только  почувствовав  его,  я  стараюсь  проснуться и
привести  себя  в  состояние   бодрствования  с   тем,  чтобы,  как   только
конструктивная идея появится, немедленно сделать соответствующую заметку и в
будущем воспользоваться ею.
     5. Рождение.  Здесь моя аналогия утрачивает свою силу, ибо в отличие от
рождения даже самого чудесного ребенка рождение по-настоящему хорошей идеи -
это  в  высшей степени приятное ощущение{17}.  Новые идеи, по крайней мере в
моей практике, никогда не  достигают поверхности сознания  в разгар "родовых
схваток":  это  случается совершенно неожиданно и  значительно позже, обычно
непосредственно перед засыпанием - или пробуждением. Иногда решение проблемы
приходит, когда  я  в  полном расслаблении  занимаюсь  сравнением протоколов
экспериментов или  работаю с  микроскопом  за лабораторным столом.  Впрочем,
самая  нужная  идея  рождается  порой  совсем   неожиданно  и  за  пределами
лаборатории:  в  театре,  при  чтении  интересного  романа  или  наслаждении
музыкой. Может показаться существенным и тот факт,  что в более молодые годы
хорошие идеи нередко  приходили ко  мне во  время пеших  прогулок от дома до
гаража;  но с  тех  пор,  как я  свалился с дерева  и  приобрел  болезненный
травматический артрит,  ни одна полезная идея не посетила меня, так сказать,
"в  вертикальном положении". Я упоминаю это обстоятельство потому, что,  как
мы увидим в дальнейшем, все исследователи творческой деятельности согласны с
тем, что любая боль мешает подсознательному мышлению.
     После интуитивного  озарения обычно наступает ощущение полного счастья,
радости  и облегчения.  Вся накопившаяся  усталость и фрустрация предыдущего
периода  - периода собирания  фактов и их  вынашивания - сразу  исчезает. На
смену приходит чувство совершенного благополучия  и  наполненности энергией,
которое создает у нас - по крайней мере на время -  впечатление, что нам и в
будущем любая задача по плечу. Возникает желание - у меня, во всяком случае,
- с  криком "Эврика!" броситься рассказывать  всем о своем успехе. Я  всегда
бываю  страшно  огорчен, если,  наткнувшись на  что-нибудь  стоящее  на  мой
взгляд, не нахожу вокруг никого, кто бы мог оценить значение моей находки. С
гордостью могу сказать, что никогда не  поддавался этому  побуждению с такой
силой, как Архимед, голым ринувшийся на улицу прямо  из ванны. Правда, я  не
открывал ничего, столь же  значительного, как закон удельного веса, и потому
не  вполне  уверен,  что  смог  бы противостоять  такому  же искушению. Если
поддаться  желанию  провозгласить "Эврика!", то это принесет удовольствие  и
успокоение,  но тем  не менее  такое  желание следует держать  под  разумным
контролем; даже  если  искушение не так  велико, чтобы  гнать  нас не вполне
одетыми  на  поиски  аудитории,  оно   все  же  может  вынудить  нас  отдать
недостаточно проверенный материал для публикации.
     После того как потребность поделиться нашим вновь обретенным сокровищем
исчерпает себя, настроение может измениться коренным образом. Первоначальное
радостное  чувство  постепенно  убывает,  незаметно  переходит  в  привычную
повседневность, и  наступает  ощущение  разочарования. Все, что мы  делаем в
настоящее время, кажется  нам таким пустяком в сравнении со  значительностью
предыдущего  открытия,  что  это чувство  может  перерасти  даже  в  тяжелую
депрессию.  Я знаю  нескольких ученых, которые время от  времени  переживают
маниакально-депрессивные периоды такого рода.
     Любопытно,  что  многие  ученые до конца своих  дней помнят  даже самые
мелкие, не имеющие отношения к делу  подробности, связанные  с их  открытием
(например, место, где они стояли, или кто при этом присутствовал), хотя в то
время голова  их была, по-видимому, целиком занята  анализом  стоящей  перед
ними  задачи.  Чарльз  Дарвин,  вспоминая  момент, когда его осенила идея  о
решающем влиянии  естественного отбора на эволюцию, писал: "Я точно помню то
место  дороги,  по которой я проезжал в карете, где,  к моей радости, ко мне
пришло  в  голову  решение  проблемы" [7,  с. 129].  Не  многим из нас  дано
испытать  чувства,  сравнимые по драматизму с чувствами Дарвина, но я могу с
точностью  сказать,   где  и   при   каких  обстоятельствах  в  моем   мозгу
выкристаллизовались мои  куда менее далеко идущие идеи относительно стресса,
кальцифилаксии  и  профилактики   некрозов  сердца  химическими  средствами,
поскольку именно эти идеи были основными достижениями моей научной карьеры.
     6.  Обследование.  Когда  рождается ребенок,  мы  немедленно  выясняем,
насколько он  жизнеспособен  и не страдает ли  уродствами. То же относится к
идеям, рожденным нашим разумом.  Как только новорожденная идея  возникает из
подсознания,  она должна  быть обследована  и проверена  путем  сознательных
рассуждений  и   логически  спланированного   эксперимента.  Подсознательная
интуитивная  логика  не может  быть предметом  проверки,  регулирования  или
обучения,  поскольку  подсознательное  недоступно  сознанию  и  не  обладает
видимой логикой. Но  наше интуитивное мышление должно подвергаться проверке,
а его ошибки - исправлению на уровне осознаваемого.
     7. Жизнь. После того  как новая  идея надлежащим  образом  проверена  и
найдена жизнеспособной, она  готова к  жизни, то есть к  использованию.  Все
открытия, заслуживающие этого названия, имеют теоретическое приложение в том
смысле,  что способствуют познанию, но определенное внимание  всегда  должно
уделяться и возможным практическим приложениям.

     Обучаемость.  Как лучше всего стимулировать интуитивное мышление? Можно
ли научить ему? Несомненно,  это вопросы величайшей практической значимости,
но понять,  как  помочь  интуитивной  подсознательной  умственной  работе  с
помощью сознательного регулирования ее  механизма, довольно трудно. И все же
я  твердо  убежден,   что   здесь,  как  и  в  целом  ряде  других  аспектов
исследовательской  работы,  многому  можно  научиться  на  опыте.  Уже  само
применение  наблюдений,  относящихся  к  тем  факторам,  которые,  по нашему
мнению, помогают или мешают творческому мышлению, может  оказаться полезным,
даже если нам и не понятен механизм действия этих факторов. Процесс, который
должен автоматически продолжаться в  подсознании, тоже может быть "запущен в
ход" благодаря сознательно рассчитанному усилию.
     В то время как законы  интуитивного мышления не поддаются сознательному
анализу и использованию, а непосредственное обучение им невозможно, продукты
интуитивного   мышления  должны   проверяться,   имеющиеся   в   них  ошибки
исправляться, но на уровне осознаваемого. Здесь уместна аналогия с подводной
лодкой,  которая работает  под  водой,  вне  досягаемости,  но  периодически
всплывает на  поверхность  для  осмотра и ремонта. Так же  обстоит дело и со
многими другими  видами деятельности.  Красноречию, игре в теннис,  живописи
или музыке можно учить -  по крайней мере  способных людей,-  и правильность
действий при занятиях такого  рода может сознательно контролироваться,  хотя
во   всех   этих   областях  стереотипы  мышления  и   действия,  дабы  быть
эффективными,  должны  стать  подсознательными  и  автоматическими.   Уоллес
говорит по  этому  поводу: "Процесс изучения какого-либо искусства, даже для
тех, кто имеет превосходные природные  данные, должен быть более осознанным,
чем занятие этим искусством" [37].
     Исследование  бессознательного  мышления,  пусть  даже  доступными  нам
сейчас  примитивными,  косвенными  методами,  безусловно,  стоящее  дело.  В
глубинах  нашего  разума запасено столько  же  умственной  энергии,  сколько
энергии физической хранит атомное ядро. К счастью, некоторые ученые взяли на
себя   труд  исследовать  факторы,  способствовавшие  или   препятствовавшие
развитию их  интуитивного  мышления  (Грэм  Уоллес, Анри  Пуанкаре,  Альберт
Эйнштейн, Шарль  Рише). Объединив  их  опыт с  самоанализом (что  и является
целью этой книги), можно многому научиться.
     Благоприятствующие  факторы. Ясно формулируйте свои вопросы. Во-первых,
проблема должна  быть  точно  определена. Хотя и  говорится, что  "в  хорошо
заданном  вопросе  уже  содержится половина  ответа",  но в  фундаментальных
исследованиях подчас трудно, если вообще возможно, сформулировать проблему в
точных  терминах  при  ее  первом  появлении.  Например,  в  ходе  работ  по
кальцифилаксии  вскоре  стало  очевидным,  что  избирательная  кальцификация
какого-либо органа достигается благодаря действию некоторых агентов. Но я не
мог формулировать свои вопросы более  точно, чем таким образом: "Какого рода
агенты  должны тут  действовать?"  или: "Почему некоторые  сочетания агентов
вызывают  кальцификацию?" Эти вопросы  в  практическом отношении не особенно
полезны -  для  этого они  недостаточно  точны. Только  после  эмпирического
испытания  множества  агентов по одному  и  в  сочетаниях (в более или менее
случайном   порядке,  хотя,   надо  полагать,  руководствуясь  неосознанными
мотивами),  стало  возможным  задавать  более  точные  вопросы  относительно
вероятной  классификации  по  группам  вызывающих  данное  явление факторов.
Вопросы приняли следующий вид: "Может быть,  некоторые агенты лишь  повышают
чувствительность организма  к другим агентам?", "Не  ускоряют  ли  некоторые
агенты  кальцификацию  только  после  повышения чувствительности  с  помощью
других  агентов?",  "Имеет  ли  значение точная временная последовательность
применения  различных групп агентов?"  Такие формулировки имели уже  большее
практическое  применение;  они  оказались  пригодными  для экспериментальной
проверки и привели к следующим трем фундаментальным выводам:
     а)  некоторые  агенты  являются "сенсибилизаторами":  они лишь вызывают
восприимчивость местных тканей к  кальцификации благодаря своему воздействию
на  кальциевый  обмен  в  целом;  среди  них  -  производные  витамина  D  и
паратиреоидный гормон;
     б) другие  агенты  являются  "побудителями": после  сенсибилизации  они
провоцируют  кальцификацию  в  тех  местах,  к которым  они  непосредственно
приложены  или куда  попадают, будучи введенными в ток крови; многие  (но не
все) из этих побудителей представляют собой соли металлов;
     в)   между  применением  сенсибилизатора  и  побудителя  должен  пройти
некоторый "критический" период времени.
     В  литературе по  интуитивному мышлению справедливо делается  акцент на
точной формулировке вопросов  в  качестве первого шага, но,  как  показывает
предыдущий пример,  проблема может  и не поддаваться точному формулированию,
пока  не будет  накоплено  достаточно  данных. Ясному  определению  проблемы
должен   предшествовать   сбор   фактов   в  виде  оригинально   построенных
экспериментов  и  внимательного  изучения  соответствующей  литературы.  Эти
поиски  обычно  мотивированы  какой-либо  интригующей идеей или наблюдением,
которое  сначала, будучи  осознанным, может лишь возбудить наше любопытство.
Таким образом,  сама  проблема  побуждает  пас более или  менее  эмпирически
"копать вокруг", руководствуясь лишь подсознательным инстинктом, до тех пор,
пока не наберется достаточно фактов для формулирования определенной проблемы
в отчетливых терминах.
     Помогайте себе направлять  свои мысли. Когда  уже более или менее точно
установлено, что мы  ищем, вновь можно многого добиться за счет сознательных
усилий. Можно собрать  больше  материала  экспериментальным  путем  и изучая
литературу по родственным областям, можно размышлять о проблеме, не позволяя
нашему  вниманию  отвлекаться. Такому сосредоточенному размышлению  способна
существенно помочь разного  рода деятельность, служащая как бы скелетом, или
каркасом,  для   соответствующих  мыслей.  Высидеть  в  течение  длительного
времени,  сосредоточившись  на  одном  и  том  же  предмете,  очень  трудно.
Наблюдение хода эксперимента, например изучение протоколов,  гистологических
срезов и  других материалов, относящихся  к изучаемой  проблеме,  не  только
фиксирует на них наше  внимание, но и  приводит  к дополнительным  находкам,
которые могут способствовать вызреванию идей. То же можно сказать и о чтении
статьи или книги, посвященной  какому-либо аспекту  изучаемой проблемы,  и о
последующем  просмотре имеющихся  в них ссылок, которые не только направляют
наши мысли, но  и  связывают их с опытом коллег,  работающих над аналогичной
тематикой в различных странах и в различные временные периоды.
     Обсуждайте ваши идеи с другими. Возможно, наиболее плодотворным внешним
стимулом к творческому мышлению является прямой контакт с другими учеными. В
этом  случае  предпочтительна форма  неофициальной  дискуссии,  причем лучше
всего ограничиться  очень небольшой группой людей, состоящей из двух-четырех
специалистов,  которые  симпатизируют  друг  другу  и  интересуются  той  же
проблематикой. Большие группы имеют тенденцию  к формализации и ограничивают
возможности  своих   членов.  Более   того,  любой  случайный   человек,  не
разбирающийся  в  обсуждаемой  проблеме,  но  пытающийся  привлечь  к   себе
внимание,  способен   испортить   дело,   проявив,   предположим,   излишнюю
агрессивность в  споре.  Особенно неприятно,  если такой участник  дискуссии
хочет во что бы то ни  стало отстоять свой приоритет  или продемонстрировать
свои  ораторские  способности.  Наиболее   продуктивной   формой   дискуссии
являются, на мой взгляд, не регулярные запланированные семинары, а случайный
обмен идеями между людьми, которым довелось вступить в общую беседу о чем-то
занимающем их ум.
     У час  в  институте мы  также стараемся стимулировать  мысль вынесением
нерешенных проблем на ежедневные патологоанатомические дискуссии - "мозговые
штурмы".  Я  заметил,  что  не  относящиеся  к  делу  либо  рассчитанные  на
привлечение к себе внимания реплики  реже  всего допускаются  на дискуссиях,
проводимых во  время уик-энда; на последних, как  правило, присутствуют лишь
несколько наиболее заинтересованных людей.
     Другой  хороший  способ  направлять  наши  мысли  в  нужную  сторону  -
объяснять проблему людям, которые с ней  мало  знакомы.  В этом случае мы не
можем рассчитывать  на  значительную внешнюю стимуляцию, но,  поскольку  для
объяснения  предмета  его  приходится  сводить  к самым простым, но и  самым
существенным  аспектам,  мы   будем  вынуждены  переосмыслить  все  основные
положения.
     Стимулируйте мыслительные ассоциации. При размышлении о взаимосвязанных
предметах  иногда   полезно  стимулировать   появление  ассоциативных  идей.
Известно, что ассоциации  стимулируются факторами смежности (кальций в крови
связан с представлениями о  костях и о пище, откуда  он поступает), сходства
(кальций  сходен  с  магнием  -  другим   щелочным  элементом)  и  контраста
(гипокальциемия  противоположна  гиперкальциемии).  Мы  настолько убеждены в
эффекте таких ассоциаций для стимулирования мысли, что все наши библиотечные
каталоги построены по системе сходства и контраста материала.
     Делайте  краткие  записи.  Рискуя  повториться,  позволю  себе еще  раз
подчеркнуть, насколько важно иметь  при себе  записную  книжку  и кратко (но
разборчиво!) фиксировать любые перспективные новые идеи, возникающие в нашем
сознании в результате всех этих  стимулирующих  уловок. Где бы я  ни  был: в
лаборатории, дома, в дороге,-  я постоянно прибегаю к заметкам такого  рода.
Затем  при первой возможности  я составляю  резюме,  из  этих  "телеграфных"
заметок и вкладываю их в одну из многочисленных папок на своем столе. Я веду
записные книжки  по самым различным темам: научные наблюдения, планы лекций,
административные проблемы, материал для будущих статей и книг.
     Откладывайте  в  сторону.   Если   все   усилия,  предназначенные   для
стимулирования  ассоциативного мышления,  не помогают, нет  смысла  пытаться
"вымучить" решение исключительно за счет упорства. В этом случае лучше всего
позволить проблеме  ускользнуть  из  сферы  сознательного  интеллектуального
анализа и дать ей вызреть в  подсознании. На этой стадии следует уйти от нее
в обстановку, обычно  благоприятную  для  творческого  мышления: погулять по
лесу или по берегу моря, поудить рыбу, помузицировать, побыть  в одиночестве
или  просто  поспать. Как  я уже не  раз повторял,  интуитивные идеи  обычно
возникают на грани сознания  в  момент  засыпания или пробуждения. Поэтому я
имею  обыкновение "пробежаться" по моей проблеме  перед самым отходом ко сну
или даже среди ночи, если мне случится проснуться. Всегда, даже ночью, нужно
иметь под рукой карандаш  и бумагу, поскольку ночные  мысли имеют  тенденцию
улетучиваться, не оставляя к утру никаких следов.
     Извлекайте  пользу  даже из напастей. Еще одним  фактором, неоднократно
стимулирующим мое интуитивное мышление - хотя я не стал бы рекомендовать его
для  преднамеренного использования,-  является повышенная  температура тела,
очевидно  потому,  что  она также  создает полубессознательное  состояние. Я
неоднократно  испытывал,   что   особенно  ясно   и   обобщенно  представляю
серьезность  научной  проблемы в  то время, когда лежу в  постели с  высокой
температурой. Я  тут же фиксировал свои представления  в  блокноте, лежавшем
рядом на ночном столике, и иногда идеи, рожденные таким образом, оказывались
полезными. Должен, впрочем,  признаться: нередко решения, представлявшиеся в
моих  горячечных  снах   превосходными,   при   повторном   рассмотрении  по
выздоровлении оказывались абсолютно бесполезными.
     И все же многие открытия исторического  значения были  сделаны во время
болезни.  А. Уоллес,  например, открыл теорию естественного отбора,  лежа  в
корабельной  койке  во  время приступа малярии,  а плохое  здоровье  Дарвина
вынуждало его  проводить большую часть своего  рабочего времени в  состоянии
физического  и  умственного  расслабления.  А.  Эйнштейн,  объявив  о  своем
выдающемся обобщении понятий пространства и  времени, отметил, что эта  идея
пришла к нему, когда он болел и лежал в постели.
     Похоже  что после  достижения  состояния  насыщения  себя  всевозможным
материалом,  необходимым  для  выявления  новой  взаимосвязи,  мы  неизбежно
приближаемся к тому,  чтобы видеть вещи  в подлинной  их перспективе.  Кроме
того,  в  лаборатории  или  кабинете  видимые  стороны  нашего  исследования
(химикаты, микроскоп, экспериментальные животные,  документы, книги) излишне
односторонне   фиксируют   наше   внимание   на  деталях,  что  препятствует
формированию  интуитивного   "скачка",  необходимого  для   выявления  новой
значительной  взаимосвязи. Быть  может, именно поэтому  столь  многие ученые
получали возможность воскликнуть "Эврика?", находясь в  ванной,  постели или
какой-либо иной обстановке, в которой разум чувствует себя раскрепощенным.

     Неблагоприятные   факторы.   Появление   неожиданного  решения  трудной
проблемы наименее вероятно в периоды усталости, напряжения или при отчаянных
сознательных попытках  найти это  решение.  Особенно  неблагоприятны  заботы
административного и личного свойства, а также  необходимость часто прерывать
ход  мыслей.  Ученый должен  научиться строить свой  образ жизни так,  чтобы
защитить себя от влияний, ведущих к творческому  бесплодию,- как  бы ни были
велики  его  профессиональные навыки,  без  этого он  вряд  ли преуспеет.  А
блокируют  творческое мышление следующие  факторы:  умственное  и физическое
истощение,  мелкие раздражения, шум, обеспокоенность домашними или денежными
проблемами, депрессия, озлобленность, работа по необходимости.
     Мало для  кого из добившихся  успеха ученых хобби или другие вненаучные
виды деятельности играют сколько-нибудь заметную роль. Семейные обязанности,
культурные и спортивные  занятия  в  "умеренных дозах", несомненно, являются
стимулами,  но  излишне интенсивные и  отнимающие  много  времени вненаучные
интересы (в особенности политика и бизнес) несовместимы с полным посвящением
себя науке.
     Если попытаться  назвать три крупнейших  помехи  для  творческой мысли,
вызывающие  наибольшее раздражение  и приводящие к самым крупным  провалам в
науке на примере Северной Америки, то я бы упомянул:
     административные  обязанности  со  всеми вытекающими  отсюда  мелочными
проблемами личных взаимоотношений, канцелярской работой и заседаниями;
     преподавание элементарных учебных курсов;
     постоянные визиты посетителей, ассистентов и др., являющиеся следствием
плохой организации  работы, либо  более распространенная и в  равной степени
мучительная боязнь того, что в любой момент вас могут оторвать от работы.
     Эти неблагоприятные факторы частично перекрывают друг друга, но ученый,
сумевший создать для  себя  обстановку, свободную от такого рода смертельных
врагов  оригинальности,  может считать  себя  поистине счастливым.  Лично  я
испытываю  глубокую  признательность руководству Монреальского университета,
обеспечившему мне практически безупречный во всех этих отношениях творческий
климат.




     Гений - это только великая способность к терпению.
     Ж. де Бюффон{18}

     Гений...  следует определять как выдающуюся  способность вовлекать  его
обладателей  в затруднения  всех сортов  и  удерживать  их  там столь долго,
сколько существует гений.
     С. Батлер{19}

     Не существует великого гения без некоторой примеси безумия.
     Сенека

     Великий  разум, без сомненья, Близко с безумьем роднится,  Пределы их и
владенья Тончайшая делит граница.
     Дж. Драйден{20}

     Так  что же такое гений -  трезвое,  спокойное  внимание к деталям  или
необузданное, не поддающееся контролю безумие?
     Слово "гений" имеет массу значений, но применительно к науке, по  моему
убеждению,  его наиболее яркой характеристикой  является  оригинальность.  В
этом отношении он отличается  от таланта, чьи творения могут иногда казаться
более совершенными из-за  большей  безупречности их реализации. На практике,
впрочем,   нелегко   провести  четкое  различие  между   гением,  выдающимся
интеллектом,  талантом  и той степенью  оригинальности, которая  граничит  с
безумием. Причина этого в том, что для создания гениального произведения все
эти качества должны сочетаться в определенных пропорциях.
     Для   зарождения   поистине   оригинальной   идеи  ум  поначалу  должен
освободиться  от  пут  слепого  следования  общепринятым   логике  и  нормам
поведения. Такому  высвобождению способствует "примесь безумия", характерная
для  великих  нонконформистов  и  мечтателей.  Считается,  что  лучшие  идеи
возникают на грани сознания - в полусне или в болезненной лихорадке.
     И в то  же время даже самая оригинальная идея окажется бесплодной, если
мы не  воспримем  и не  зафиксируем  ее  значение  в терминах  сознательного
интеллекта.  Такая   идея,  рожденная  в  воображении   сумасшедшего  или  в
сновидениях нормального  человека,  нуждается  в переводе  на язык сознания.
Гений должен быть способен не только к видениям, но и к отчетливому описанию
этих  видений.  В  науке этот процесс  отчетливого  описания, эта работа  по
переводу на язык логически  и экспериментально проверяемых  понятий  требуют
таланта, навыка и бесконечного внимания к деталям.
     Необходимость  этих  качеств  для  эффективной творческой работы  также
может  служить  объяснением  некоторой  эксцентричности  гения.  Необычайное
развитие   определенных   умственных   способностей   нередко   приводит   к
формированию односторонней,  всецело ограниченной размерами  своей профессии
личности,  которая  может  восприниматься  как  "перекошенная", нетерпимая к
слабостям других, страдающая недостатком культуры, а порой  даже аморальная.
И все  же гений в науке обладает  высокой культурой и придерживается строгой
морали, хотя  и не обязательно в общепринятом смысле этих слов.  Необычайная
оригинальность   мысли   и   независимость   суждений   превращают   его   в
нонконформиста:  он   чувствует   отвращение   к  общепринятым   стандартам,
установленным,   как  правило,   людьми,  мало  компетентными   в  оценочных
суждениях. Строгий моральный кодекс формирует  в нем сильно развитое чувство
долга.  Присущий ему новаторский  подход способен  проявиться,  например,  в
гражданском неповиновении,- но кто по считает себя  достаточно компетентным,
чтобы поправлять гения?
     Гений действует на  сверхлогическом уровне,  что выражается в огромной,
хотя  и  бессознательной способности  определять  статистическую вероятность
события на основе  инстинкта и  прошлого  опыта.  А эта  способность в  свою
очередь  выражается  в  постоянстве, с  которым он это  делает.  Его главная
функция  - постигать вещи,  слишком сложные для охвата  чистым  интеллектом.
Гений  переводит  непознанное  на  достаточно  простой язык,  доступный  для
поэтапного анализа с помощью логики и в рамках обычного интеллекта.
     Со  стороны  интеллекта  было бы самонадеянным  преуменьшать творческий
гений  инстинкта. Индейцы,  создавшие  язык  и  культуру  майя,  были  не  в
состоянии  столь же хорошо  их анализировать,  как  это  делает  современный
антрополог.  Не познания  в эмбриологии,  а  другие способности, значительно
менее связанные  с интеллектом, позволяют  женщине создать  ребенка. Что  же
касается Казановы, то он не был специалистом в области половых гормонов...
     Инстинкт  и  логика  находятся в  постоянной  конфронтации: то,  что мы
хотим, как правило, нелогично, а что логично - того нам зачастую не надо.
     Инстинкт и  интеллект попросту презирают друг  друга, ибо  один  только
делает,  а  другой -  только знает  почему.  Мосты  же  между  инстинктом  и
интеллектом, чувством и логикой удается навести только гению.




     Интеллект  обычно  определяется   как   способность  к  пониманию.  Это
возможность  использовать  осознанные  знания   при  столкновении  с  новыми
ситуациями  и  предвидеть   возникновение  проблем   благодаря  абстрактному
осмыслению взаимосвязей, выраженных в символах. Уровень развития  интеллекта
зависит  от  остроты  ума,  проницательности,  способности  к   объективной,
сознательной оценке наблюдений.
     Подобно воображению и интуиции, интеллект работает путем комбинирования
фактов, хранящихся в памяти, но делает он это не  с помощью причудливой игры
в  потемках бессознательного, а с  помощью  логического анализа  лри  полном
свете  сознания.  Его  основными  инструментами  являются:  логика,  память,
способность  к   концентрации  внимания  на  одной  проблеме   вместе  с  ее
логическими следствиями, способность  к абстракции, пренебрежение ко  всему,
что не относится к делу.



     Словари определяют  логику  как науку, которая имеет дело с  критериями
правильности   мышления   и   доказательства.   Логика   включает   принципы
определения, классификации,  правильного употребления терминов,  предикации,
доказательств и  рассуждений  вообще. По  существу,  это система  формальных
принципов,   используемых   при   решении   проблем,   которые  подвергаются
сознательному интеллектуальному анализу.
     Как мы  увидим в дальнейшем (с. 247), лишь  в редких случаях можно дать
достаточно строгие определения биологическим понятиям,  классифицировать или
интерпретировать  их,  последовательно применяя  законы  логики. Кроме того,
даже  простейшие  проявления  жизни  настолько  сложны,   что  исчерпывающий
логический    анализ   всех   их    составляющих   практически   невозможен.
Следовательно, биологическое  исследование  должно полагаться  в основном на
чисто   инстинктивные   или   интуитивные  оценки.  В   приобретении  такого
инстинктивного чувства применительно к биологии нам  гораздо больше помогает
опыт,  нежели  сознательно  направляемое  применение  логики.  К  сожалению,
инстинкт -  это  нечто  слишком  неопределенное,  а  логика -  нечто слишком
медлительное для  исследования  природных явлений. Таким образом, после того
как  действенность  целых  мыслительных структур доказана  экспериментально,
вместо  формальной  логики   мы  должны  использовать   некую  разновидность
"полуинтуитивной логики" (с. 250),  в которой фигурируют эти структуры.  Нам
нет необходимости расчленять  такие структуры либо  проверять обоснованность
их отдельных компонентов всякий раз, когда  мы ими пользуемся. Мы приучаемся
доверять  им  и обращаться с  ними как с  целым,  чтобы с их помощью строить
умозаключения по аналогии.
     Мало того, что применение законов формальной логики  ко всем проблемам,
с которыми  мы  сталкиваемся  в биологической лаборатории,  необязательно  и
непрактично, чрезмерное увлечение ими фактически блокирует значительно более
плодотворные свободные ассоциации нашего бессознательного разума, на которые
мы  должны  в  основном  полагаться  при   образном   интуитивном  мышлении.
Не-логическое (т. е. не основанное на логике) не обязательно нелогично - оно
представляет  собой  наиболее  эффективный  подход  к  открытию  того,   что
непредсказуемо логическим путем.
     По  этим  причинам творческая мысль  в области  биологии  в значительно
большей  степени является искусством, чем  чистой  наукой.  Соответственно в
дальнейшем  мы  скажем  лишь  несколько слов  о  той  незначительной пользе,
которую мы  в  состоянии  извлечь из  формальной  логики (с.  250).  Гораздо
больший  акцент  мы  делаем  на  полуинтуитивной  логике  -  конструировании
плодотворных теорий из  понятийных элементов, которые  не  могут быть строго
определены,  а  также на удивительно  наивных заблуждениях (с. 285), которые
искажали и продолжают искажать мышление даже величайших биологов.
     Эти  заблуждения, такие  очевидные  при  взгляде  со стороны,  остаются
наиболее постоянными и опасными причинами ошибок в повседневной лабораторной
практике.  Разумеется, они обусловлены ошибками в формальной  логике, но эти
ошибки,  будучи однажды отмечены,  очевидны для каждого. Трудность состоит в
том, что недостаточно просто  понимать, нужно видеть эти ошибки. А чтобы  их
избежать,  мы  должны  знать больше  не  о  логике, а  о психологии научного
исследования. Нужно научиться не создавать психологических преград -  "белых
пятен", препятствующих нашему  видению  проблемы  в правильной  перспективе,
если  мы  приблизились  к  ней  с  неверной  точки  зрения.  На мой  взгляд,
анализируя не воображаемые примеры, а реальные ошибки,  допущенные в научной
практике,  мы  развиваем  в себе  инстинктивную  осторожность в  аналогичных
ситуациях, которые складываются в нашей повседневной работе. Таким  образом,
мы узнаем об искусстве биологической научной  мысли значительно больше,  чем
если бы  мы  систематически изучали  абстрактные  каноны  формальной логики.
Здесь мы просто наметили проблему; в дальнейшем  нам потребуется целая глава
для детального описания того, "Как мыслить?" (с. 247).




     Память у меня обширная, но  неясная: ее хватает настолько, чтобы  путем
смутного  напоминания  предупредить меня, что  я наблюдал  или читал что-то,
противоречащее выводимому мною заключению или, наоборот, подтверждающее его,
а  через  некоторое  время  я  обычно  припоминаю,  где  следует искать  мой
источник. В одном  отношении моя память настолько слаба, что  я никогда не в
состоянии  был  помнить  какую-либо отдельную дату или  стихотворную  строку
дольше, чем в течение нескольких дней.
     Ч. Дарвин

     Опыт - это название, которое каждый дает своим ошибкам.
     О. Уайльд

     Память в отличие от актов вспоминания - это совокупность того, что было
познано. Это  хранилище фактов. емкость которого зависит преимущественно  от
опыта  и, следовательно,  в  большой степени от  возраста. Важным  свойством
этого  хранилища  является  то,  что  составляющие  его  воспоминания  можно
вызывать к жизни посредством сознательных либо бессознательных ассоциативных
механизмов.
     О роли, которую играет память в творческом мышлении, мы уже  говорили в
связи с воображением, интуицией и логикой - ведь все они работают с данными,
вызываемыми из памяти. Но при  наличии определенной врожденной способности к
сбору  фактов  посредством  наблюдения  накопление   полезного  опыта  будет
зависеть от  нашей способности хранить их (в мозгу или в виде записей) и, по
желанию, получать к ним доступ. Молодой человек, полный идей  и  способный к
воображению, но не  имеющий достаточного опыта работы в лаборатории, склонен
недооценивать   значение  опыта.  Немолодой  же  ученый   легко   впадает  в
противоположную  ошибку,  беспрестанно подчеркивая  значение  опыта,  чем  и
доводит до  белого каления  своих младших по  возрасту  коллег, которые,  по
крайней мере в этом отношении, не могут с ним сравняться.
     Но кроме запоминания данных, память  делает с фактами еще кое-что: они,
по-видимому, "дозревают" в ней. Ночной сон или, еще лучше, годы опыта делают
наши  факты  "выдержанными", как  с  годами  делается  выдержанным вино. При
первом  рассмотрении одни  аспекты какого-либо  наблюдения преувеличиваются,
другие  недооцениваются;  но в "великом  миксере"  подсознания  идеи вновь и
вновь сталкиваются  друг  с  другом до  тех  пор, пока  их  острые  края  не
отполируются и  каждый элемент их  не  уляжется  на свое  место. Наблюдение,
сделанное давно и наполовину забытое или же бессознательно подавляемое из-за
его  неприятного характера, выдвигается  на передний  план,  в то  время как
новизна самых последних и очарование самых долгожданных находок меркнут.
     К  сожалению,  с  возрастом  мы  накапливаем  не  только  факты,  но  и
предрассудки,  и  обычно  (но  не   всегда)   по   мере  возрастания  знаний
оригинальность   и  способность  к  интуиции  уменьшаются.  Слишком  большое
количество информации мешает независимой свежести восприятия Как мы увидим в
дальнейшем, в  науке  некоторые вещи  лучше  удаются  молодым, а некоторые -
пожилым ученым (с. 138).



     Способность  сознательно  направлять  внимание на какой-то один предмет
существенно важна для абстрактного мышления и для использования памяти.
     Мы  видели, что перерывы  в работе  и скука  являются главными помехами
сосредоточенности.  Любой случайный шум или  резкое движение  может прервать
ход наших мыслей, но  даже  и  в отсутствие  таких внешних  помех  наш разум
проявляет  тенденцию к блужданию, если мы мало преуспеваем в своем анализе и
наши собственные интеллектуальные усилия навевают на нас тоску.
     Помню, как в мою  бытность студентом-медиком в Праге, я подчас придавал
способности к сосредоточению такое большое значение,  что нередко специально
для тренировки занимался в трамваях или в шумных кофейнях. Упражнения такого
рода  чрезвычайно  полезны,  так   как   искусство  сосредоточенности  может
совершенствоваться   с  практикой.   И  все  же  полное  совершенство  здесь
невозможно.  Вот почему теперь  я принимаю  - и  советую делать  то же своим
коллегам - тщательные меры предосторожности против отвлечений.
     Когда я  обдумываю  проблему, требующую  большой  сосредоточенности,  я
вешаю  на  дверь  табличку "Просьба  не беспокоить" и прошу телефонистку  на
коммутаторе  отключить мой телефон. Если  в коридоре слишком шумно,  я  даже
прибегаю  к ушным затычкам.  Эти предосторожности защищают меня от множества
помех,  но,  к  моему  большому  сожалению,  части  из  них все  же  удается
прорваться через мою старательно  возведенную баррикаду. Вот почему я  люблю
работать рано утром, когда рядом никого нет.
     Несколько   сложнее   противостоять   помехам,   вызванным  внутренними
факторами.   В  этом   отношении   полезно  составить  нечто   вроде  плана,
направляющего  наши  мысли, о чем  писалось выше  (с. 84). Перечень основных
подлежащих  рассмотрению  вопросов, либо  примерная  схема наиболее  сложных
взаимосвязей поможет удержать ваше внимание в требуемом русле.




     Способность  следить за  длинной  цепью  чисто отвлеченных  идей  очень
ограниченна у  меня, и поэтому я  никогда  не достиг бы, успехов в философии
или математике.
     Ч. Дарвин

     Абстракция  -  это дар  пренебрежения несущественным в  целях выделения
существенного, способность творческого отбора  общих характеристик  явлений,
как  правило,  с  помощью  символического   мышления.  Абстрактное  мышление
особенно  важно в математике (в том числе статистике), логике и в любом виде
обобщающей или объединяющей деятельности.
     Пренебрежение несущественным  предусматривает определение  того, что  в
рамках  нашей  проблемы  представляется существенным. Например,  размышляя о
гормонах  яичников,  мы  должны  для  начала  определить  их   отличительные
особенности и  только потом мы сможем понять, что  они собой представляют. В
биологии,  например, сформулировать  точные  определения  крайне  трудно.  В
соответствии  с  определением  "гормонами   яичников   называются   гормоны,
выделяемые  яичниками",  эстрадиол  и  прогестерон  должны  принадлежать   к
названной категории. Однако  эти вещества выделяются также  плацентой и даже
могут  быть   синтезированы   в  лаборатории.   Если   они   обязаны   своим
происхождением не яичникам, являются ли они гормонами яичников? А как насчет
андрогенов?  Это  гормоны  семенников, но в  малых  дозах они  выделяются  и
яичниками. Будут  ли они в этом случае гормонами яичников? А если да, то как
насчет андрогенов,  вырабатываемых семенниками? Гормоны  яичников могут быть
еще  охарактеризованы их типичным действием на  женские половые  органы.  Но
некоторые  синтетические  соединения, не обязательно  в химическом отношении
родственные естественным гормонам яичников,  оказывают  аналогичное действие
на женские гениталии.
     Эти   простые   примеры   являются   типичной   иллюстрацией  сложности
абстрактного мышления в биологии: элементы биологической  мысли недостаточно
определены и  взаимно  перекрывают  друг друга. Один и тот  же гормон  может
считаться  гормоном  яичников,  плаценты  или  семенников,  а  искусственные
препараты  могут так близко имитировать  естественные гормоны  яичников, что
выделение их в отдельную категорию порой выглядит произвольным. И вот тут-то
в  качестве   мерила   степени  важности   должно  выступить  несуществующее
символическое понятие,  заменяющее реальные объекты. Этот символ - например,
понятие гормона, характерного  только для яичников,- существует только у нас
в голове, и его важность определяется тем, насколько он приближается к самой
сути представляемой им группы понятий.
     Трудности  такого  рода ни в коей мере не  ограничиваются биологией или
даже  наукой в целом.  Ими  изобилует наша  повседневная жизнь. Скажем,  кто
такой канадец? Это человек, который родился в этой стране. А как быть,  если
его родители  были  иностранцами,  оказавшимися  там проездом? А  как насчет
родившегося за границей младенца,  который в возрасте нескольких недель  был
привезен  в Канаду и никогда не видел другой  страны?  Будет ли он канадцем,
если никто и никогда не  ходатайствовал о его канадском гражданстве? Из чего
в  этом  случае следует исходить: из национальности, домашнего адреса или же
буквы закона о гражданстве?
     Во всех подобных  случаях  мы  должны создавать искусственные  символы,
состоящие из наиболее важных, с нашей точки зрения, характеристик. Мы можем,
например, сказать, что гормонами яичников называются гормоны, вырабатываемые
яичниками,  а  канадец  -  это  человек,  живущий в  Канаде.  Такие  символы
сохраняют свою ценность в качестве абстрактного критерия классификации, даже
если  в реальности ни одна  группа объектов им в точности  не соответствует.
Эстрадиол является гормоном яичников, даже  если это же вещество может иметь
какое-либо  иное  происхождение,   так  же  как  канадец  не  теряет   своей
национальности,  если проводит выходные  дни в Нью-Йорке. Позже мы поговорим
более подробно о теории  и практике создания понятийных элементов в биологии
(с. 252). Здесь же я хочу лишь подчеркнуть присущие ей ограничения.
     В математике ситуация совершенно иная. "Два"  - это "два", "двойки" же,
которая не укладывалась  бы должным образом  в  это понятие,  не существует.
Такая точность доставляет большое интеллектуальное удовлетворение, в связи с
чем  предпринимались  бесчисленные  попытки  проанализировать  биологические
проблемы с  точки зрения математики. Не подлежит сомнению, что математика, и
в особенности статистика, находит свое применение в науках о живой природе.
     Невозможно  представить себе современную  нейрофизиологию,  биохимию  и
биофизику  вне  строго  количественного  подхода.  В  последнее  время   ряд
величайших достижений в изучении жизни был осуществлен благодаря чрезвычайно
сложным и связанным с точными измерениями методам молекулярной биологии. Под
впечатлением  этих  захватывающих  достижений  в  настоящее  время  делается
необоснованный, с моей точки зрения,  акцент на возможности  и необходимости
сведения всех биологических явлений к математическим уравнениям.
     Многие  одаренные молодые  биологи  просто  лишены  таланта или вкуса к
применению  математики.  Не  следует  их  обескураживать  в  этом отношении.
Математические  способности   имеют   несомненную   ценность,   особенно   в
биологическом  исследовании,  дающем  точно  измеримые  результаты. Но,  как
правило, участвующие в биологических реакциях элементы имеют слишком большой
разброс, чтобы их  можно было анализировать таким путем; кроме того, сначала
следует открыть  явление. а уж потом обсчитывать поведение его составляющих.
Посредством математического  подхода вряд ли можно открыть новые типы клеток
или  такие  биологические   явления,  как  эволюция,   иммунитет,  микробное
происхождение   болезней  или  антибиотическое  действие  плесени.   Великие
открытия Дарвина,  Гарвея, Кеннона, Павлова, Флеминга, Коха и  многих других
были сделаны благодаря гению иного рода.
     В  свете современных  тенденций я считаю за  благо ясно сказать об этих
фактах.  Абстрактное  символическое  мышление  незаменимо  при  всех  формах
классификации и обобщения в биологии, и на практике просто нет необходимости
- да и,  как  правило,  возможности - применять к  нему чисто математические
методы.




     Под этикой мы  подразумеваем принципы, управляющие нашим поведением. Мы
используем  этот  заголовок  для обсуждения проблемы  честности перед  самим
собою,  достигаемой  благодаря  самонаблюдению   и  самоанализу.  Умственная
самодисциплина, то есть контроль над своим разумом с  целью обеспечения  его
наиболее   эффективной   деятельности,  и   физическая   самодисциплина   --
поддержание  здорового образа жизни -  не  менее  важны,  но этими аспектами
поведения мы займемся позже.




     Не по грехам моим судим буду, но по работе рук моих.
     Р. У. Сервис{20а}

     Решись же быть самим собой
     И знай - расстанется с бедой
     Тот, кто найдет себя.
     М. Арнольд{20б}

     Ученые как общественная группа имеют достаточные основания беспокоиться
о  своей  этике, своем  отношении к  работе  и  людям. Великий  энтузиазм  и
стремление  достичь совершенства  в  любой области столь всепоглощающи,  что
человек  рискует  превратиться  в  высокоспециализированное  и  направляемое
единой целью  подобие робота. Вот почему для ученого столь естественно время
от времени спрашивать себя, соответствует ли его поведение поставленной цели
и, что более важно, является ли цель достойной прилагаемых для ее достижения
усилий.
     Всякий раз,  принимаясь  за эти заметки  и занимаясь самонаблюдением  и
самоанализом  такого   рода,  я   прихожу  к   выводу,  что  составление   и
редактирование заметок является своего рода "Великим Очищением".  Готовясь к
этой работе, я прочел биографии и дневники других ученых, книги, доставившие
мне когда-то особое удовольствие. При этом я  заметил (и это обнадеживает  и
успокаивает  меня),  что все наши  тревоги и слабости  в  целом аналогичны и
потому  естественны. Если  мои  заметки  попадут  в руки  молодого  ученого,
надеюсь, это чувство передастся и следующему поколению.
     За  сею  свою  жизнь  я  знал  только  двух  людей,  которые  намеренно
фальсифицировали   свои   научные   результаты,   и   оба   были  психически
неуравновешенными.  Разумеется, болезням  того  или  иного  рода  подвержены
представители  всех  профессий.  Но  чаще  всего   именно  молодой   ученый,
поддавшись  своему  энтузиазму, желает  видеть  только  то. что хочет. Здесь
следует  быть  начеку.  Самая замечательная теория  рискует  быть  разрушена
одним-единственным  неудачным фактом  - дело только  в том, чтобы  правильно
воспринять  эту  ситуацию.  По  своему  опыту  знаю,  что,   если  теория  в
действительности  была  замечательной,  ее  разрушение  превращается   не  в
поражение,  а  в  победу. Она  приведет к еще более плодотворной  теории, не
нанося ущерба фактам позитивным, которые как раз и выявились  на фоне фактов
обесцененных.
     Во  всем,  что  касается  работы,  ученые  стараются  быть  скрупулезно
честными перед  самими собой, но что касается поведения  в социальном плане,
то, как правило, они  не стремятся выявить его истинные причины.  Это весьма
прискорбно, ибо никто не может жить в мире с самим собой, не одобряя мотивов
своего поведения,  а  кроме того, именно  анализ  способен показать, что нам
нечего стыдиться.
     Большинство  ученых  также  совершенно  честны  перед  самими  собой  в
отношении  авторства  своих  открытий.  Трудность  заключается в  том,  что,
интенсивно работая  над  решением  тех или  иных  вопросов,  они тяготеют  к
преувеличению   собственного   вклада   в  сравнении   с   вкладом   других.
Темпераментные ученые - а таких, увы, большинство  - крайне огорчаются, если
остальной  мир  видит  вещи иначе, чем они. И это также  весьма  прискорбно,
поскольку  приводит  к  бесконечной  полемике,  разрушающей объективность  и
убивающей дух науки. Призываю время от времени заглядывать себе в душу - нет
ли  там  следов  этой  язвы:  она  имеет предательскую повадку  прятаться за
почтенной маской "защиты справедливости".
     Если я  вполне  уверен  в  честности  ученых в отношении науки,  то  за
выполнение   ими  этических  стандартов  в   других  аспектах   деятельности
поручиться  не  могу. Я бы не удивился,  если  бы  узнал,  что кто-то из них
схитрил при заполнении  налоговой  декларации и провез через  границу лишнюю
коробку сигар, на досуге пофлиртовал с женой соседа. Разумеется, большинство
из нас не заходят столь далеко, но положа руку на сердце должен признаться в
периодических   угрызениях  совести   по  поводу  моей   расхлябанности  при
исполнении  прямых обязанностей  гражданина,  администратора,  экзаменатора,
члена  комиссий  и   редакционных  советов,  члена  научных  обществ  и  при
заполнении  разного рода  анкет. Понимаете, я не то чтобы пренебрегаю своими
обязанностями  во  всех  этих отношениях, просто,  похоже,  мне  не  удается
накапливать   достаточно   энергии  для   всего   этого.   Оправдывая   свою
неорганизованность, я  пытаюсь убедить себя в том, что восполню все  промахи
за  счет  научной работы, но,  разумеется,  я знаю цену  такому  оправданию.
Проводя целые дни у  себя  в  лаборатории, я порой ощущаю такую  безнадежную
некомпетентность  в  оценке  роли  различных  политических  партий,  что все
газетные комментарии начинают мне нравиться в равной степени. Я понимаю, что
кто-то  должен  руководить  моим  институтом,  направлять  работу  множества
научных обществ, экзаменовать студентов, выправлять рукописи, представляемые
для  публикации.  Я  понимаю  также, что университетом  нельзя управлять без
помощи  различных комиссий, а анкеты печатают для  того, чтобы их заполняли.
Если бы каждый относился к своим обязанностям такого рода столь же нерадиво,
как я,  мы  оказались бы  в  состоянии чудовищного  хаоса, но, к счастью так
поступают далеко не все.
     Такое отношение  можно  расценить как эгоистическое,  и, это, возможно,
справедливо.  Но я подозреваю  что многие люди  предпочли  бы выполнять  эти
обязанности, чем жить жизнью, подобной моей, и, кроме того, мое манкирование
этими обязанностями не приносит обществу больших  потерь. Обычный  довод  "А
если бы  все так делали?!" не столь уж  убедителен.  Я не мог бы  усидеть на
своем месте, если  бы был обеспокоен тем,  что  все  одновременно захотят на
него сесть. К счастью,  мы обладаем различными талантами и наклонностями, и,
быть  может,  совсем не  плохо во  всеуслышание заявить, что  я  хочу делать
только  то,  что  могу  делать  лучше  других. Возможно, такой образ  мыслей
обусловлен  сдвигом   моего  интеллекта  в  сторону  целенаправленности,  но
разрешите мне считать это неизбежным профессиональным заболеванием.  Мы ведь
толкуем  о  честности,  и,  даже  если  весь ход моих рассуждений не  совсем
честен, я тем не менее честно в него верю.
     Возможно,  самая серьезная  этическая проблема,  с которой сталкивается
ученый.- это проблема  последствий его работы.  Всякий раз, предлагая  новое
лекарство, ученый-медик обеспокоен  возможными последствиями  его применения
которые никто  не может предвидеть,  - и все же надо идти на риск. Мало  кто
предпочел бы не  пользоваться достижениями современной медицины. Несмотря на
величайшие предосторожности, побочные эффекты новых лекарственных препаратов
неизбежны, а ведь поначалу каждое лекарство - новое.
     Мы,  биологи,  не  сталкиваемся,  к  счастью,  с  огромными  этическими
проблемами,  перед  необходимостью  решения  которых  оказались  современные
физики{21}.  И  все  же в  заключительной  части  своей  речи при  получении
Нобелевской премии Пьер Кюри с уверенностью  сказал: "Можно себе представить
и то, что в преступных руках радий способен быть  очень опасным, и в связи с
этим следует задать такой вопрос: является ли познание тайн природы выгодным
для  человечества,  достаточно  ли человечество созрело, чтобы извлекать  из
него только пользу? В этом отношении  очень  характерен  пример с открытиями
Нобеля: мощные взрывчатые вещества дали возможность производить удивительные
работы{22}.  Но они же  оказываются  страшным  орудием  разрушения  в  руках
преступных политических деятелей, которые вовлекают народы в войны.
     Я лично разделяю мнение  Нобеля, заявившего, что  человечество извлечет
из новых открытий больше блага, чем зла" [6, с. 187].
     Надеюсь что великий французский  физик был прав.  К  несчастью те,  кто
использует  открытия,  не всегда обладают мудростью их создателей. Но как бы
то ни было, для Homo sapiens было  бы унизительным платить за свое выживание
добровольным невежеством.  Не подлежит  сомнению, что  спасение человечества
следует  искать не  во  мраке  невежества,  а на  светлом  пути  дальнейшего
развития и распространения культуры, знания и просвещения.




     Под контактом  с Природой я  подразумеваю установление  тесной  связи с
явлением Природы, на которое направлено наше  исследование. Мы должны знать,
как  выделять  и воспринимать  его,  как влиять  на  него,  манипулировать и
управлять им по своему желанию, как интерпретировать его значение. Некоторые
практические  аспекты наблюдения,  технические  приемы и  оценки результатов
будут рассмотрены в дальнейшем (с. 221- 246). Здесь же отметим лишь важность
этих  навыков,  составляющих   одно  из  основных  свойств   психологической
структуры личности ученого.



     Наблюдение представляет  собой  пассивную  сторону  нашего  контакта  с
Природой. Мы ничего не  предпринимаем,  а  только наблюдаем.  Обычно  так  и
начинается  исследование,   поскольку,   прежде  чем   что-то  выделить  для
дальнейшего  изучения, мы должны  это что-то увидеть. Здесь все ясно, но сам
процесс наблюдения  содержит несколько ключевых  моментов,  которые  следует
обсудить. Сюда  относятся: составляющие процесса наблюдения,  различие между
видением и открытием, необычайная важность так  называемого "периферического
зрения", тщательность в оценке данных.
     Понятие   "наблюдение"   включает   три   существенно   различных  вида
деятельности: обнаружение, распознавание  и измерение. Под "обнаружением"  я
подразумеваю простое  видение того, что  есть.  "Распознавание" предполагает
восприятие этого  "чего-то"  в  контексте  известного или  неизвестного  нам
ранее,  другими  словами,  мы  включаем  это  "что-то"  в нашу  память;  под
"измерением"  же   имеется  в  виду  количественная  оценка  качества  этого
"чего-то".
     Если я  иду по  улице  и  в рассеянности уступаю кому-то дорогу,  я тем
самым его обнаруживаю; если я вижу, что это Джон, значит, я распознал его; а
если  я отметил, что его рост 1  м 75 см, то я его измерил.  Та же процедура
имеет  место  и  в научном  наблюдении,  что  бы  мы ни  наблюдали:  клетку,
биологическую реакцию или химическое  соединение. Главная путаница возникает
потому, что ученые  часто не различают  этих трех  аспектов наблюдения. Даже
если  вы не  могли не увидеть нечто,  попавшее в  поле вашего зрения, это не
означает,  чти  вы распознали  и  открыли его для  себя. Ученые имеют равные
шансы видеть  вещи:  это в  большей или меньшей  степени зависит  от случая,
который их  нам "подсовывает". Но, как сказал Пастер, "при наблюдении случай
благоприятствует лишь подготовленным".
     Возможно,   ценнейшим   достоянием    ученого   является    способность
распознавать значимость видимых им  вещей. А  для  этого необходима  большая
эрудиция:  память  ученого  должна  быть  обогащена  многим  увиденным  либо
прочитанным, а он сам должен обладать большим талантом связывать увиденное с
конкретными, относящимися к нему воспоминаниями. Лишь таким путем  можно  на
деле что-то открыть.
     Теперь о "периферическом зрении". В одной старой  сказке  три принца из
Серендипа  всегда  случайно обнаруживали вещи,  которые  ранее и  не  думали
искать{23}. Как это у них получалось? По моему разумению, ответ кроется в их
способности  к  "периферическому  зрению".  Она  заключается   в  следующем:
разглядывая то, что вы хотите  видеть, не мешает уголком глаза стеречь и то,
что может появиться неожиданно. Я убежден, что это один из величайших даров,
которым  может  обладать  ученый Мы  же обычно бываем  так  сосредоточены на
предмете исследования,  что  другие,  порой гораздо более важные  вещи  не в
состоянии проникнуть в наше сознание. Как правило, это касается вещей, столь
непривычных для нас,  что они  кажутся нам невероятными.  А между тем именно
невероятное по-настоящему заслуживает  внимания!  Если же  нечто неожиданное
вдруг оказывается истинным,  то в этом случае наблюдение  будет значительным
шагом вперед.
     Известно, с  каким трудом  поддаются  наблюдению  факты,  на которые мы
просто  смотрим,  не  видя  их,  особенно  если   они  возникают  совершенно
неожиданно, а  мы отвлечены каким-либо переживанием. Это хорошо иллюстрирует
следующая поучительная  история. Во время  одного из заседаний конгресса  по
психологии   в  Геттингене  в  зал  ворвался  человек,   за  которым  гнался
вооруженный  бандит.  После короткой  схватки  на  глазах  у  всех  раздался
выстрел,  и  оба человека выбежали  из зала примерно  через двадцать  секунд
после  своего  появления.  Председатель  сразу  же  попросил  присутствующих
записать все что они видели. Втайне от участников конгресса все происшествие
было  предварительно инсценировано,  отрепетировано  и сфотографировано.  Из
сорока  представленных  отчетов  лишь  один  содержал  менее  20  %  ошибок,
касающихся основных фактов  происшествия,  14 отчетов имели от 20 до 40 %, а
25 отчетов - свыше 40 % ошибок. Любопытно, что  более чем в половине отчетов
около 10 % подробностей были чистейшей выдумкой. Результаты оказались весьма
удручающими,  несмотря  на  благоприятные  условия -  все  происшествие было
коротким и достаточно необычным, чтобы привлечь к себе внимание, подробности
его были немедленно зафиксированы  людьми, привыкшими к научным наблюдениям,
причем никто из них не был вовлечен в происходящее. Эксперименты такого типа
нередко проводятся психологами и почти всегда дают сходные результаты.
     Особого внимания заслуживает также  то, что ошибки наблюдения не только
не  ограничиваются  игнорированием достаточно  очевидных фактов,  но нередко
сопровождаются   выдумыванием   деталей.   Существуют  бесчисленные  примеры
оптических  иллюзий, обманов,  вызванных  отвлечением  внимания (например, в
фокусах)  и  изменением  эталона  сравнения (теплое  кажется холодным  после
горячего чая, по горячим после холодного: серое представляется почти белым в
сравнении  с  черным  и почти  черным в  сравнении  с белым).  Ошибки  часто
допускаются под влиянием  предшествующего  наблюдения.  Например, нормальный
надпочечник может показаться очень маленьким,  если мы смотрим на него сразу
после того, как наблюдали несколько необычно крупных надпочечников.
     Кроме того, мы имеем склонность видеть  только то, к наблюдению чего мы
подготовлены. При наблюдении  эксперимента на  собаке  противник  опытов над
животными  заметит  только,  что  собаку  хорошо усыпили, собаковод  обратит
внимание  на  породу  животного,  а  ученые  разных  специальностей  обратят
внимание  на такие подробности, которые  представляют интерес для их области
знания.
     Необычайным даром видения  неожиданного обладал  Пастер.  Проводимое им
изучение случаев  холеры у  птиц  было прервано летним отпуском, а  когда он
возобновил  работу,  почти все микробные культуры оказались стерильными.  Он
попытался оживить микроб  путем  введения его птицам,  но это ни к  чему  не
привело. Пастер  уже был готов прекратить  эксперимент, когда ему  пришла  в
голову мысль ввести птицам сильнодействующую свежую культуру. Далее приведем
слова его коллеги Дюкло: "К удивлению всех, а возможно и самого  Пастера, не
ожидавшего такого успеха, почти все птицы устояли против введения  микробов,
в то  время как другие птицы, которым ослабевшая культура не вводилась после
обычного инкубационного  периода заболели... Это привело к открытию принципа
иммунизации ослабленными патогенами" [9].
     В  другом случае Пастер с удивлением заметил, что возбудители сибирской
язвы  могут быть  выделены  из  почвы, в которой  двенадцать лет  назад были
захоронены  овцы, умершие от этой  болезни. Оставалось  загадкой, как  столь
длительный срок  бактерии могли  сохранять  вирулентность  и  с интервалом в
несколько  лет вновь вызывать эпидемии. Однажды, идя через поле, он заметил,
что некоторый участок земли  имеет особую  окраску. Когда он спросил об этом
фермера, тот ответил, что год назад там захоронили умерших от сибирской язвы
овец.  Как рассказывает  Эмиль  Ру, "Пастер,  всегда обращавший  внимание на
детали,  заметил  на  поверхности  почвы большое  количество ходов, прорытых
червями.  Ему в голову пришла идея,  что в своих бесконечных перемещениях из
толщи земли на ее поверхность черви  вынесли наружу богатую перегноем почву,
находившуюся вокруг останков овец,  а вместе с ней - и споры сибирской язвы.
Пастер  никогда  не  останавливался   на  идеях   -  он  сразу  переходил  к
эксперименту.  Последний  подтвердил  его  предположение:  у  морской свинки
удалось вызвать сибирскую язву" [цит. по: 2].
     Никакие кабинетные размышления не привели бы Пастера к этому  открытию,
если  бы не  его  личные наблюдения.  Да и  моя  собственная работа  не  раз
убеждала меня в том, насколько мы бываем слепы к неожиданностям. В 1941 г. я
занимался изучением влияния прогестерона - недавно синтезированного  гормона
яичников - на половые органы.  Я  каждый день вводил крысам это  соединение,
ожидая определенных изменений  в половых органах. Через несколько  недель  я
передал эту работу лаборантке, только что приступившей к  работе. К большому
моему удивлению, на следующий  день она доложила,  что все животные погибли.
Поскольку  я  неоднократно  вводил те  же дозы  прогестерона без  каких-либо
осложнений, я решил, что она плохо приготовила раствор,  и просто сказал ей,
чтобы она повторила эксперимент более  тщательно. На. следующий день девушка
пришла ко мне в великом расстройстве: несмотря на все меры предосторожности,
животные погибли после первой  же инъекции.  Я был в полном замешательстве и
попросил  ее  повторить  опыт  с  другой группой крыс,  на  этот раз  в моем
присутствии.
     Выяснилось, что,  не зная наших технических приемов, лаборантка вводила
гормон внутрибрюшинно,  основываясь  на  опыте  своей  предыдущей  работы  в
бактериологической лаборатории. Я не предполагал, что способ инъекции  имеет
какое-либо  существенное  значение,  но пока  я говорил  ей  это,  все крысы
уснули, как если бы получили сильную  анестезию,  а  затем погибли.  Все это
выглядело  очень  странно.  До  сих  пор  у прогестерона не  было обнаружено
никаких токсических эффектов и  ни один стероидный гормон - и ни один гормон
вообще  -  никогда  не  вызывал  анестезии. Тогда  я  повторил эксперимент с
меньшей дозой прогестерона. Животные опять уснули, но на этот раз через пару
часов они проснулись в полном здравии.
     Здесь  мы имели дело с  настоящей гормональной  анестезией, при которой
сон вызывается естественным продуктом эндокринной  железы. Очевидно,  раньше
этого явления  не  замечали,  поскольку  после  обычной  подкожной  инъекции
всасывание  прогестерона  происходит  слишком медленно, чтобы  был достигнут
обладающий анестезирующим действием уровень содержания его в крови. Когда же
неопытная   лаборантка   ввела   вещество   другим  способом,   оно   быстро
абсорбировалось  с  обширной  брюшинной  поверхности.  Но  она  не  заметила
анестезии,  поскольку  у  нее  не  было  повода  наблюдать  за  животными до
очередной инъекции  на следующий день, когда животные были  уже мертвы. Даже
если  бы  она обследовала  их вскоре  после инъекции, сомнительно, чтобы она
приписала их неподвижность перед гибелью подлинной анестезии. После того как
я   описал  эти   наблюдения,   несколько   опытных  авторов  оспорили   мою
интерпретацию, приписывая неподвижность  животных обычному "шоку". Теперь же
мы знаем,  что стероидные  гормоны  могут  вызывать  анестезию  не только  у
животных,  но  и  у  людей.  Например,  гидроксидион -  близкое  производное
прогестерона  -  в  настоящее  время   находит  клиническое  применение  для
анестезии при некоторых хирургических операциях.
     Чем больше мы полагаемся на  сложные инструменты, тем в большей степени
искусство наблюдения сходит  на нет. В этой связи процесс обучения молодежи,
с моей  точки зрения,  следует  строить так,  чтобы  она  приобретала  навык
тщательного  наблюдения  за  поведением  подопытных  животных и  тщательного
патологоанатомического  исследования.  При  этом  особое   внимание  следует
уделять "периферическому  зрению", настраивая студентов  на  систематический
поиск неожиданных изменений.
     Помимо  того что подчас наиболее  важные детали  находятся на периферии
нашего  зрения,  мы  рискуем  не заметить их  из-за несущественных  деталей,
затемняющих картину.  Талант  видеть подобное в  массе различий - и, что еще
важнее,   различие   в   массе   подобного   -   составляет   основу   любой
классификационной деятельности.
     В  заключение  несколько  слов о тщательности - кропотливом  внимании к
деталям.  Все согласны с  тем, что  это качество  крайне важно  не  только в
научном исследовании,  но  и  во  всех  областях  жизни.  Согласно  Кеннону,
"желание  брать  на  себя  бесконечные трудности  и  тщательно рассматривать
мельчайшие детали  является важнейшим  элементом  самого  духа исследования"
[4]. А  по словам  Томаса  Карлейля{24},  сам гений  есть  не  что иное, как
"прежде всего необычайная старательность".
     Тщательность  исследования  предохраняет  идею   от  "смазывания".  Она
необходима  во всех  видах научной  работы, как  при  оценке  мыслей, так  и
наблюдений. К сожалению, чем более живым воображением обладает человек и чем
с  большим  рвением  он  стремится завершить  картину,  которую  ему  рисует
воображение, тем  скорее он  будет пренебрегать мелочами. Только единицы  из
нас  достаточно нетерпеливы, чтобы  стремиться к  неизведанному, и  в то  же
время обладают достаточным  терпением,  чтобы по дороге постоянно проверять,
на правильном ли пути они находятся.



     Тесный контакт с Природой,  какую бы форму он ни  принимал - пассивного
наблюдения или активного преобразования,- предполагает изрядные  технические
навыки и изобретательность.
     С  моей точки зрения, молодой человек в годы своего  становления должен
овладевать  техническими навыками, но не ориентироваться  на  их немедленное
применение. На это есть две причины: он узнает, что он может и любит  делать
своими руками, а кроме того, создаст  некоторый запас навыков, которые будут
всегда  наготове,  в  случае  если  хорошая  идея  неожиданно  потребует  их
использования.
     Многие  хирургические  приемы, которым я в  бытность  студентом-медиком
научился у своего отца, очень пригодились мне в дальнейшем. Затем в качестве
сотрудника  кафедры  патологии  Пражского  университета  я  имел  достаточно
возможностей для изучения методов гистологии. Еще позже я настолько уверился
в том, что основой всех современных медицинских исследований является химия,
что защитил в  этой области вторую докторскую  диссертацию. Теперь, оценивая
время, затраченное на овладение  всем этим,  мне кажется, что оно не пропало
даром,  хотя  далеко не все  из приобретенных  навыков  пригодились  мне  на
практике.
     По своим  склонностям  я  морфолог и хирург-экспериментатор. И  хотя до
того,  как  сделать выбор  в пользу конкретной научной  карьеры,  я потратил
значительное время  на  изучение  методов химического синтеза,  эту  сторону
своей подготовки я использую менее  всего. И все  же  я не сожалею о  годах,
проведенных  в  химической  лаборатории. Они дали мне определенное понимание
возможностей   и  ограничений  этой   науки   с  точки   зрения  моих  ранее
сформировавшихся наклонностей.
     Я  все  еще  считаю  химию   одним  из  наиболее   ценных  инструментов
медицинского или любого другого биологического исследования, и тем не  менее
она -  не  биология...  Мне нравится  само  живое,  его формы  и проявления,
словом, то, что  непосредственно доступно моим органам чувств. Биологическая
реакция, которую я  могу видеть невооруженным  глазом, или клетка, которую я
могу наблюдать под микроскопом,- все это значит для меня гораздо больше, чем
колориметрическая реакция, показывающая уровень крови в каком-то соединении.
Мне  нравятся  приемы экспериментальной хирургии  из-за  точности получаемой
информации.  Фармакология  тоже  дает нам  способы  блокировать деятельность
какого-либо  нерва,  или,   скажем,  почки,  но  всегда  остается  сомнение,
произведена  ли блокировка полностью и не задеты ли другие органы.  Ситуация
значительно  прояснится, если  перерезать  нерв  или  удалить почку. (Должен
попутно признать, что  экспериментальная хирургия нравится мне  и просто как
мастерство:  я   часто  пытаюсь  решить  хитроумную   хирургическую  задачу,
экспериментируя на  животных. При этом я не рассчитываю  на  ее  немедленное
применение, мне просто хочется посмотреть, можно ли это сделать. И если опыт
удается, то рано или поздно появляется возможность его удачного применения.)
     В фармакологии и физиологии я предпочитаю экспериментировать на живом и
целостном  организме,  а  не  на  изолированном   органе  или  на  животном,
измученном    различными    "процедурами   по   повышению   или    понижению
чувствительности". В  этой  связи я вспоминаю,  как  одни  молодой ученый  в
течение  тридцати  минут  излагал   свои  наблюдения  над   кошкой,  которую
анестезировали,  привязали   к  столу,  ввели  атропин  (чтобы   блокировать
блуждающий  нерв),  удалили часть печени,  затем сделали инъекцию некоторого
препарата; все  это вызвало у  нее выделение кала и мочи, а  также  виляющие
движения хвостом. Когда по докладу началась дискуссия, был задан только один
вопрос: "А что еще могла бы делать кошка в таких условиях?"
     Еще более искусственными мне представляются условия, при которых удален
весь  организм,   за  исключением  единственного   органа,   исследуемого  в
лабораторной  пробирке,  т.  е.  in  vitro.  Нет  сомнения,  что  существуют
проблемы, которые нельзя решить никаким иным путем, и люди, заинтересованные
в  их решении, вынуждены применять метод in vitro. Однако чем меньше тот или
иной метод разрушает живое, тем больше он мне по душе.
     Вообще  говоря, я не  расположен спешить  с применением сложных методов
сразу   после   их   изобретения.   Теперь,   когда   нам   стали   доступны
электронно-микроскопические и радиоизотопные методы исследования, применение
их при решении  бесчисленных  проблем дает  определенные "публикабельные"  и
даже  полезные  результаты. Молодой  человек, делающий первые  шаги в науке,
разумеется, может извлечь отсюда известную пользу. Но те, кто уже имеет опыт
работы и определил область своих интересов, не должны ослепляться новизной и
хитроумностью  новых методов. Даже самые совершенные методы имеют  тенденцию
постоянно  совершенствоваться,  и  тогда их можно  будет  с  большей пользой
применить  в  исследованиях,  в  которых  новизной  отличается  идея,  а  не
используемый инструмент.
     На мой взгляд, опытному ученому нет необходимости изучать все имеющиеся
методы  исследования  и  сравнивать их достоинства. Ему  нет необходимости в
совершенстве  овладеть  ими, исходя  из предположения,  что  они  смогут  на
что-нибудь  сгодиться.  Если  на  что  и  нужно  тратить силы,  так  это  на
разработку   собственных  методов.   Почти   все  великие  биологи   создали
специальную технику  в своих областях исследования.  Лавуазье сам изготовлял
весы,  термометры,  калориметры.  Пастер  зарекомендовал   себя   необычайно
способным  изобретателем  в  области бактериологической техники, и многие из
его  изобретений используются  и  сегодня.  То  же  справедливо  в отношении
стольких  выдающихся исследователей,  что  продолжать  их  перечень  было бы
излишним. Новая техника - это "повивальная бабка" при рождении новой науки.




     Что  в  первую  очередь  должен  делать  тот,  кто  изучает  философию?
Расстаться с самонадеянностью. Ибо никто не может начать изучать то, что, по
его мнению, он уже знает.
     Эпиктет

     Способность отбрасывать все формы ослепляющей нас предвзятости - первая
предпосылка объективной, честной  оценки наблюдаемых фактов. Мы уже говорили
о  зависимости  научного  исследования  от  предшествующего  опыта,  который
порождает  те  или  иные  предубеждения  (с.  60),  но  мы должны  научиться
контролировать  их. При  оценке, определении значения и интерпретации данных
многое  зависит от способности  смотреть  на вещи  не предвзято,  а также от
нашей способности изменять свои взгляды,  если того  потребуют  новые факты.
При этом не следует преувеличивать следствия, которые могут быть выведены из
наблюдаемого.
     Президент  Гарвардского университета Элиот  как-то  рассказал мне такую
историю. Войдя в переполненный ресторан, он отдал шляпу  гардеробщику-негру.
При выходе  Элиот с удивлением  увидел, что  гардеробщик  безошибочно выбрал
именно  его шляпу из  сотен других.  В изумлении он спросил: "Как вы узнали,
что это моя шляпа?" - "Да не знал я, что она ваша!" - был  ответ. "Почему же
тогда вы дали ее мне?"  -  спросил Элиот, на что  гардеробщик очень  вежливо
ответил: "Потому что вы, как  вошли, отдали ее мне". Президенту университета
чрезвычайно  понравилось   столь   скрупулезное  обращение   с  причиной   и
следствием.
     Одним  из  худших  "заболеваний" научного  мышления  является тенденция
видеть то, что хотелось  бы увидеть; у  себя  в лаборатории мы называем  это
явление  "гнилым  оптимизмом".  Я  вспоминаю  аспиранта,  задавшегося  целью
доказать, что препарат А более опасен, чем  препарат В. Он подверг  действию
каждого препарата группу из десяти крыс. В  группе А погибло пять крыс,  а в
группе  В  -  шесть.  И  тем  не  менее  он  смотрел   в  этом  эксперименте
подтверждение своей очки зрения, ибо сумел заставить себя поверить в то, что
у  каждой крысы,  которая "не должна была"  погибнуть,  можно  было заметить
некие патологические повреждения,  не связанные с экспериментом. Эта история
произошла  с  очень способным  человеком,  который впоследствии  стал вполне
объективно   мыслящим  и  надежным  исследователем   и   сейчас  приобретает
известность в науке. И все  же на первых порах своей научной деятельности он
смотрел  на вещи  именно таким образом. К сожалению; я знаю и других  людей,
которые так никогда и не переросли эту болезнь.
     Поскольку  в  науке  мы  постоянно  сталкиваемся с  фактами,  полностью
противоречащими  повседневному опыту,  избавиться от  наших  предубеждений -
нелегкое дело.  Когда мы каждый день видим,  как солнце встает и  заходит за
внешне неподвижный  горизонт, требуется  известная гибкость, чтобы,  впервые
ознакомившись  с  прямо противоположными свидетельствами,  признать,  что не
Солнце  вращается  вокруг Земли,  а наоборот, или, вообще  говоря,  что  все
зависит от выбора системы отсчета.









     Мы уже говорили  о том, что при выборе проблемы исследования необходимо
прийти  к  определенному  балансу  между  любознательностью  и  возможностью
практического  приложения  ожидаемых  результатов  (с.  24).  Именно в  этом
вопросе  мнение ученого-исследователя  сильнее всего  расходится  с  мнением
специалистов в других областях деятельности, и точно так же в этом отношении
крупный ученый более всего отличается от среднего исследователя. Насколько я
понимаю,   по   своим  интеллектуальным   способностям  выдающиеся   юристы,
бизнесмены, финансисты  или государственные  деятели  ничем не отличаются от
первоклассных  ученых. Единственное существенное различие между ними  в том,
какие  проблемы они считают  заслуживающими  внимания. Ученого не интересует
сфера творения  рук человеческих. Для него значимость проблемы не зависит от
устанавливаемых людьми  законов или  общественных соглашений, которые  могут
меняться в зависимости от  желания людей. Поэтому ценность проблемы, которую
выбирает ученый, непреходяща, хотя и не всегда очевидна.
     Решение  сложной  юридической  или  политической  проблемы,  накопление
большого   состояния,  создание  источников  дохода  для   множества  людей,
сооружение крайне необходимой плотины или моста - все это виды деятельности,
значимость которых совершенно очевидна Однако этого не  скажешь о стремлении
ученого постичь тайны пигментации  крыла  бабочки или определить, какие силы
влияют  на  траекторию  движения  далеких  звезд.  Требуется  особого   рода
любознательность и редкая способность  отрешиться от  общепринятых "мирских"
ценностей, чтобы  преследовать даже явно непрактические  цели.  Но  именно в
подобных  устремлениях  -  сколь  бы  тривиальными они ни выглядели в глазах
большинства  людей - и заключается суть работы  ученого.  Он  не считает  их
непрактичными,    поскольку,    с   его    точки    зрения,   удовлетворение
любознательности  и   перспектива  применения  в   будущем  того  или  иного
природного закона перевешивают  все  прочие соображения.  Такой  обостренный
интерес  к  вещам, совершенно далеким от забот среднего  человека,  и делает
ученых странными и эксцентричными в  глазах своих  современников. С течением
времени  отношение  к  ним  меняется  -  хотя  иногда  для  этого  требуются
столетия,-  по  мере  того  как  становятся  очевидными  чисто  практические
последствия сделанных ими открытий.
     Выбор между той или  иной  темой продолжает  оставаться  самой важной и
самой трудной задачей, стоящей перед ученым на протяжении всей его жизни. Он
всегда  на  распутье  и  вынужден  выбирать из  множества  дорог  ведущих  в
неизведанное.  И  проблема  не в  том чтобы  определить,  хороша  или  плоха
избранная  дорога  (соответствует  ли  она первому  впечатлению  о  ней) ибо
похвалы достойно решение  любой  проблемы.  Вопрос заключается в том, какому
пути  следует отдать предпочтение с точки  зрения той цены, которую  в итоге
приходится платить: ведь  посвятив  себя  целиком поискам  решения какого-то
одного  вопроса, мы, таким образом, добровольно  отказываемся от возможности
сделать еще очень многое.




     Кто  открыл  Америку - индейцы,  жившие там  с незапамятных времен, или
викинги в Х веке, или  Христофор Колумб, прибывший туда в 1492 г.? Открывает
ли ее все еще и  теперь каждый,  кто бурит новую  нефтяную скважину или  кто
обнаружил на этом континенте новое месторождение урана? Ответ на эти вопросы
зависит от вашего  общего отношения к  проблеме открытия Америки, а также от
того, что вы понимаете под достаточно изученным  вопросом. Открытие является
таковым лишь  с определенной точки зрения и в определенной степени. Когда мы
выделяем отдельную личность в качестве первооткрывателя  чего-либо, мы имеем
в  виду лишь то, что, с  нашей точки зрения,  вклад этого человека в  данное
открытие превышает чьи бы то ни было заслуги.
     Любой  историограф  сталкивается  с  такого  рода  фактами,  способными
привести в замешательство. Обычно предмет  открытия предвидят многие люди, а
некоторые - и  их может быть немало  - бывают  способны в  какие-то  моменты
времени или под каким-то углом зрения как бы "увидеть"  его еще до того, как
открытие  было фактически совершено. Для  практики не  имеет  ровно никакого
значения, кто  совершил научное открытие, коль скоро мы  можем  пользоваться
его плодами.  В этом смысле неважно, кто именно открыл Америку, раз уж  дары
этой  земли  нам  доступны. Но  если  мы хотим  испытать трепет соучастия  в
открытии, "раскручивая" его подлинно захватывающую историю,  либо извлечь из
него  практические  уроки,  это  становится  существенным. А научиться здесь
можно многому.  Например,  обращение к истории важного открытия может помочь
нам  понять,  что  составляет   его   суть   не   только   с   точки  зрения
профессионального  исследователя,  но и  с  точки  зрения  любого  человека,
поглощенного заботами повседневной жизни.
     Вернемся  опять  к  открытию  Америки.  Мы считаем, что  Колумб  открыл
Америку только на том основании, что он больше кого бы то ни было сделал для
того, чтобы  мы - я имею  в виду всех, за исключением  индейцев,- получили в
свое распоряжение новый континент. Что же касается индейцев, то они уж точно
не смотрят на  Колумба как на того, кто открыл  Америку.  С их точки зрения,
его прибытие ознаменовало собой открытие ими белого человека.
     Несомненной  заслугой тех отдельных групп викингов, которые попадали  в
Америку на  протяжении всего  Х столетия, является то,  что они  сделали это
раньше других европейцев. Но, хотя они и открыли "нечаянно" Америку, викинги
не сыграли никакой роли  в открытии ее для всего остального мира. Их подвиги
были  полностью  забыты,  так  как  им не удалось установить  действенной  и
постоянной  связи  между  Новым  и  Старым Светом.  Вот  почему  сегодняшние
обитатели Америки ничем им не обязаны. Викинги не помогли даже Колумбу, ибо,
когда  он несколько столетий  спустя планировал свое путешествие, ни он сам,
ни кто-либо из его окружения ничего не знали об этих более ранних вояжах. Мы
узнали о них лишь совсем недавно, когда Америка уже на протяжении веков была
частью цивилизованного  мира. Колумбу  приходилось строить  свои  планы  без
всякой опоры на какой-либо предыдущий опыт.
     Главное различие между всеми открытиями Америки, которые были совершены
соответственно  индейцами, викингами и  Колумбом,  заключается только в том,
что одному Колумбу  удалось присоединить Американский континент к остальному
миру.
     Суть научного открытия не в  том,  чтобы увидеть что-либо  первым,  а в
том,  чтобы  установить  прочную  связь   между  ранее  известным  и  доселе
неизвестным.  Именно  этот процесс  связывания воедино в  наибольшей степени
способствует подлинному пониманию вещей и реальному прогрессу.
     Относительность   понятия   "открытие"   подчеркивали  многие   ученые.
Выдающийся американский  бактериолог Ганс Зинсер,  например,  говорил:  "Как
часто  в истории  медицины  научное  открытие  просто  помогало прояснить  и
целенаправленно  проверить  те  факты,  которые  уже  давно  наблюдались   и
использовались на практике" [39].
     Подобные рассуждения не лишены практической значимости. Нередки случаи,
когда  в  процессе многообещающего исследования  молодой  ученый  испытывает
чувство разочарования, ибо "все равно все давно уже известно".




     Если какой-либо объект наблюдали, но не выяснили степень его значимости
и взаимосвязь  его с  другими  объектами,  то он остается  неизвестным. Если
кто-то давным-давно видел, как  одна  из приготовленных им микробных культур
погибла в результате  случайного  загрязнения плесенью (и заключил  из этого
только то, что ему следует приготовить другую культуру, поскольку первая уже
непригодна),  то  он  еще не  открыл  антибиотики.  Даже  если  он  и описал
где-нибудь  в  примечании  свое наблюдение, честно отметив его  как досадную
небрежность своей методики, это ничего не добавило к нашему знанию. Было  бы
чрезвычайно  прискорбно,  если  бы  современные  ему  бактериологи забросили
исследования на эту тему, наткнувшись на его статью  и сделав вывод, что это
явление  "уже  известно". Как мы убедимся  при рассмотрении  работы  Глея по
инсулину (с. 117), тот, кто наблюдает, может и не придать значения тому, что
он  видит,  очевиднейшим образом  демонстрируя  свою  неспособность  открыть
данное   явление  -  ведь   он   имел  наилучшие   шансы  и  не  сумел   ими
воспользоваться.
     Даже если наблюдение подробно  описано  в  литературе  вместе со  всеми
вытекающими  из него следствиями  и  таким образом,  является "известным"  в
общепринятом  смысле слова, полезно спросить: а  кому  оно известно?  Важное
наблюдение,  опубликованное  в  только  что прекратившем свое  существование
труднодоступном журнале,  да  к тому  же  и  на  малоизвестном языке,  может
фактически остаться неизвестным ни единой  живой  душе. Подобный факт вполне
заслуживает   повторного  открытия,   разумеется   с   должным   упоминанием
первоначальной  публикации. Такие  случаи крайне редки,  однако поразительно
много   полезных   наблюдений,   опубликованных   в  малочитаемых  журналах,
проскальзывают мимо внимания тех, кому следовало бы о них знать.
     Несколько лет  назад  д-р  Серж  Рено, работающий  в  нашем  институте,
обнаружил,  что для гистохимического определения содержания кальция в тканях
следует предпочесть фиксацию  в  спирте с  формалином,  а не применяемый для
этой цели нейтральный формалин. Затем  он обнаружил, что этот факт уже давно
должным образом описан  одним немецким ученым, и тем не менее патологи всего
мира  по-прежнему  используют  для  этой цели нейтральный  формалин. Тогда я
настоятельно  рекомендовал  Рено   опубликовать  свои  наблюдения  (упомянув
разумеется,  более  ранние  источники),  и  я  убежден,  что  многие  ученые
благодарны ему за это.




     Мы  уже неоднократно  касались вопроса  о существенном  различии  между
видением  и  открытием (с.  102--103).  Теперь давайте  проиллюстрируем этот
важный момент, рассмотрев  историю  открытия инсулина,  рассказанную мне  Ф.
Бантингом.  Само  это  открытие  уже  упоминалось  как  пример  интуитивного
озарения (с. 65).
     В 1889 г. двое  физиологов - Минковский и фон  Меринг  -  хирургическим
путем удалили поджелудочную железу у собаки, вызвав тем самым диабет. Но они
не  поняли, что  эта  болезнь является  результатом недостатка  инсулина. Их
находка не стала  стимулом к  дальнейшим  исследованиям  вплоть до  1921 г.,
когда Бантинг и Бест получили инсулин из надпочечников и показали,  что этим
гормоном  можно  лечить не только экспериментально  вызванный  диабет, но  и
реальные случаи заболевания.
     Интересно отметить, что  и ранее многие исследователи получали подобные
результаты  в процессе  работы  с экстрактами  поджелудочной  железы, однако
приписывали  гипогликемические реакции "токсичности"  своих  препаратов.  Во
Франции известный физиолог  Э.  Глей за шестнадцать лет до Бантинга проводил
очень похожие эксперименты. Он  даже  описал их в частном сообщении, которое
передал  в запечатанном  виде Парижскому биологическому  обществу  в феврале
1905 г. Глей вводил  масло  в проток  поджелудочной железы собак и тем самым
вызывал  ее  отвердение  (метод Клода Бернара). Он  отметил,  что собаки  не
заболевают  диабетом  и   что  внутривенное   введение  экстракта  из  таких
склеротичных  желез уменьшает содержание сахара в  крови у собак с удаленной
поджелудочной железой. Только  в 1922  г., после  публикации Бантинга,  Глей
позволил  вскрыть  конверт.  Содержание  этого  письма полностью подтвердило
претензии Глея на то, что он первым обнаружил инсулин.
     Впоследствии  много  писалось  о  моральных  аспектах  такой заявки  на
приоритет.   Во   всяком  случае,   приоритет   Глея  оказался   практически
непризнанным,   и  на  международном  симпозиуме  по   диабету   он  яростно
протестовал против подобной несправедливости.  Старый профессор  Минковский,
который  возглавлял работу симпозиума,  мягко положил  конец этой неприятной
сцене, заметив: "Я хорошо понимаю ваши чувства, я также был крайне расстроен
тем, что не открыл инсулин, ибо понял, насколько я был близок к этому".
     Очевидно, Глей не распознал важности увиденного им: в  противном случае
он  не  ограничился  бы  тем,  что  спрятал  свои результаты.  Пойми он, что
становится  ответственным за смерть тысяч людей, погибших от диабета  за все
годы  отсутствия инсулина,  его поступок был бы равносилен  преступлению. Ни
одна  из последующих работ Глея не могла по своей  значимости  сравниться  с
открытием  инсулина. Именно потому, что он не  понимал важности данной темы,
он  и  оставил  занятия ею. Ведь не  представляет больших  трудов  сдать  на
хранение рукопись, в которой  изложено нечто,  в чем мы  не очень уверены, а
потом сделать ее достоянием гласности, если вдруг кто-то другой докажет, что
мы были на верном пути. С моей точки зрения, Глей не только не сумел открыть
инсулин,  но  и доказал, что не мог этого сделать. И хотя  он по воле случая
увидел инсулин, он его все же не открыл.
     В медицинской литературе можно найти немало подобных  примеров,  когда,
производя важное наблюдение, исследователь/либо не совсем в нем уверен, либо
не в состоянии осознать его последствия. Поэтому он может ограничиться одним
упоминанием  об открытии, а может  и вовсе этого не делать. В  таких случаях
"открыватель" заслуживает еще меньшего  признания, чем все те, кто просто не
наталкивался  на какой-либо любопытный факт кт и  потому не имел возможности
столь  наглядно доказать  свою  неспособность оценить  его.  Если  ученый не
делает важных  открытий, это  не  прибавляет ему  научного авторитета, но по
крайней мере  он может находить оправдание в том, что на его долю не  выпала
счастливая случайность. А  уж если  такой  случай ему все же  выпал  и он не
сумел его оценить,  тут  некого  винить, кроме  самого себя. Вообще  говоря,
элемент  случайности  в медицинских  исследованиях  нередко  переоценивается
Госпожа Удача  улыбается только тем, кто умеет  ценить  ее искусные чары,  и
такими  ценителями  она  редко  пренебрегает.  Вопреки  общепринятому мнению
Эдвард  Дженнер был далеко не первым, кто привил людям коровью  оспу,  чтобы
предохранить их от заболевания обычной оспой. Вильям Гарвей не первым открыл
кровообращение; Дарвин не первым выдвинул  эволюционную  теорию, а Пастер не
первым сформулировал теорию микробов. Но  именно эти люди развили упомянутые
идеи до такой степени, что они начали приносить пользу.,




     Не смешивайте важность ваших целей и совершенство ваших инструментов со
значимостью вашей  работы. Восхищения заслуживают  достижения,  а  не цели и
средства. Кто бы, например, отказался найти лекарство от рака, пусть в ущерб
успеху  в  любой  другой  области  медицины?  Все  мы   восхищаемся  сложным
устройством   компьютеров,   электронных    микроскопов    и   рентгеновских
спектрометров, однако сам по себе выбор ракового заболевания в качестве темы
исследований   или  же   выбор   сложных  технических  средств  в   качестве
инструментов исследования  вовсе  не  означает  великого  предвидения  и  не
обеспечивает гарантии  успеха. К сожалению, многие молодые ученые склонны об
этом забывать.




     К формулированию исследовательской тематики  ведут две  основные  линии
рассуждений: задавать практические или  непрактические вопросы.  В отношении
воздействия некоторого  агента на  исследуемый объект  практическим вопросом
будет следующий: "Что случится, если я сделаю то-то и то-то?" Можно спросить
себя, что  будет  с  животным,  если у него удалить поджелудочную  железу. В
отношении  статичного  наблюдения  практическим  будет вопрос: "На  что  это
похоже?"  Мы можем  спросить, например: "Как  распределены нервы в  мозговом
веществе   надпочечника?"   Другой   вид   практического   вопроса  касается
количественной  оценки:  "Какое  количество такого-то агента  требуется  для
достижения такого-то  и  такого-то  результата?"  Можно  спросить:  "Сколько
адренокортитропного  гормона  требуется,   чтобы  вызвать   увеличение  веса
надпочечника на 20%?" Все эти  практические  вопросы  могут  быть  логически
сконструированы  так, чтобы отвечать конкретной цели,  и сформулированы так,
чтобы образовывать реальный план эксперимента. В этом случае решение само по
себе  не является целью, а  составляет  часть  более  крупного исследования.
Приведенные выше конкретные вопросы связаны, например, с достижением лучшего
понимания деятельности надпочечников.
     Непрактические  вопросы  являются  на  самом деле не исследовательскими
проектами,  а   пожеланиями.   Они   выражаются  такими  заявлениями,   как:
"Интересно, могу ли я побольше узнать о надпочечниках?" или "Интересно, могу
ли я найти средство от рака?" Проявление любознательности такого рода -  это
оправданная  и  необходимая  мотивация  исследования,  но в  качестве  плана
исследования  такие вопросы совершенно  бесполезны, пока  они  не сведены  к
вопросам практическим. Многие молодые  люди, решившие работать над проблемой
рака, или над изучением основных механизмов действия ферментов, или даже над
вопросами, связанными  с  выяснением  природы  жизни в целом, ощущают  явное
превосходство над  коллегами,  имеющими более ограниченные  цели,  и считают
себя вправе требовать к себе особого  отношения. Они забывают, что лишь один
выбор грандиозной  проблемы не  требует  особого таланта и  не дает  никакой
гарантии успеха. Должен существовать разумный баланс между значимостью нашей
исследовательской задачи и  вероятностью того, что  мы ее решим; в противном
случае результатом  будет пожизненное разочарование.  Большинство "непонятых
гениев" - люди, не осознавшие этого.
     Для  начинающего  бывает  особенно  затруднительным  выбрать  проблему,
которая одновременно оказалась бы и важной,  и была бы ему  по плечу. В этом
случае  нужнее  всего  проконсультироваться  со  своим  учителем.  Поскольку
большинство студентов лучше всего работают над проблемами, предложенными ими
же,  тактичный научный руководитель  должен  стараться так направлять  мысль
ученика,  чтобы  тот  сам  предложил  какой-либо  плодотворный  эксперимент,
почувствовав себя при  этом  автором  соответствующей  идеи.  В любом случае
начинающему  ученому следует поначалу выбрать себе  тему из той  области,  в
которой работают его старшие коллеги. Только таким образом сможет он извлечь
пользу и из их  руководства, и из их неподдельного  интереса к его работе. В
то  же время он  по-настоящему  оценит то, чем заняты опытные ученые.  Важно
также, чтобы студент начал с задачи, на успешное решение которой у него есть
хорошие шансы, ибо  успех  в  такой же  степени  ободряет, в  какой  неудача
оказывает парализующее действие.
     В своей собственной работе я обычно отдаю предпочтение темам, спонтанно
возникающим из случайно сделанных в лаборатории наблюдений, поскольку в этом
случае я уверен в наличии всех технических  предпосылок  для воспроизведения
подлежащего исследованию явления. Я и своим студентам советую, насколько это
возможно,  следовать  в  данном  отношении линии наименьшего  сопротивления.
Разумеется,  любой  подлинно  одаренный  студент  по  прошествии  некоторого
времени  уже не  испытывает особых затруднений в подборе подходящей темы. По
словам У. Бевериджа: "Если  в процессе занятий студент не заметил пробелов и
несообразностей  в изучаемой дисциплине или  не вынес  некоторых собственных
идей, свою научную карьеру он начнет не наилучшим образом" [2].




     Чрезмерная  озабоченность  практическими  аспектами исследования бывает
бесплодна,  если  забыта  фундаментальная  проблема.  Поклонник  технических
новинок, всецело находящийся под впечатлением их совершенства, может создать
методы  и инструменты необычайной точности,  но новых фундаментальных знаний
от   этого   не   прибавится.   Необходимо  искать   технические   средства,
соответствующие  проблеме,  а  не   проблему,  соответствующую   техническим
средствам.
     С самого начала моей научной деятельности олицетворением  этой идеи был
для  меня  молодой  коллега,   потративший   массу  времени  на   разработку
действительно превосходного метода точного определения содержания  железа  в
испражнениях  крыс.  Не   имея  ни  малейшего  желания  ставить  собственные
эксперименты над животными, он  постоянно преследовал всех  коллег вопросом,
не  занят ли кто из них  проведением  такого  эксперимента, в котором  может
оказаться  чрезвычайно полезным очень точно определить содержание  железа  в
экскрементах. Получая отрицательный  ответ, он очень расстраивался,  но если
ему отвечали "да", то на следующий день он появлялся у вас в  лаборатории со
своими  маленькими баночками, дабы забрать материал. Благодаря этому  парень
стал  в  конце  концов  широко известной  в  университете личностью,  но,  к
сожалению так никогда и не прославился чем-либо иным.



     Сбалансированная перспектива.

     В науке  - и  в  этом  она  не  является  чем-то исключительным  -  для
выделения важный моментов из общей картины нужна перспектива. По  словам Дж.
Тиндаля{25},  "чтобы  увидеть  картину  в  целом,  ее  создателю  необходимо
отдалиться  от  нее, а чтобы  оценить  общие  научные  достижения какой-либо
эпохи, желательно встать на точку зрения последующей".
     Человек, специализирующийся на изучении  натриевого обмена, постепенно,
но неуклонно приобретает уверенность в том, что этот  элемент - самый важный
в организме.  Он  замечает, что  натрий  присутствует в  каждом органе,  что
резкое падение  или  увеличение содержания натрия в крови ведет к  изменению
обмена всех других веществ - по сути дела, сама жизнь невозможна без натрия.
Он прекрасно знает, что то же самое можно сказать  и о кальции, калии и даже
о  воде, но  его  чрезмерное  увлечение натрием  как-то  подавляет  подобные
соображения.  Такое  положение дел  кажется  смешным, однако с  практической
точки  зрения  оно  очень  полезно,  если  только держать его  под  разумным
контролем.  Человеческий  мозг может  одновременно  думать  только  об одном
предмете, и  если мы хотим  изучить,  какую роль играет некий объект в самых
разнообразных проявлениях жизни, то следует смотреть на него  так,  как если
бы он  был "пупом  земли". Конечно же, он таковым не является - у жизни  нет
одной-единственной центральной оси,  так же как ни одно из колесиков в ваших
наручных  часах не  может быть выделено в качестве центральной детали  всего
механизма. Жизнь  зависит  от  натрия  и калия,  от клеток  и  межклеточного
вещества  с  головного и спинного  мозга  и от надпочечников  точно такой же
степени, как и от околощитовидных желез.
     Существуют все же и менее важные составляющие: жизнь может продолжаться
и  при  отсутствии  ногтей или  волос; даже потеря  глаза или  конечности не
означает  смерти.  Физиология  молочной  железы  является  важным  предметом
исследования,  но  младенцев  можно  с успехом  вскармливать и искусственно.
Подобные соображения  сознательно  или подсознательно  влияют на  наш  выбор
проблемы  исследования.  Во  всем этом процессе  нам больше всего  мешает то
обстоятельство, что  наиболее  близко расположенные  вещи кажутся нам самыми
крупными. Над  чем бы я ни работал, именно мой  предмет исследования казался
мне  самым  интересным  и значительным.  Любая связанная с  текущей  работой
публикация,  любой наблюдавшийся  факт немедленно  привлекают мое  внимание,
потому что  их  значение  открывается  мне наиболее явственно.  Такого  рода
одностороннее  повышение чувствительности  необходимо  нам, чтобы  извлекать
пользу  из случайных наблюдений. Это именно та  подготовка, которая помогает
увидеть неожиданное - даже если оно появится на периферии нашего поля зрения
- и правильно истолковать наблюдаемые факты в контексте накопленных познаний
в  этой  области. Вот  почему лучше  всего  не менять слишком  часто предмет
исследований, ведь  это  при прочих равных  условиях  позволит вам извлекать
максимум пользы из своего опыта специализации.
     В  то же время, упорно работая в одном и том же направлении, мы в конце
концов приходим  к тому моменту,  когда  отдача начинает  уменьшаться. После
того   как  основы   заложены,  предоставьте  другим  заниматься   деталями.
Собирателей   частностей  хватает,  а  вот  людей,  координирующих  обширную
тематику,  очень  мало.  Главная трудность состоит в том,  чтобы  разглядеть
момент,  когда  отдача начнет уменьшаться. Способность "снимать  сливки"  со
всего,  чем  бы  ни  занимался,-  это  величайший дар,  а  потому старайтесь
избегать чрезмерной специализации; выдерживайте определенную дистанцию, дабы
суметь  распознать  в  цельной картине  происходящего ее  ключевые  моменты.
Старайтесь  узнавать не многое о  малом, а малое, но  важное о  многом.  Вот
почему ученый, желающий выполнить обобщающую работу, должен постоянно быть В
курсе  - по  крайней мере  на  уровне  основ, попадающих в  конце  концов  в
учебники,- максимально возможного числа предметов, Когда мы будем говорить о
методах  координации,  знаний  (с.  279),  мы  обсудим  подробнее  вопрос  о
"массированном  чтении", необходимом для  "снятия сливок"  с  опубликованных
данных.




     Начинающих нередко обескураживает мысль  о том, что в ходе многовековых
исследований, выполненных многими выдающимися учеными, большинство  основных
и  ключевых  открытий  в  медицине  наверняка  уже  сделано.  В  беседах  со
студентами я все чаще слышу подобные сетования. Точно так же мои собеседники
убеждены что  сегодня для действительно интересных  открытий  нужны  большие
средства,   современные  лаборатории,  оснащенные  всеми  видами  сложной  и
дорогостоящей   аппаратуры,  и  желательно  большой  штат  хорошо  обученных
сотрудников. Но следует иметь в виду, что дорогое оборудование, как и всякое
капиталовложение,  требует отдачи  и тем  самым  может  оказать давление  на
пользующегося  им  ученого.  При  этом   средство  познания  превращается  в
самоцель.
     Молодые люди склонны считать, что  прошли те времена, когда  можно было
совершить  бессмертное открытие в области медицины,  просто рассматривая еще
неисследованную часть человеческого организма.
     Вот,  к примеру, надпочечники, сыгравшие столь значительную роль в моей
работе по стрессу.  Самое важное -  то, что они  существуют. Не  зная этого,
ничего больше нельзя  было  бы открыть. Что  же касается  данного  исходного
факта,  то  он был установлен  в 1563  г.  Бартоломео  Евстахием{26}, личным
врачом кардинала делла Ровере, который благодаря своим связям сумел получить
в  Риме разрешение  производить  вскрытия. Дальше все  было легко:  протыкая
жировую ткань  вокруг верхушек почек, он не мог не обнаружить надпочечников.
Очевидно, ничего особенно сложного тут не было.
     Я  считаю, что подобный  взгляд  на  вещи глубоко  ошибочен. Во-первых,
нужна   была   ненасытная   научная   любознательность,   чтобы,   преодолев
предрассудки XVI столетия, испросить разрешения рассекать  человеческое тело
и   воспользоваться   этим   разрешением.  Во-вторых,  требовалась   великая
проницательность, чтобы распознать в неприметном маленьком кусочке беловатой
ткани, погруженном в жировую ткань почти такого же цвета,  отдельный  орган,
заслуживающий  описания.  Важность  открытия  всегда  следует  оценивать   в
контексте того времени, когда оно было сделано. Нам остается лишь завидовать
способности древних анатомов совершать  великие открытия средствами простыми
и в то же самое время сожалеть о примитивности наших научных инструментов по
сравнению с теми, что появятся в грядущем.
     Тут уместно  вспомнить, что  вся  концепция стресса  построена па  трех
признаках: увеличении  коры  надпочечников, тимико-лимфатической инволюции и
кишечных  язвах. Отсюда был сделан  вывод о трехфазности  данного синдрома -
остро выраженные  проявления  заболевания  (стадия  тревоги), их последующее
исчезновение (стадия  устойчивости) и,  наконец,  расстройство  организма  с
полной потерей сопротивляемости (стадия истощения). Таковы факты, на которых
основывалась   самая   первая   заметка  "Синдром,   вызываемый   различными
вредоносными  агентами".  Все эти признаки были видны  невооруженным глазом.
Фактически единственным инструментом, использованным мною  в то  время, была
пара ножниц, с  помощью которых я вскрывал  подопытных крыс, да и установить
наличие  стресса,  вызванного  токсичными  веществами, также  можно было без
всякой  сложной  аппаратуры.  Стрессовая реакция,  или  "общий адаптационный
синдром",  вполне  могла бы  быть  открыта  в эпоху средневековья,  если  не
раньше. Ее  обнаружение  не зависело  ни  от  наличия  сколько-нибудь тонких
приборов  или новых методов наблюдения, ни  даже  от длительной  подготовки,
изобретательности    или    интеллектуального    уровня    -    только    от
непредубежденности и свежего взгляда на вещи.
     Лишь будущее  покажет,  какую  роль суждено сыграть концепции стресса в
совершенствовании   нашего  понимания  природы   заболеваний  и   уменьшения
человеческих страданий. Но если  она докажет свою ценность в этом отношении,
пусть  начинающих ученых  вдохновит  тот факт,  что  она  была  создана  без
каких-либо  "роскошеств"  современных  лабораторий  и  даже  не  потребовала
значительных  познаний  или  солидного  опыта.  К  счастью,  при  проведении
исследований  самой большой помехой для нас служит не то,  что мы чего-то не
знаем, а  скорее  то, что  нам как будто известно, но что  на  самом деле не
является  истинным.  Недостаток  оборудования  или  даже  недостаток  знаний
представляют  собой  значительно  меньшее  препятствие   для   оригинального
исследования,  нежели  переизбыток  бесполезных материалов  и бесполезной (а
иногда и ложной) информации, загромождающих и лаборатории, и мозги.
     Я думаю, что  любой молодой человек в начале своей деятельности  (хочет
ли он стать ученым или художником, бизнесменом или инженером) должен иметь в
виду - ему достаточно лишь его собственных глаз, чтобы "увидеть за деревьями
лес". Микроскоп ему понадобится только  для обнаружения в  этом  лесу мелких
деталей в  отдельной  клетке конкретного дерева.  Пока  вы молоды,  смотрите
свежим и непредвзятым взором на общие контуры проблемы;  с возрастом, вполне
возможно,  вы  уже не будете  в состоянии  "увидеть за деревьями лес". Но не
унывайте,  к тому  времени в  вашем распоряжении  будет достаточно  средств,
чтобы  приобрести  чудесные  инструменты  и подобрать  сотрудников,  умеющих
проводить с их помощью кропотливые исследования.




     Существует  два способа увидеть что-либо, больше  никем  не замеченное:
первый  -- это  нацелиться  на  самую  отчетливую  деталь  с  возможно более
близкого  расстояния  самым  лучшим  из  доступных  приборов; второй  -  это
посмотреть на  вещи  под  новым углом зрения, с  тем  чтобы увидеть  скрытые
доселе   грани.   Первый  способ  требует  средств   и  опыта,   второй   не
предусматривает ни того, ни другого: в нем помогают простота, непредвзятость
и  отсутствие  тех  мыслительных  установок, которые  накапливаются  за годы
работы. Обе дороги вам доступны, но, если только можете, выбирайте вторую.
     Невозможно  понять,  на  что  похожа  мышь,  если каждую  ее  клетку  в
отдельности тщательно изучать под электронным микроскопом, точно так же  как
нельзя оценить красоту  старинного собора путем химического анализа  каждого
из  его камней. Было  бы  очень  полезно  узнать  точную  структуру  гормона
околощитовидной железы, но у химика не возникнет даже  мысль начать работу в
этом направлении, если  не  будет доказано - простым удалением этих желез  и
введением  неочищенного их  экстракта  - значение  их  для жизнедеятельности
организма.
     Быть может, нет необходимости специально подчеркивать этот факт, однако
именно простота и метода, и подхода к проблемам  послужила мне ключом к  тем
успехам, которых  удалось  добиться.  Эти страницы  книги представляются мне
самыми  важными. Не позволяйте сложной технике ослеплять себя. не стремитесь
к   "исследованиям  вглубь";  помните,  что  крупные  объекты  видны  и  без
увеличения и что важнейшие законы одновременно и самые простые.
     Разумеется, это касается лишь простых наблюдении. Взаимосвязи же  между
частями  живого  существа  чрезвычайно  сложны, и  с их  изучением сопряжены
трудности, обусловленные, правда, не столько анализом, сколько синтезом. Для
определения строения сложного  химического соединения недостаточно разложить
его на  элементы, надо суметь также построить его из составных частей. То же
самое относится  и к биологическим  явлениям.  Выделяя в живой  материи  все
более мелкие элементы, можно кое-чего достичь, однако еще больший урок можно
извлечь, соединив их снова воедино.
     В любом  случае следует  иметь  в  виду,  что, как  бы  ни  был  одарен
отдельный  человек,  огромная масса  посредственных  исследователей  все  же
превзойдет его  в  осуществлении  случайных  наблюдений, прилежно  пользуясь
существующими  средствами  и   идеями.   Для  того  чтобы   связать  воедино
многочисленные факты и прийти хоть к какому-то их пониманию, все  они должны
быть представлены в голове одного человека.




     Сегодня  в   биологической  науке  стало  модным  со  все  возрастающей
точностью  изучать  сложную  организацию живой материи.  Это предусматривает
химический и физический  анализ  биологических  структур  в их нормальном  и
патологическом состоянии, использование особо тонких процедур и очень точных
приборов. В то же время удивительно мало внимания уделяется  выявлению того,
что  обусловливает их структурные характеристики. Иными словами, мы  в такой
же  степени  сосредоточиваем  свое  внимание  на  целях  исследования   этих
структур, в какой пренебрегаем способами их достижения.
     При исследовании какого-либо органа ни один химик не будет удовлетворен
определением только  одной  или двух его  составляющих; ни  один морфолог не
удовлетворится  идентификацией  только  одного  или  двух  типов клеток.  Мы
понимаем,  что  вся  живая материя  состоит  из единой  системы химических и
структурных  "строительных блоков",  значение  которых можно понять только в
естественных  условиях  их  существования.  Современный биохимик никогда  не
ограничится  простым  определением  гликогена,  если  ему нужно  исследовать
действия кортизона  на обмен гликогена (одного из сложных сахаров) в печени.
Он  почувствует, что  ему необходимо изучить участвующие в синтезе и распаде
гликогена ферменты,  а также продукты обмена гликогена,  энергопродуцирующие
вещества и  т. п. В  то  же время он должен  быть вполне готов  воспринимать
вводимый им кортизон в качестве "агента".  Самое  большее, о чем  он  должен
позаботиться,- это чтобы подопытные животные получали  во время эксперимента
одну  и  ту  же диету либо голодали.  Известно,  что  некоторые  биологи  не
ограничивают  себя изучением  единственного причинного  фактора и  исследуют
одновременное действие двух или трех факторов. Они могут,  например, изучить
действие кортизона и дезоксикортикостерона или даже того и другого вместе да
еще плюс  такой  фактор, как, скажем, удаление надпочечников, однако  дальше
этого они, как правило, не идут.
     На мой взгляд,  по части анализа причинных связей современная  биология
далеко отстала от своих же собственных достижений  в области анализа материи
химическими и физическими методами. Вместе  со своими коллегами  я  затратил
много лет на доказательство того, что в зависимости от  огромного числа  так
называемых  "обусловливающих  факторов" один и тот же  агент  может вызывать
диаметрально  противоположные действия, или  качественно различные действия,
или вообще никаких действий. Эти обусловливающие факторы также важны и также
должны являться предметом анализа.
     Я считаю, что те, кого особенно интересуют вопросы  причинности, должны
использовать в  качестве  индикатора  самое простое и  наиболее  характерное
изменение в  органе,  являющемся  объектом воздействия.  Исследования такого
рода действительно крайне сложны, но эта трудность объясняется не стоимостью
оборудования  и  не  тем,  что  необходимо привлекать  методы, разработанные
другими  специалистами,  а  проблемами,  связанными  с созданием  патогенных
ситуаций.  Нам  надо  разработать  оригинальные методы  анализа  совместного
функционирования  всех  сложных  систем, к  которым  прибегает  Природа  при
выполнении конкретных задач.







     Мы уже говорили, что подлинное открытие может быть сделано лишь  в ходе
таких исследований, которые обычно именуются "фундаментальными".  То, что за
этим  следует, -  это  его  развитие. Исследование  является фундаментальным
именно  потому,  что все прочие  виды  исследований  вытекают  из него;  оно
кажется нам  непрактичным,  а связанная с  ним работа случайной, потому  что
всецело оригинальные  наблюдения не  могут  планироваться заранее Если же не
отказываться  от  планирования,  то  тогда  наблюдение  должно носить  такой
характер, чтобы его можно было предсказать на основе ранее известных фактов,
и, стало быть,  его нельзя считать целиком оригинальным. Вот почему  большая
часть совершенно новых шагов  в  науке  - это случайные  находки,  сделанные
людьми  с  редким  талантом  замечать  нечто  абсолютно  неожиданное.  Такие
открытия  впоследствии образуют основу всех планируемых  исследований, всего
того, что я называю развитием.
     Мне могут возразить,  что любая преждевременная оценка фундаментального
исследования заранее обречена на провал,  ибо нельзя предвидеть неожиданное.
До  некоторой  степени  это  справедливо.  Не  существует  надежной меры для
сравнения относительной важности фундаментальных исследовательских тем, но я
считаю,  что  некоторые общие принципы сформулировать можно. К  ним  следует
относиться не как к жестким рамкам,  а скорее как к  некоей линии оценки,  с
помощью  которой мы  распознаем  и  используем  подлинно творческую  научную
мысль.
     С  моей  точки  зрения,  для  всех   великих  фундаментальных  открытий
характерно  одновременное  и ярко  выраженное наличие  трех качеств: они  не
просто истинны, но истинны в высшей степени и  в очень специфическом смысле;
они поддаются обобщению; они неожиданны  в свете того, что было  известно ко
времени открытия.

     Открытие  должно  быть   истинным.  Это  утверждение  может  показаться
наивным. Однако в  науке вещи не являются абсолютно  истинными либо ложными;
они могут  считаться  таковыми лишь  в  рамках определенной  аксиоматической
системы и  в некоторых  пределах, которые носят статистический характер и на
основании которых можно судить о вероятности повторения того же наблюдения в
будущем,  если мы  попытаемся  воспроизвести  его.  Степень этой вероятности
естественным образом влияет на важность открытия.
     Даже если наблюдение обладает высокой степенью истинности в том смысле,
что   у   него   мала   стандартная  ошибка   (т.   е.   велика  вероятность
воспроизведения),  истинность  этого наблюдения должна  выражаться  и в  его
адекватной  интерпретации.  В  противном  случае  находка  может привести  к
заблуждениям  из-за тех  выводов и следствий,  которые  могут быть  из  него
сделаны. Не  так  давно  один  химик  попытался  получить препарат,  который
вызывал бы уменьшение аппетита  и  потерю  веса. После нескольких лет работы
ему удалось  создать лекарство, соответствующее теоретическим представлениям
о том, какую структуру должно иметь такого  рода вещество. Затем  он испытал
препарат  на крысах, кошках, собаках и обезьянах. Как и  ожидалось, животные
ели  очень  мало  и теряли  в  весе.  В статье, описывающей результаты  этой
работы,  он объяснял, почему, по  его  мнению,  лекарство с такой химической
структурой  должно  действовать  подобным  образом.  В  общепринятом  смысле
полученные результаты были  истинными,  но в  том смысле, как я  представляю
дело,  они  были  ложными. Известно ведь,  что почти любое  вредное вещество
уменьшает аппетит,  а созданное им вещество было вредным.  Автор не  отрицал
этого  факта, не признавал  его,  он  даже  не  рекомендовал свой препарат к
применению. И все  же написанная  им  статья подразумевала последнее,  а это
значит, что ложный результат  скрывался в подтексте. Если бы ученый понимал,
что созданный им  препарат может повредить здоровью, он бы  ни в коем случае
не  написал  статью.  Мало  кто  сознательно публикует  неправду, но  многие
научные статьи содержат в подтексте ложные выводы.
     Даже если научная  находка  по всем стандартам истинна, она  может и не
быть  значимой.  Недавно  я  прочел  статью  об  определении  среднего  веса
внутренних органов лабораторных животных  (крыс). Приведенные автором  факты
были   корректны   -   он   прикончил    сотни   животных   для   построения
последовательности, обладающей высокой значимостью. Но ценность полученной в
результате  информации оказалась  весьма  ограниченной,  ибо ее  нельзя было
обобщить, не  говоря уже  о  том,  что  эта  информация не  могла  считаться
неожиданной.  Она не поддавалась обобщению,  поскольку  из  нее нельзя  было
вывести  никаких общих законов; что  же касается неожиданности, то  и так  с
самого начала было ясно, что путем измерения можно найти средний вес. Работа
такого рода не только не может быть определена как "фундаментальная", но и в
прикладной области  она  едва ли  найдет  сколько-нибудь широкое применение.
Лучшее, что можно сказать о ней,- это то, что она может пригодиться кому-то,
кто  нуждается  в  этих  цифрах  в  качестве  стандарта  для  сравнения  при
проведении оригинальных  исследований, но именно  такое исследование и будет
фундаментальным. Научная литература  переполнена подобными  отчетами, авторы
которых  привычно прикрываются фарисейским  утверждением о  том, что  они не
делают никаких выводов из своих наблюдений. Но это не оправдание - факты, из
которых нельзя сделать выводов, едва ли заслуживают того, чтобы их знать.
     "Скрининг"  -  "просеивание"  -  это  столь  же  лишенный  воображения,
примитивный тип исследования.  Клиницист может "просеять" (в более или менее
случайном  порядке)  массу  производных кортизона  с тем,  чтобы посмотреть,
какое  из  них  лучше   всего  действует  на  пациентов   с   ревматическими
заболеваниями. И все-таки  это опять развитие  ранее известных фактов, а  не
оригинальное творческое исследование.
     В   подобной  работе  мы  руководствуемся  дедуктивными  рассуждениями,
помогающими  нам  в   конкретном  случае  предсказывать   нечто  на   основе
предварительно  сделанного  обобщения.  Если  большинство  кортизоноподобных
соединений эффективны против  ревматизма, то и любой  вновь  полученный член
данной  группы  также  может  считаться перспективным в  этом  отношении. Но
дедукция сама  по  себе  не  поддается  обобщению. Такая работа может  иметь
немедленное практическое применение, обеспечивая нас, быть может,  идеальным
антиревматическим  средством, а вот в подлинно научном смысле она бесплодна,
ибо, коль скоро такое вещество найдено,  наблюдение  на  этом заканчивается,
оставляя мало шансов на дальнейшие открытия.
     К  сожалению, такие  бесцветные исследования легче всего финансируются,
так как и  план работы, и практическая их  значимость могут быть с точностью
описаны в стандартной заявке на выделение средств.

     Открытие должно вести  к обобщениям. Другого  вида наблюдения поддаются
индуктивному  обоснованию,  т.  е.  формулированию  общих законов на  основе
отдельных  наблюдений.  Но  и  этого  свойства недостаточно. К примеру, было
установлено,  что первые десять полученных  в чистом виде  гормонов - белого
цвета. На  основании этого можно было бы сделать обобщение и с большой долей
вероятности  предсказать,  что следующие  пять  гормонов,  когда их  удастся
синтезировать, тоже будут белыми. Так оно и получилось, но что из того? Кого
волнует, какой цвет будут иметь гормональные препараты? Наблюдение,  как  мы
видим, было и истинным, и с обобщением все было в порядке, однако оно лишено
третьего  существенного  качества фундаментального исследования, а  именно -
неожиданности  открытия ко времени его  осуществления. Большинство составных
частей организма  человека в результате очищения имеет  белый цвет  - что же
удивительного в том, что гормоны тоже белые?

     Открытие должно быть удивительным. Я вспоминаю свое изумление, когда во
время  учебы  на медицинском факультете  узнал, что некоторые патологические
образования в  яичниках человека, так называемые "дермоиды" могут иметь зубы
и волосы.  Это  медицинский  курьез,  но он не обладает - по  крайней мере в
настоящее время - свойством вести к обобщению. Единственное, что мы сейчас в
состоянии  сказать,-  это  что  иногда, даже и  без оплодотворения, яйцо.  в
человеческом яичнике может развиться в урода, состоящего в основном из волос
и  зубов  Все это было  известно еще с тех пор, когда в XVII в немецкий врач
Скультетус  дал  первое полное описание того, что он назвал  "morbus pilaris
mirabilis"  -  "удивительной  волосяной  болезнью".  Мартин  Лютер  именовал
"дермоиды" "отпрысками дьявола".
     На протяжении многих  веков врачи, да и другие люди, сталкиваясь с этой
аномалией,  одинаково   ей  поражались  Но  она  не  открыла  никаких  новых
горизонтов  для исследования.  Причина этого, как  мне кажется, в  том,  что
наблюдение  было сделано слишком рано. Даже сегодня  мы  еще не  в состоянии
оценить его. Это своего рода  загадочный остров, удаленный от уже нанесенных
на карту областей человеческого  знания. Возможно, что позже, когда мы будем
больше осведомлены об- оплодотворении,  размножении без оплодотворения  и  о
факторах, управляющих формированием человеческих  органов, "отпрыск дьявола"
превратится в ангела, ведущего нас к разрешению загадок Природы. Однако одно
только  знание об  этом  природном курьезе  ничего нам  не  дает. Скультетус
увидел его, но не открыл.

     Открытие должно быть одновременно и  истинным, и неожиданным и вести  к
обобщениям. Основной особенностью подлинно великих открытий является то, что
они не  только истинны (в том смысле,  в каком они выглядят таковыми с нашей
точки  зрения),  но и  в  высшей  степени  способны  вести  к  обобщениям  и
неожиданны  в рамках  своего времени.  Это  справедливо, скажем, в отношении
открытия  Г. Менделем  законов  генетики,  открытия  Рише  и  Пирке  явления
аллергии  или открытия антибиотического действия плесени Флемингом, Флори  и
Чейном.







     Успех  исследования в большой  степени зависит  от того, в какой момент
истории,  в  какой  период  жизни  ученого и  даже  в какое  время  дня  оно
выполняется. Сознательный анализ временных факторов может значительно помочь
нам сделать свою работу полезной и приятной.




     Когда   открытия   делаются   преждевременно,   они   почти   наверняка
игнорируются  или   встречают  труднопреодолимое  сопротивление,  поэтому  в
большинстве  случаев  они  могли  бы  с таким же  успехом и  вовсе  не  быть
сделанными.

     У. Беверидж

     Можно часто слышать,  как о каком-нибудь ученом говорят,  что его время
еще  не пришло. Оно, может быть,  и так,  но я сомневаюсь, что всю вину надо
взваливать на время. С моей точки зрения, научный гений должен быть способен
оценивать  возможность  реализации  своей  работы.   Бесполезно  планировать
работу,  для  которой нет  еще подходящих средств, или развивать  теории,  к
которым  человечество еще совсем  не  подготовлено,  если  только  мы  не  в
состоянии сами создать нужные средства ИЛИ объяснить свои концепции словами,
понятными по крайней мере избранным из наших  современников. Работа тех, кто
пренебрегает этими требованиями, легко забывается и теряется навсегда; когда
придет  время, ее  нужно  будет  делать  вновь,  но... другим.  На  практике
трогательная фигура непонятого и  непризнанного  гения  находится  в опасном
соседстве  с фигурой хорошо всем понятного психа - и тот,  и другой излагают
непрактичные идеи, сеящие хаос.
     В любом случае человек, идеи которого выглядят далеко опережающими  его
время, должен сосредоточиться  на средствах доказательства своей позиции,  а
не  тратить всю жизнь на бесплодные попытки уговорить  человечество признать
свою  правоту. Исследование может быть полезным для человечества и  принести
удовлетворение  самому  ученому, только  если оно выполнено в  такое  время,
когда  может  встретить интерес и  понимание. Атомная теория  материи  в том
виде, как она была  выражена Демокритом, оказалась  преждевременной и, стало
быть,  для  того   времени  бесплодной,  так  как  не  существовало  никаких
практических  средств   доказать  либо  опровергнуть  ее.  Позже,  в   эпоху
средневековья,  когда  стало  возможным  доказать  существование  химических
элементов, алхимики, движимые надеждой  на  преобразование одного элемента в
другой,  пытались  получить  золото.  Недавно  корректность  этой  идеи была
доказана,  и  все  же  к  алхимикам  по   справедливости  относились  как  к
эксцентричным фантазерам, поскольку в  их  время предпринимаемые ими попытки
были  не  более  чем мечтой. Все  фантазии  содержат  в  себе  зерно истины;
гениальность  же состоит в том, чтобы суметь распознавать такие фантазии, из
которых это зерно можно извлечь. Те, кто сотни лет назад мечтал о полетах на
Луну, не могут претендовать на  приоритет в области  современных космических
исследований.  Даже  если в будущем станет  возможным  продлить человеческую
жизнь  на несколько сотен лет,  современного врача, предсказывающего это, не
стоит считать великим пророком.
     Ситуация несколько меняется, если фантазия представляет собой не просто
банальное   благое  пожелание,  а  интуитивное  предвидение  некоей  скрытой
плодотворной  истины, до поры до времени недоступной для  других. Если  этот
истинный факт, не являясь в  данный момент объектом исследования, достаточно
близок к уровню знаний своего времени, он может побудить других специалистов
создать  соответствующие  средства  и  методы. В  первом  своем варианте,  в
формулировке Фракасторо{27},  идея о  переносе заразы  невидимыми крохотными
существами не могла получить  экспериментального подтверждения, поскольку не
существовало микроскопов  или других  средств ее  проверки.  И  все  же  эта
интригующая мысль  подспудно тлела до тех пор, пока  ею не занялись Пастер и
Кох,  дав,   вероятно,  толчок  для   последующего  развития  микробиологии.
Сформулированная второй раз идея  неразличимых  под микроскопом переносчиков
инфекции  была  непрактичной, но  она, несомненно, послужил  а  стимулом для
поиска вирусов на третьей  стадии исследования, когда стали доступны  методы
ультрафильтрации и электронной микроскопии.
     Простое   хотение  (полностью  непрактичная  фантазия)  отличается   от
интуитивного предвидения чего-то, что еще  далеко не очевидно,  но что имеет
шансы  стимулировать   дальнейшие  исследования  в  тот  момент,  когда  это
интуитивное предвидение еще не выражено или по крайней мере еще не забыто.
     Открытие Менделем основных принципов генетики  игнорировалось в течение
тридцати пяти  лет  после  того,  как о нем не только  был сделан доклад  на
заседании научного общества, но даже  опубликованы его результаты. По мнению
Р.   Фишера  [10],   каждое   последующее  поколение  склонно   замечать   в
первоначальной статье Менделя только то, что обкидает в ней найти, игнорируя
все  остальное. Современники Менделя видели в  этой  статье  лишь повторение
хорошо  к тому времени  известных экспериментов  по  гибридизации. Следующее
поколение   поняло   важность   его   находок,   относящихся   к   механизму
наследственности, но не смогло полностью оценить их,  поскольку эти находки,
казалось, противоречило особенно  горячо  обсуждавшейся  в  то время  теории
эволюции.  Позвольте,  кстати,  добавить,  что  знаменитый  статистик  Фишер
перепроверил  результаты Менделя  и  заявил, что при обработке  современными
статистическими методами выводы отца генетики демонстрируют явное смещение в
пользу ожидавшихся результатов.
     В  своей  собственной работе  я  постоянно руководствуюсь соображениями
правильного выбора  времени для  работы.  Никакое биологическое исследование
никогда не  кончается. Каждое новое  наблюдение  ставит новые проблемы, и мы
обычно приходим  к ситуации, когда дальнейшая работа в избранном направлении
становится неэффективной - как бы мы ни были заинтересованы в решении данной
проблемы -  просто потому,  что  время  для нее  еще не пришло. К примеру, я
считаю,   что  наша  работа,   показавшая,  что  стресс  в   зависимости  от
обстоятельств   может  как  вызывать,  так  и  предотвращать   возникновение
сердечных  некрозов,  вполне  может  оказаться  самым важным  и  практически
применимым результатом  всех наших исследований по стрессу. И все  же, как я
ни был заинтересован в  этой работе, я решил прекратить  ее, по крайней мере
временно, когда  понял, что при моей подготовке  и  возможностях я не  смогу
сколько-нибудь существенно ее развить. Пришло  время,  и я почувствовал, что
дальнейший  реальный   прогресс   должен   обусловливаться  клиническими   и
биохимическими исследованиями.
     Проблема  представлялась  мне столь  важной, что я  даже  подумывал  об
изменении  характера  своей   деятельности   и  о  возврате  в  клинику  или
биохимическую  лабораторию,  с  тем  чтобы  участвовать  в  разработке  этой
проблемы вплоть до стадии практического применения. Впрочем, я не решился на
этот  путь,  так как  понимал, что  мы уже описали  экспериментальную основу
своей  работы в  достаточной степени,  чтобы компетентные специалисты смогли
продолжить  ее  дальше.  Мы  опубликовали  многочисленные  статьи  в  широко
читаемых и  респектабельных журналах  и дали  подробные обзоры этой  области
исследования в двух монографиях, что  обеспечило доступность соответствующей
литературы   для  других   ученых.  После   этого   требовался  определенный
инкубационный период,  чтобы  значение  и  потенциальные  возможности  нашей
работы  стали  общепризнанными.  Я  рассчитывал (и, как  оказалось,  не  без
оснований),  что  клиницисты  и  биохимики, обладающие  в  отличие  от  меня
специальной квалификацией, с большим успехом, чем я, продвинут эту проблему.
А  тем временем наша группа смогла бы переключиться на другие  вопросы,  для
исследования которых мы были лучше подготовлены.
     Той же  линии  мы придерживались  и  в  отношении  более  ранних  общих
исследований по  стрессу.  Мы  не  делали  практически  ничего  ни  по части
клинических  применений,  ни   в  области  фундаментальных  исследований  по
биохимии  стресса  и стрессовых -гормонов. Но после того,  как  были описаны
основные принципы  и прошел период созревания, проблема  стала развиваться и
развивается до сих пор, причем весьма эффективно и без нашего вмешательства.
Это дало нам возможность переключить свое внимание на кальцифилаксию. Здесь,
как мне кажется, мы с  нашей подготовкой и имеющимися средствами  еще многое
можем  сделать,  но  я твердо  намерен  расстаться с этой  темой, как только
почувствую, что нам осталось внести в ее развитие не так уж много нового.
     Все,  что  может  сделать любой  ученый,-  это продвинуть  проблему  на
несколько  шагов  дальше  своих  предшественников,  а  затем  он  должен  по
собственному желанию уйти со сцены, уступив место другим, т. е. тем, кто уже
располагает  - или  через несколько лет, десятилетий или  даже  веков  будет
располагать   -  средствами,   необходимыми  для   достижения  значительного
прогресса в ее развитии. Хорошо обоснованное  наблюдение одинаково  истинно,
где бы  и когда  бы  оно  ни  было сделано,  но не  одинаково  полезно.  Его
теоретическая оценка и практическое приложение в большой степени зависят  от
современного состояния знаний в сопряженных с ним областях.




     Творческие способности,  как  правило,  проявляют себя циклически.  Нет
сомнения, что наивысшая продуктивность не может поддерживаться непрерывно на
протяжении  всей жизни,  но я  сомневаюсь, что  периодичность  бывает  столь
регулярной,  как это стараются  представить  авторы биографий.  Понятно, что
после  скачка,  способствующего  открытию  новой области  в  науке,  чередой
последуют  публикации;  затем,  когда   проблема  исчерпает  себя,  наступит
затишье, пока  не  наберется достаточно материалов  для следующего  крупного
шага.  Периоды  высокой  продуктивности  обычно  -  и  это легко объяснить -
сопряжены  с  сильным  и  приятным   возбуждением,  а  периоды  застоя  -  с
депрессией. На этом основании творческая периодичность иногда трактуется как
своеобразное  маниакально-депрессивное  состояние.   Правда,  с  моей  точки
зрения,  очень  трудно  проверить,  являются   ли  возбуждение  и  депрессия
причинами или следствиями этих циклов продуктивности.
     В   моей  собственной  работе   периодичность  весьма  очевидна,  но  в
длительности  циклов я  не могу  обнаружить  никакой  регулярности.  Когда я
обнаруживаю  чте-нибудь  новое   и   это  дает  мне  возможность  заниматься
интересными  вещами,  я  занимаюсь этим до  тех пор, пока у меня не появится
ощущение, что мой конкретный опыт и уровень компетентности  не позволяют мне
продвинуться  существенно дальше. Тогда я оставляю этот предмет, по  крайней
мере на время. Поскольку в течение всей своей жизни я  нахожусь по отношению
к науке  в состоянии  постоянного маниакального возбуждения, то по окончании
той или иной  темы я никогда  не мог передохнуть, а  просто  переключался на
следующую. Сначала я занимался проблемой половых гормонов и лактацией, потом
стрессом,  затем  были  анафилактоидные  воспаления,  стероидная  анестезия,
эндокринная функция  почек,  а в настоящий  момент меня волнуют возможности,
таящиеся  во вновь открытом явлении кальцифилаксии. Перемена темы давала мне
ровно столько отдыха от предыдущей работы, сколько  мне было необходимо,-  и
это абсолютная правда!
     Из  всего  этого  я могу извлечь  лишь один  урок относительно наиболее
благоприятного для занятий наукой  периода жизни: пока тема движется хорошо,
держитесь  за  нее;  когда  все  начинает приедаться  и вы  чувствуете,  что
погружаетесь в рутину,-  не расстраивайтесь, а  просто  меняйте тему. Всегда
найдется  такая  работа,  которая вдохновит вас  своей  новизной.  По поводу
наилучшего  возраста  для  творческого  научного  мышления  писалось  много.
Обобщать  здесь  трудно.  Эварист  Галуа (1811--1832)  создал  новую  теорию
алгебраических  уравнений, представленную им  Парижской Академии наук, когда
был еще  шестнадцатилетним  школьником. В  девятнадцать  лет  он опубликовал
работу, которая  стала классической и благодаря которой он был признан одним
из   величайших  математических  гениев  всех  времен.   Впрочем,   подобная
"скороспелость"   имеет   место   почти  исключительно   среди  математиков,
музыкантов, художников и поэтов. Вряд ли стоит ее ожидать в медицине, физике
или химии, где необходимыми качествами являются опыт и эрудиция.
     Но все  же и здесь есть исключения, Бантингу было двадцать с небольшим,
когда  он  открыл инсулин,  а Лаэннек{27а}  изобрел аускультацию в  двадцать
пять. Огастус  Уоллер был студентом первого  курса университета, когда начал
свои  исследования   "Уоллерова   перерождения",  происходящего   в  нервных
волокнах,  отделенных  от  ядра.  Когда  великий  физиолог  и  физик  Герман
Гельмгольц опубликовал свои результаты  по ферментативному действию дрожжей,
когда Пауль Лангерганс открыл названные его именем панкреатические островки,
вырабатывающие  инсулин,  когда Пауль Эрлих открыл "тучную клетку"{27б}, все
они еще учились на медицинском факультете.
     Трудно   заниматься   самоанализом,  ибо  мало  кто  из   нас  обладает
достаточной объективностью, считая свои достижения  не такими важными, чтобы
их стоило  использовать  в  качестве  примеров.  Кроме того,  к концу  своей
карьеры  мы  можем  утратить  объективность  до  такой  степени,  что  самое
последнее  и  излюбленное  наше   наблюдение  приобретет  непропорциональную
значимость. Мне было двадцать восемь лет, когда я описал стрессовый синдром,
и пятьдесят  пять - когда "наткнулся" на кальцифилаксию, и вот  сейчас мне в
равной степени нравятся оба предмета исследования.
     Во всяком  случае,  важные  открытия  в  медицине, сделанные  в  раннем
возрасте, нередко остаются одиночными  достижениями, за которыми  не следуют
другие проявления таланта. Правда, в  ряде  случаев  они  обеспечивают запас
энтузиазма   и  научного  материала  "на  всю  оставшуюся  жизнь"  и  ученый
продолжает делать  первоклассные  работы, даже не создавая больше концепций,
обладающих фундаментальной новизной.
     По   словам  Рише,   в  экспериментальной   медицине   "...значительная
умственная продуктивность в среднем начинается в возрасте двадцати пяти лет,
но в  других науках этот пик  ближе к  тридцати пяти. Кроме того, существует
так  много  исключений,  что я  не решаюсь сформулировать некое правило.  Во
всяком  случае, очень  редко  бывает,  чтобы  выдающийся  математик  еще  не
представил доказательств  своего гения  к двадцати пяти годам, а  выдающийся
биолог не  сделал ничего ценного  к тридцати пяти... В целом  же с возрастом
изобретательность быстро  уменьшается.  Это  обидно,  но  это  правда. Когда
человеку  за  пятьдесят,  у  него  почти  не  бывает новых  идей--он  просто
повторяет самого себя..." [16]. К счастью, не все из нас уверены в этом.



     Одни исследования лучше удаются молодым ученым, другие  - более зрелым.
Непредвзятый, свежий взгляд на вещи дается с большей легкостью, когда ты еще
не  перегружен   знаниями   и  не  скован  устоявшимися  навыками  мышления.
Монотонная,  надоедливая  работа не так  приедается,  если ты еще  не  успел
сделать ее  слишком  много.  Бесконечные часы стояния  у  лабораторного  или
операционного стола  даются легче, когда ноги  еще  не износились  за многие
десятилетия их эксплуатации. Абсолютно новая оригинальная идея приходит, как
правило (хотя  и не всегда), в начальный период научной  деятельности, т. е.
тогда, когда самые первые и  потому наиболее  трудные  препятствия на пути к
подтверждению этой идеи могут быть преодолены относительно успешно.
     В то  же время  опыт и авторитет перевешивают все эти преимущества, как
только  дело  доходит до  сложных проблем  координации и  развития  обширной
области науки.  В этом  случае наиболее существенными  становятся как раз те
качества, которые формируются с возрастом: практика наблюдения, знакомство с
множеством  методов, широкое знание  литературы и способность  руководить  в
сочетании с  опытом  понимания своих  коллег.  Для  широкомасштабной  работы
такого рода необходимы также значительные технические  и финансовые средства
и большой штат  сотрудников. Ход такой работы ускоряется,  если лежащая в ее
основе концепция, равно как и ее автор, уже получили определенное  признание
в мире.  В таком  случае  представители других областей  знания скорее будут
склонны вникать в специфические аспекты разрабатываемой проблемы.
     Все эти качества приходят  лишь со  временем.  Вот  почему  руководство
обобщающими  исследованиями в широких областях  знания  лучше  всего удается
зрелым и опытным ученым. Впрочем, такая работа - превосходная подготовка для
молодых  членов исследовательской  группы.  Как  бы  ни был  одарен  молодой
человек, он не может  просто заставить себя открыть новый оригинальный факт.
Он должен начать с такой работы, которая дала бы ему возможность наблюдать и
размышлять. Вдохновение как раз и приходит  в процессе такой деятельности, и
одним  лишь усилием  воли его не вызовешь. Поэтому я настоятельно рекомендую
молодым ученым начинать свою  карьеру в составе группы и, кроме этого, вести
собственные оригинальные исследования на  любую тему, которая представляется
им заслуживающей внимания.
     Настоящей  трагедией  является  сверхспециализация,  увеличивающаяся  с
возрастом,  а  также  вынужденное  отвлечение  внимания  от  избранного поля
деятельности. Сочетание  этих двух факторов оказывает наиболее  парализующее
влияние  на пожилых  ученых. С  течением времени  они  становятся все  более
искусными в своей специальности, но, как я уже  говорил, все общество как бы
вступает в заговор, чтобы погубить их плодами их же собственного успеха. Они
должны выполнять  почетные  представительские  функции,  руководить крупными
институтам, создание которых  они  раньше пробивали;  они вынуждены  тратить
время  на  просмотр  работ  (часто  очень  посредственных)  молодых  коллег,
претендующих  на степени, премии  и  т. п.;  их  приглашают  рассказать  или
написать о своих  прошлых достижениях. Они, быть может, даже сумели накопить
некоторый капиталец  и приобрести кое-какую собственность, но ведь требуется
время,  и  притом изрядное, чтобы распоряжаться всем этим. Так и получается,
что ученому некогда думать  о той  конкретной научной работе, для выполнения
которой он полностью подготовлен и которая его интересует.



     Переход   от   курируемой   руководителем  работы   к   самостоятельной
деятельности - едва ли не самый  трудный период в жизни начинающего ученого.
Вплоть  до  этого  момента   он   работал  либо   в  составе   группы,  либо
самостоятельно, но в любом случае - под наблюдением руководителя. Хотя ранее
он мог  весьма активно  участвовать не только  в непосредственном выполнении
работы,  но  и  в  ее  планировании,  он  не  осознавал  всю  степень  своей
зависимости  от  научного руководителя.  Теперь  же он в  ужасе,  ибо  не  в
состоянии самостоятельно придумать ничего оригинального; все,  что  приходит
ему в голову,- это перепевы уже сделанного им под руководством шефа.
     У нас в лаборатории  мы называем это время "периодом отделения", или, в
просторечье,  "временем перерезания  пуповины". Период этот может  протекать
очень болезненно. Молодой ученый, который полон уверенности в себе, внезапно
впадает в панику: пытается выполнить первый попавшийся под руку эксперимент,
лишь бы замысел эксперимента принадлежал ему самому и  не зависел от советов
со стороны. Разумеется, одного желания самоутвердиться явно недостаточно для
проведения фундаментальных  исследований,  и  потому  подобные  лихорадочные
попытки, как правило, ни к чему не приводят.
     Затем наступает период "козлов отпущения". Новичок не желает признавать
своих  просчетов   и  начинает  поиски  "уважительных  причин":  не  получил
необходимых средств и  материалов;  много времени уделял семье; его добротой
пользуются  коллеги; его неправильно  обучали;  если  начистоту,  то его  не
больно-то  интересуют все эти крысы  и прочие лабораторные дела, уж лучше бы
он  пошел в клиническую медицину; и, наконец, он  и так  везет на себе целый
воз административных и  преподавательских обязанностей. А хуже всего то, что
шеф  и  коллеги не проявляют  никакой  заинтересованности в  его работе!.. В
результате  он   настолько  теряется,  чувствует  себя  таким  униженным   и
оскорбленным, что  полностью  признает свое поражение. Многие молодые ученые
бросают научную карьеру, ради которой они  столь усердно трудились, именно в
этот критический момент, когда она как раз должна была начаться.
     Если  же обескураженный  новичок  не  бросает  науку, он находит  массу
способов  отдалить  тот  проклятый  день,   когда  ему  придется  прийти   к
определенному выводу,  о  своих  способностях  и о своем будущем.  Он  может
бесконечно продлевать период стажировки,  прослушивать дополнительные курсы,
изучать  все  новые  и  новые  методики,  искать  дополнительную литературу,
пытаться  пройти стажировку за  рубежом или даже получить второй диплом. Все
планы  такого   рода   связаны  с  прекрасными,  четко  очерченными  целями,
символизирующими  некоторые вполне  определенные  достижения. Курс  пройден,
методика изучена,  диплом получен  - все  это  означает  прогресс. Даже если
взять   на   себя   преподавание   какого-нибудь   стандартного  курса   или
административную  нагрузку, это  послужит  приемлемым для  всех  оправданием
затраченного  времени.  К   тому  же  выполнение  таких  обязанностей  может
способствовать продвижению в должности и повышению оклада, что также создает
ощутимое и ободряющее чувство успеха.
     Но  берегись,  юноша!  Время  неумолимо  отсчитывает  свой  ход!  Можно
провести всю свою жизнь, готовясь к тому блаженному мигу, когда  ты казалось
бы, уже окончательно готов заняться  важным фундаментальным исследованием, о
котором столько мечтал. Всегда кажется,  что до создания оптимальных условий
для  этой  работы  осталось  совсем  "чуть-чуть",  но  это  "чуть-чуть"  ты,
возможно, так никогда и не преодолеешь,  если не поостережешься. А опасности
тебе  угрожают самые разнообразные, и все они ведут к не менее разнообразным
и ужасным формам деградации. С  головой утонув  в рутинной преподавательской
или  административной  деятельности,  ты  еще  начнешь  изображать  из  себя
мученика: "Ведь кому-то же надо этим заниматься..."'Можно за счет недюжинных
организаторских  способностей  заделаться  большим  начальником  и  в  итоге
заставить себя поверить,  что будто бы с вашим "кругозором и способностями к
руководству"  вы  можете  "делать науку"  чужими  мозгами.  Можно,  наконец,
признав свое поражение, уйти в практическую медицину.
     Когда  мы  обсуждали  методы исследования,  я  говорил:  ищите  методы,
подходящие к вашей задаче, а не задачи, подходящие к вашему методу. Примерно
так  же  формулируется  моя  рекомендация  относительно  вашей  карьеры:  не
пытайтесь  приспособить  свою научную и личную жизнь  к  вашему пока  еще не
нашедшему  подтверждения таланту  исследователя - сначала дайте способностям
проявиться, а уж затем подстраивайте к ним, насколько это возможно, всю свою
жизнь.  Я  считаю,  что  неплохой  способ достичь  самостоятельности  -  это
продолжать  работать, не  теряя  уважения  к  себе  и  вызывая  уважительное
отношение со стороны  окружающих  (ибо ведь вы получаете полезные результаты
под  началом своего научного руководителя), но только до тех пор, пока вы не
обнаружите что-то, заслуживающее самостоятельного изучения. А уж тогда пусть
вас не смущают ни обещания повышения по службе,  ни прибавка к жалованью, ни
преувеличенное чувство  долга. Переходите к самостоятельной работе как можно
быстрее.



     Коль скоро вы обрели независимость, могу дать вам лишь три рекомендации
в отношении временных факторов:
     1) сначала экспериментируйте на  уровне "пробирки", а уж потом  в более
широком масштабе;
     2)    проводите   эксперименты   в   соответствии   с   их   логической
последовательностью;
     3) "куйте железо, пока горячо".

     1. Когда мы хотим  доказать какой-либо  факт,  мы,  естественно,  горим
желанием  сделать это  как можно скорее,  а этого можно  достичь лишь  путем
широкомасштабного эксперимента. Но так же как химик пробует провести реакцию
сначала в  "пробирке",  а  уж потом в более крупных масштабах, так и биологу
следует  провести  предварительные  эксперименты   на  небольшом  количестве
животных, а  уж потом  переходить к статистически значимым экспериментальным
сериям.  Строгое  соблюдение этого  простого  правила -  даже  тогда,  когда
сгораешь от нетерпения,- может в конечном счете сэкономить массу времени.
     2. Порядок проведения экспериментов также чрезвычайно важен. Нет смысла
изучать одновременное действие трех  агентов до того, как  будет  определено
действие  каждого  из них в отдельности. Нет смысла устанавливать,  можно ли
вызвать  некую  биологическую  реакцию  у  пяти или  шести  различных  видов
животных,  пока не будет со всей  определенностью показано, что  по  крайней
мере  у  одного  вида  она  имеет место.  Ниже мы еще  поговорим  о  порядке
проведения  экспериментов, сейчас же я просто упоминаю об этом как о  важном
факторе.
     3. Едва ли стоит менять предмет исследований, пока он продолжает давать
интересные результаты. Работая над долгосрочными темами, такими, как стресс,
стероидная анестезия или кальцифилаксия, я часто испытывал искушение бросить
текущую  тему  и заняться неожиданно возникшей и крайне  любопытной побочной
линией  исследования.  Но  я  старался  устоять  перед   этим  искушением  и
впоследствии  редко об этом сожалел. Когда  долго трудишься на одной научной
ниве и приходит  время жатвы, лучше всего  начать сбор того урожая,  который
уже подготовлен, а не начинать засеивать семенами новое поле.




     Даже в течение одного и  того же дня есть подходящее и неподходящее для
тех или иных дел время. Люди сильно различаются по своей трудоспособности  в
утренние  или  вечерние часы,  и эти  индивидуальные  различия  в режиме дня
следует учитывать.
     Я,  к  примеру,   чувствую   себя  отдохнувшим,  свежим  и  настроенным
оптимистически по утрам,  с течением же дня  становлюсь все  более усталым и
теряю  оптимизм.  Если  мне   надо  сделать  что-либо,  требующее   от  меня
значительной  энергии   и   сосредоточенности  (как,  скажем,  писание  этих
заметок), я делаю  это  ранним утром, пока  на работе  никого нет  и чувство
уверенности  в  себе еще не по кинуло меня.  Другие занятия требуют  меньших
индивидуальных усилий, но  большего участия  других людей.  Поэтому основная
часть той работы,  которая  зависит  от  сотрудников  в  лабораториях  или в
административных подразделениях, выполняется в официальное  рабочее  время -
от 9.00 до 17.00. Наконец, когда для такой работы у  меня уже нет  ни людей,
ни сил,  я  провожу последние  час-два  своего  рабочего дня за микроскопом.
Изучение  гистологических срезов не требует  ни  большой энергии, ни чувства
уверенности в себе, ни напряжения мысли, да и помощь с чьей-либо стороны мне
тоже  не нужна. Подобный  наиболее пассивный вид занятий - вроде  пассивного
чтения книг, которым  я развлекаюсь  после обеда,- помогает мне расслабиться
по окончании рабочего дня.



     Если уж мне суждено сыграть  роль подопытной морской свинки пои анализе
распорядка  дня ученого,  я бы выбрал наугад один из своих типичных  рабочих
дней.
     4.30   утра.  Частичное   пробуждение.   Тридцать   минут   беседы   (о
кальцифилаксии) между сознательным и подсознательным "Я".
     5.00.   Полное  пробуждение.  Соскок  с  постели.  Зарядка   (эспандер,
приседания, отжимания, велотренажер). Бритье. Ледяной душ. Целую на прощанье
жену и детей  - они в  это время, не просыпаясь, издают неразборчивые звуки.
Готовлю на кухне завтрак и съедаю его.
     6.00. С трудом прохожу два  квартала  сквозь густой снегопад до гаража.
Еду на машине в институт.
     6.20.  Пара минут  дружеского  ворчания  о погоде  и  политике с ночным
сторожем. Поднимаюсь в кабинет. Закуриваю первую трубку.
     6.30.  Диктую  на  магнитофон черновой текст  для будущей книги "Тучные
клетки", а потом - эти заметки.
     8.30  Как обычно,  излучая  бодрость  и энергию, появляется  заведующая
секретариатом г-жа Стауб,  чтобы  обсудить повестку  дня:  считка  рукописи,
организация поездки с  лекциями  по  Европе,  ответы  на  письма, подготовка
именного указателя для книги  о тучных клетках, финансовые вопросы  - оплата
ремонта автомашины и обучения детей.
     8.40. Диктую текст для книги "Тучные клетки".
     9.00. Шум в коридоре - приходят все сотрудники. Мисс Сент-Обен приносит
распечатанную почту. Она уже  отделила все письма,  на которые будут посланы
стандартные  ответы  (пациентам,  которые  не  знают,  что  я не  практикую;
старшеклассникам,  которые просят о немыслимой помощи в связи с их школьными
рефератами  по стрессу; изобретателям, предлагающим для продажи лекарства от
рака), а также письма,  на которые ответят другие сотрудники (администратор,
библиотекарь,  сотрудники  редакционного  отдела,  заведующий  аспирантурой,
снабженец). Как всегда, я отвечаю на свою  личную  и научную корреспонденцию
сразу  же,  хотя  и  пользуюсь, насколько возможно, заранее  подготовленными
образцами  ответов (принятие  или отклонение приглашений для  чтения лекций,
организация посещения нашего института и т. п.).
     9.30. Обход лабораторий. Для  меня это самая важная часть дня. Вместе с
помощниками  я  прохожу по  всем  лабораториям,  чтобы  ознакомиться с ходом
экспериментов,  особенно  с  клиническим  поведением подопытных  животных, и
обсудить возможные изменения в работе с ними
     10.30  Патологоанатомическая  дискуссия. С  помощью руководителей  двух
основных  лабораторных  подразделений  я  произвожу все  вскрытия, используя
бинокулярную  лупу  и  укрепленную на  лбу  лампу,  и демонстрирую остальным
интересные   детали.  Окончательно   уточняются  планы  предстоящих  сегодня
экспериментов.  Обсуждаются  две   любопытные   свежие  статьи  по  стрессу.
Рассматриваются документы, подтверждающие  квалификацию  двух врачей (одного
из Италии, а другого--из Индии), подавших заявления в аспирантуру. Поскольку
я  не люблю,  чтобы мне заглядывали  через плечо,  когда  я  делаю  по  ходу
обсуждения конфиденциальные  заметки (а у нас теперь такой интернациональный
коллектив!), в целях  "секретности"  мне приходится писать  по-венгерски, но
русскими буквами, а это трудновато.
     12.15.  Снова   короткое   совещание   в  кабинете   с  г-ном   Мерсье,
администратором института,  по  поводу принятия на  работу  нового помощника
библиотекаря, структурных изменений в хирургическом отделении,  приобретения
ультрафиолетовой лампы, повышения зарплаты некоторым сотрудникам.
     12.30. Поскольку день солнечный, отправляюсь во  "Флориду" (лаборатория
Р-724)  обедать (гороховый суп, холодные котлеты, кофе, виноград - все это я
съедаю, нежась  на солнышке). Я раздет  до  пояса, а ниже тщательно укутан в
электроодеяло, спасаясь  от жуткого  холода.  После обеда читаю (все еще  на
восхитительном  солнце)  продиктованный  вчера (и  не столь  восхитительный)
текст "Тучных клеток".
     13.15. Опять кабинет.  Гаванская сигара и чтение работы д-ра Рене Белье
по реакциям кальцифилаксии.
     16.00. Изучение ежедневных результатов гистологических анализов и отбор
нескольких  слайдов  для завтрашней дискуссии. Шесть  слайдов  отбираются  в
качестве иллюстраций для диктовавшейся вчера статьи по кальцифилаксии.
     18.00.  Г-жа  Стауб  докладывает  о  телефонных  разговорах,  различных
сообщениях  и  о  работе  секретариата   за  день.  Она   приносит  также  в
перепечатанном виде надиктованные мною магнитофонные записи.
     18.15. Чтение полученных записей.
     18.40. Дорога домой на машине.
     18.55. Пятнадцать минут упражнений  на  велотренажере, дети в это время
докладывают о своих успехах в школе и играх.
     19.10. Ужин, во время которого играем с детьми в "географию" (я называю
города,  дети  должны  отгадать  страну).  У   Мишеля  опять  затруднения  с
Тегусигальпой,  Мари  на  прежнем  уровне,  набравший больше всех  очков Жак
завоевывает и  всю славу,  и  десять  центов, предназначенных  победителю. В
соответствии с домашними  правилами  с  подачей  десерта игра  прекращается,
чтобы мама могла высказаться. Мама высказывается.
     19.40. Все  идем в  спальню для  раздачи ежедневных  призов за успехи в
школе, в  играх  и за "географию"  (по десять центов)  и утешительных призов
(конфеты). Рисуем фантастических животных.
     20.00. Дети уходят. Читаю итальянский роман.
     21.30.  Тушится  свет.   Еще   пятнадцать  минут   полубессознательного
блуждания в мире кальцифилаксии. Затем спать... спать... спать...



     Каждый   вторник   мы   устраиваем   дискуссию  за   круглым  столом  с
библиографами, занятыми каталогизацией мировой литературы,- обычно на 15--30
минут.
     По четвергам мы проводим заседания за круглым столом, на которых каждый
аспирант  в течение десяти минут докладывает о ходе своей работы. За  каждым
докладом  следует   пятиминутная  дискуссия.  Председательствующий  на  этих
заседаний  д-р П.  Приоречи  очень строг в отношении регламента и заставляет
докладчиков  тщательно готовиться. Это - превосходная тренировка для будущих
участников  научных конференций, а кроме того, таким образом  поддерживается
интерес каждого из нас к работе других.
     В  зависимости от объема работы раз или два в неделю вместе  со  своими
ближайшими  сотрудниками  мы  проводим   совещания,   на  которых  обсуждаем
протоколы экспериментов, законченных за  время, прошедшее после  предыдущего
совещания, причем в более спокойной обстановке, чем на заседаниях за круглым
столом.
     Посещающих  нас студентов или членов научных обществ, заседания которых
проходят в  нашем городе, водят по  институту мои помощники, выполняющие эту
обязанность по очереди.  Затем я устраиваю  небольшой прием гостей у  себя в
кабинете.
     Вместе  со  своими  помощниками  я  частенько  выезжаю  для  участия  в
конгрессах или для чтения лекций. Мы также читаем несколько лекций (не более
десяти в год)  для  наших  студентов-медиков, но никто из  нас  не принимает
участия в административной и "заседательской" деятельности.







     Для фундаментальных  исследований необходим  благоприятный климат. Этот
довольно   трудноопределимый  фактор   зависит  от  общественного  понимания
потребностей науки в масштабах страны в целом, от благожелательных отношений
с  коллегами  в  пределах  научного сообщества и  от  доступных материальных
возможностей.  Все  эти  моменты  необходимо  учитывать  при  выборе   места
проведения научной работы.




     В   1923   г.  в  своем  красноречивом  призыве   к  созданию  наиболее
благоприятного  климата  для фундаментальных  исследований  и  к лучшему  их
признанию  со стороны общества  Шарль Рише отмечал, что пятьдесят  лет назад
никто не мог предвидеть появление телефона, телеграфа, авиации,  вакцинации,
множества новых лекарств. Теперь можно добавить, что и во времена Рише никто
не  мог  предвидеть  развития  телевидения, антибиотиков  или  искусственных
спутников.  Если  фундаментальная  наука  нуждается  для  самоутверждения  в
практических результатах, то  к этому списку можно было бы добавить и другие
достижения.  К сожалению, наряду с "кредитом" у  этой бухгалтерии  имеется в
равной  степени   впечатляющий   "дебет":   ядерное  оружие   -   тоже  дитя
фундаментальной науки, и если даже ограничиться  одним только им  (не говоря
уже о  химическом, биологическом  и  прочих видах оружия), то  оно способно,
будучи обрушено на человечество, перевесить все те  практические достижения,
которыми мы обязаны научному прогрессу.
     Именно потому, что плоды науки могут быть в равной  мере как полезными,
так  и  вредоносными, необходимо  понимание их потенциальных возможностей со
стороны   общества.  Известно,  что,  как  правило,  практический  результат
фундаментального исследования  сам  по себе ни  хорош  и ни  плох. Он являет
собой силу,  дарующую власть над природой,  над болезнью, над человеком. Эта
сила может быть обращена как на добро, так и во зло, в  зависимости от того,
как ее использует человек руками  своих лидеров или правительств. Осознавая,
что эта сила не  всегда может  быть подвластна его контролю, человек  боится
ее.   Наука   разрушает   многие   из   привычных,   взлелеянных   человеком
представлений. Она низвергает фальшивые божества, рожденные из предрассудков
и  суеверий.  А  потому  на  протяжении  столетий  человечество  безжалостно
преследовало многих своих выдающихся ученых.
     Великий  Галилей был изгнан с  родной земли  и  вынужден  скитаться  из
одного  города  в другой,  пока его  не бросили  в тюрьму  и не  потребовали
отречься от  своих открытий как от недостойных заблуждений. Декарт также был
изгнан,  странствовал, служил в  армии, был врачом, философом, математиком и
умер  на  чужбине.  Везалий{27в} был  вынужден  жить  бродягой,  подвергаясь
суровым  наказаниям  за  вымышленные преступления, и в конце концов  умер от
голода. Коперник не решался публиковать свои великие  открытия и увидел их в
напечатанном  виде   лишь  в   канун   своей   смерти.  Кеплер,  удостоенный
императорской пенсии, жил в нищете, ибо так никогда ее и не получил.
     Пусть не подумает читатель, что преследования такого рода были возможны
лишь  во  тьме  средневековья,- это  может  случиться  и  в высококультурном
современном  государстве,  как случилось, например, в гитлеровской Германии.
Научные  труды  Альберта Эйнштейна, Отто Леви,  Отто Варбурга{27г}  и многих
других величайших ученых Германии и всего  мира были объявлены "еврейскими",
а  значит,  неприемлемыми. Все эти  люди должны были бежать из своей страны,
ибо в наше время социальный демагог,  получивший доступ к средствам массовой
коммуникации,  с  гораздо  большей  легкостью,  чем  в  средние   века,   за
какие-нибудь  несколько  месяцев  может  так  дезориентировать  общественное
мнение,  что  слепая ярость  толпы обрушится  на  величайших  представителей
собственной национальной культуры, на церкви, на картины и книги, пусть даже
они и не  общепонятны. научиться использовать власть, которую  предоставляет
наука,  и  предотвращать злоупотребления ею мы  должны создавать условия для
того, чтобы  человеческое  общество  лучше понимало проблемы фундаментальной
науки.
     Существует весьма наивная точка зрения, согласно  которой лучший способ
предотвращения потенциально опасных  последствий науки - остановить развитие
самой  науки. Однако это не  только  нежелательно, но просто  невозможно. Ни
одна  страна не  захочет сделать первого  шага  в  деле объявления науки вне
закона, ибо навязываемое невежество вряд ли принесет пользу, а тем более  не
облагородит человека. Именно наука положила конец  голоду и  эпидемиям чумы,
опустошавшим в  эпоху средневековья  целые  страны. Наше  спасение не в том,
чтобы закрывать глаза перед Истиной, а в том, чтобы научиться не ослепляться
ее  светом. Если "отменить" науку, то  с таким  же успехом  можно  запретить
писать  или  говорить,  ибо  и  эти  действия  способны  оказаться  не менее
опасными. Даже  искусство  может быть использовано для  пропаганды низменных
целей. А без науки и искусства у человечества не будет иного пути для выхода
своей энергии, кроме войны и борьбы за обогащение.
     Единственное  приемлемое  решение  этой проблемы  -  обеспечить  лучшее
понимание  того,  что есть добро,  а что есть  зло, применительно  к  науке.
Достаточно  беглого  взгляда  на   национальный  бюджет   любой  современной
"цивилизованной" страны, чтобы  понять, что  в  основе нашего общества лежат
два  вида деятельности:  война и  коммерция.  Нормально  ли  это?  Может  ли
современное  человечество  создать  цивилизацию,   основанную  на   науке  и
искусстве?  Разумеется,   военная   промышленность  дает  работу   огромному
количеству людей. Но не  решит ли эту же проблему подготовка к войне  против
злых  сил  Природы?  Результатом   этой  борьбы  могло  бы  стать  продление
человеческой  жизни,  победа над раком,  увеличение  производства  продуктов
питания и, что самое важное, возвращение человеку цели, достойной человека.
     Нельзя  более допускать, чтобы  научный  гений  пребывал  в бездействии
из-за недостатка средств. Впрочем, проблема не просто в изыскании финансовых
средств  для  наших  ученых.  Чтобы  приспособиться  к  духу  века,  следует
пересмотреть всю  нашу  философию и все представления о  бытующих ценностях.
Как  каменный,  бронзовый и железный  века  характеризовались соответственно
использованием камня, бронзы и железа  так и наша эра, несомненно,  войдет в
историю как "Век  Фундаментальных Исследований". Благодаря  изучению законов
природы человек добился невиданного могущества, которое может привести нас к
самой яркой главе истории человечества - либо к ее последней главе...
     Зачем бороться друг с другом?  Не лучше  ли  вступить в борьбу со злыми
силами Природы? Зачем вступать в ожесточенное соревнование друг с  другом за
лучшие должности? Зачем одним народам пытаться истреблять другие в борьбе за
власть? Нашим самым могущественным врагом является Природа, но она же  может
быть и нашим самым добрым помощником.
     Если уж  человек обречен  вести  постоянную борьбу - а это, несомненно,
так,-  то  пусть  он меряется силами с единственным  соперником,  достаточно
могущественным, чтобы  поединок  был захватывающим,  и  достаточно  богатым,
чтобы   победитель  получил  бесценный   приз,-  соперником,  который  будет
существовать всегда, пока человек живет на Земле,- Природой!
     В этом мире существует два типа людей: создающие  богатства и борющиеся
за овладение ими.  Из них более счастливыми являются, вне сомнения,  первые.
Приобретение  богатства  -  лишь побочный продукт их увлеченности. Наверное,
можно создать цивилизацию, ориентированную на создание новых богатств, а  не
на борьбу за богатства других.
     До  недавнего  времени  большинство  из нас,  занятых  фундаментальными
исследованиями,  не считали  нужным  объяснять широкой  публике  суть  нашей
работы  и  ее  мотивы.  Нам  казалось  несколько  бестактным  обсуждать наши
специфические проблемы с людьми, не подготовленными в  достаточной степени к
пониманию всех  технических подробностей, а  привлекать  к себе  внимание мы
считали  нескромным. Мы чувствовали,  что своеобразный  мир  фундаментальной
науки понятен только живущим в нем. Любая попытка объяснить его общепонятным
языком представлялась  безнадежной  и  даже  ребяческой,  столь же тщетной и
наивной, как если бы мы захотели растолковать насущные проблемы американской
автомобильной  промышленности  вождю  африканского племени, не  имеющему  ни
малейшего  представления  ни об  Америке,  ни  о  ее  автомобилях.  Подобное
отношение  необходимо  изменить.  Нравится ему  или  нет, но  ученый  должен
периодически находить время, чтобы, покинув тишину своего кабинета, пытаться
содействовать общественному пониманию того, чем он занимается, ибо только он
в состоянии  это выполнить.  Лучшее, что я  могу сделать,- это  присоединить
свой голос  к голосам многих  ученых, начинающих  осознавать, что им следует
уделять некоторое время тому, чтобы поведать общественности о себе и о своей
науке.
     А теперь вернемся на  землю  и  попытаемся более четко изложить, какого
рода  климат наиболее  благоприятен для занятий фундаментальными  науками  в
существующих условиях.




     Творческие  потенции  лучше   всего  развиваются  там,  где  существует
подлинное  уважение к творчеству. Наличие такой  благожелательной обстановки
зависит  от  многих  факторов. Общество в  целом должно быть  подготовлено к
тому,  чтобы  с пониманием  относиться к  творческим  усилиям, поскольку его
отношение  начинает оказывать влияние  на  ребенка уже  в школьном возрасте,
когда его ориентируют на то, что вызывает восхищение учителей и родителей. В
течение   последующей  жизни   мотивацию  к   творческой  работе  продолжает
по-прежнему стимулировать  отношение к ней со стороны друзей, жены, семьи  и
окружения. Если общество таково, что культура в нем ценится  лишь на словах,
а  на  деле  преобладает  стремление к физическому  совершенству,  приятному
досугу и символам материального благополучия, то  лишь незначительное  число
творческих  людей   станет  развивать   свои  дарования  в  каком-либо  ином
направлении,  отличном от этих общепринятых ценностей. Если общество таково,
что  девушки  предпочитают  отпрысков  состоятельных  семей,  футболистов  и
эстрадных   кумиров,  то  искусство   и  наука  привлекут  к   нему  немного
новобранцев.  Если  общество  таково, что,  как явствует из  любого досужего
разговора (даже несмотря  на тщетные попытки скрыть это), практически каждый
мечтает о шикарном доме, драгоценностях, мехах, автомобилях и тому подобном,
что даже научные и художественные ценности измеряются в  денежных знаках,- в
таком  обществе  лишь  самые  независимые  индивиды  способны  противостоять
искушению воспринять банальные идеалы толпы.
     В  это  трудно поверить,  но  еще совсем  недавно, в  1925  г., в штате
Теннесси  (США) на печально  знаменитом "Обезьяньем процессе"  состоялся суд
над школьным учителем за преподавание теории эволюции. Да и сейчас во многих
штатах  этой  страны различные общества противников вакцинации  и вивисекции
продолжают  свою  деятельность,  препятствующую  прогрессу.  Чтобы  наука  и
культура процветали, нам необходимо произвести переоценку ценностей.
     В  истории  человечества  великие  периоды  расцвета  искусства и науки
совпадали с подлинным пониманием со стороны общества в целом,  и влиятельных
классов  в  частности, музыки,  живописи, литературы  и  просвещения.  Чтобы
достигнуть  процветания,  наука  должна  укорениться в  обществе,  уважающем
знание; неудивительно, что многим ученым в поисках такого климата приходится
покидать свое отечество.
     При  отборе  кандидатов  для  творческих профессий  должны  учитываться
способности и  ничего, кроме  способностей. Процесс разложения  современного
общества зашел так  далеко,  что кандидатов  для  научной  работы  отбирают,
исходя преимущественно  из наличия у них связей, богатства  или влиятельного
покровительства; немаловажное значение  имеют  также раса и  вероисповедание
кандидата.  В  результате  множество  претендентов,  обладающих  прекрасными
возможностями, исключаются из соревнования уже  на старте.  Верно,  конечно,
что отдельные сильные личности сумеют постоять за себя в любых условиях,  но
не менее верно и  то, что сын охотника из какой-нибудь деревушки в Уганде не
имеет ни малейших шансов стать великим физиком, ибо он никогда и не слыхивал
о физике. Можно взять примеры и поближе. Должен сказать, у нас в Канаде и  в
соседних США масса людей с выдающимися способностями к науке отсеиваются уже
в раннем детстве, ибо ничто из того, что они слышат или видят дома,  в школе
либо по  каналам средств массовой коммуникации, не побуждает их относиться к
научной карьере как к чему-то, чего стоило бы добиваться. В отличие от детей
в  примитивных  обществах  наших  детей  учат   уважать  науку,  однако  они
воспринимают  ученого как некое  абстрактное существо, которое проживает  на
страницах  учебников, а  не  по  соседству.  Сын  фермера  из  прерий  может
представлять  себя будущим футболистом высшей  лиги,  генералом, полицейским
или  суперменом  из  комиксов,  но  вряд  ли  он  станет  всерьез  обсуждать
возможность стать великим философом, математиком, физиком или биологом.
     Нет причин считать, что  генетические  свойства  той или  иной расы или
нации играют какую-либо роль, определяющую научные успехи ее представителей,
а вот интеллектуальный  и  социальный  климат  имеют  немаловажное значение.
Наблюдающийся в некоторых странах упадок в области медицинских  исследований
можно было бы  объяснить  преобладающей  ныне системой  покровительства, при
которою  молодой  человек  может успешно  продвигаться  в  науке только  при
соответствующей  поддержке.  А  последняя,  разумеется,  далеко   не  всегда
определяется  достоинствами  опекуна  и  опекаемого.  В  большинстве случаев
определяющую    роль    играют   разного   рода   факторы:   бюрократические
(бессмысленные экзамены,  количество публикаций,  сохранение  субординации),
политические и социальные.
     Позвольте мне закончить тему  о наиболее подходящем  для научной работы
климате,  рассказом о происшествии, которое случилось со мной  и объяснялось
как раз  недооценкой важности  моей  научной  работы. Тогда это событие было
воспринято как непоправимая катастрофа, однако теперь,  спустя  много лет, я
уже в состоянии рассказывать о нем, не проливая слез.
     Это  случилось в  царствование Его Всемилостивейшего Величества  короля
Георга  VI{28}.  Мне  позарез  нужна  была  моча больных,  страдающих  одним
воспалительным заболеванием, которое, как я считал,  может быть  обусловлено
расстройством адаптивной деятельности надпочечников  и  связано с повышенным
выделением  кортикоидов. Мне хотелось  проверить эту гипотезу, но в то время
данная болезнь  была  еще  не  очень  широко  известна  и  часто  просто  не
диагностировалась. Во всяком случае, ни в Монреале, ни поблизости  от него я
не  мог отыскать ни  одного случая  заболевания.  В конце концов я обнаружил
двух больных  в  Берлингтоне, штат Вермонт, как раз по  ту сторону границы с
Соединенными Штатами Америки. Ввиду  военного времени действовала  программа
строгой  экономии,  и   потому  считалось  непатриотичным  вывозить   ценные
материалы  из  США, но, невзирая  на это,  я все  же решил действовать. Была
достигнута необходимая договоренность относительно отправки мочи самолетом в
запечатанных контейнерах, чтобы она прибыла свежей. Один из моих сотрудников
должен был  встретить самолет, а я ждал  в лаборатории, готовый приступить к
анализу образцов, пока еще не начался процесс разложения.
     Вдруг  раздался  телефонный звонок. Звонил мой помощник  из  аэропорта:
работники   Королевской   таможни  не  пропускают   контейнеры  с  мочой!  Я
поинтересовался,  почему,  и  узнал,  что  данный  предмет   не  упомянут  в
Королевской  таможенной  книге  ни  в  рубрике  "Предметы, освобождаемые  от
пошлины", ни в  рубрике  "Предметы,  облагаемые пошлиной",  а следовательно,
пропущен быть не может. Раздраженный этим глупейшим препятствием, я попросил
нашего  декана  написать  официальное  письмо  самому  высокому  таможенному
начальству и объяснить, что для  фундаментальных  исследований иногда бывают
необходимы предметы, способные производить на  людей непосвященных несколько
странное впечатление, но без которых все-таки не обойтись.
     Письмо  было  написано  в  достаточно  сильных  выражениях  и  возымело
действие.  Всего  несколько  дней  спустя  мы  получили ответ,  из  которого
явствовало, что,  конечно же, федеральные власти предусмотрели такие случаи,
просто  неопытный таможенник  не смог найти в книге  соответствующее  место.
Между тем объект  пересылки  вполне  четко упомянут среди  "освобождаемых от
пошлины  предметов",  ибо  он со  всей очевидностью подпадает  под категорию
"бывшие в употреблении личные принадлежности".
     Теперь  все было  в порядке,  но, поскольку я знал, что к этому времени
содержимое  посылки  все  равно  испортилось,  я  не  стал  ее  забирать.  В
последующие  дни  нас одолевали настойчивые телефонные звонки  из аэропорта,
умоляющие  избавить их от  "товара", который,  по-видимому, стал вести  себя
угрожающим  образом.  Я  же   и  пальцем  не  пошевелил,  утратив  ко  всему
происходящему  какой  бы  то  ни  было  интерес.  Наконец  почтальон  принес
напечатанное типографским способом извещение -  очевидно,  и подобные случаи
оказались предусмотренными, иначе не нашлось бы подходящего бланка.  От руки
был вписан только  номер посылки, печатный же текст гласил: "Если  в течение
пяти  (5)  дней  с момента получения настоящего извещения Вы  не востребуете
вышеупомянутый товар, то посылка будет вскрыта и ее содержимое распродано  с
аукциона".
     Признаюсь,  я  не  проследил за дальнейшими событиями и  по сей день не
знаю,  кто  оказался  счастливым  обладателем "вышеупомянутого  товара".  Но
уверен,  что этот  мой  трагический  опыт  свидетельствует  о  необходимости
понимания со  стороны  общества и сути фундаментальных  исследований и  всех
связанных с ними особенностей.




     Нельзя  анализировать  климат  творческой  работы  без  того, чтобы  не
сказать несколько слов  о том влиянии, которое оказывает на нас опыт раннего
детства. Вновь, как  и  раньше, позвольте  мне  выступить  в роли подопытной
морской свинки.
     Я не раз пытался восстановить, когда и почему  решил заняться медициной
и  каковы   были  самые  ранние  факторы,  повлиявшие  на  конкретный  выбор
направления моей работы. Правда, с течением времени судить о таких вещах все
труднее.  Мы склонны припоминать не сами по себе ранние события нашей жизни,
- а картины наших неизбежно идеализированных воспоминаний - так, как они  не
раз   нам  представлялись;  иными  словами,   мы   помним   воспоминания   о
воспоминаниях. С годами в воспоминания о прошлом опыте неоднократно вносятся
искажения. И все же, насколько я  в состоянии припомнить, наибольшее влияние
на  меня  оказали, вне сомнения,  принятые  в нашей  семье  моральные нормы:
восхищение перед истинным совершенством и перед высшими достижениями в любой
области, презрение к посредственностям и лодырям, неизменно проявляющиеся  в
поступках и разговорах моих родителей.
     Ряд  других факторов также  повлияли  на мое  последующее развитие,  но
более тонким образом. Хотя  наша семья была зажиточной, это  не принесло мне
состояния и связанного с ним ощущения обеспеченности, ибо семейные богатства
испарилисъ в процессе крушения Австро-Венгерской империи. И все же я не могу
отрицатъ косвенного влияния нашего  благосостояния на  мою судьбу: поскольку
во времена моей юности  деньги никогда  не  представляли  для нас  серьезной
проблемы, у меня выработалось определенное безразличие и к ним самим, и тому
роду  занятий, который  ведет к  их накоплению.  Кроме  того,  мои  родители
позволяли  мне много  путешествовать  именно в том возрасте,  когда  человек
более  всего  всего  восприимчив  к  культурным  традициям  и обычаям других
народов и легко обучается их языкам.
     У  меня практически  никогда не было собственной национальности -  или,
если угодно, у меня их было так много! Мой отец был венгр, и ярко выраженный
национализм   моих  венгерских  учителей   в  городе  Комаром{29}  попал  на
благоприятную  почву. Однако  моя  мать была  австрийкой;  австрийцем же  по
рождению был и я, впервые увидев свет в венской акушерской клинике. Затем, в
1918 г., наш родной город был  передан Чехословакии, и  в возрасте 11 лет  я
приобрел гражданство этого вновь созданного государства, не выезжая из дома.
Но со времени моего прибытия в Канаду в 1931 г. я ощущаю все увеличивающуюся
привязанность к той единственной стране, которая выбрана мною по собственной
воле и в которой родились моя жена и мои дети.
     Все  это  выглядит  не имеющим  никакого  отношения к науке,  однако  я
убежден,   что    выработавшийся   в   течение   моей   жизни   своеобразный
космополитический   подход   сыграл   определенную  роль   в  моей   научной
деятельности,  ибо  научил  меня быть непредвзятым и гибким; он показал мне,
как  одна  и  та  же  проблема  (социальная,   политическая,  экономическая,
лингвистическая)  может  эффективно решаться представителями различных рас и
национальностей  принципиально различными путями..  Такая  непредвзятость по
отношению к непривычному пришлась в лабораторной работе очень кстати.
     Выбор медицины в  качестве  профессии не  потребовал от меня проявления
большой  оригинальности.  Поскольку  мои  отец,  дед и прадед были  врачами,
считалось само собой разумеющимся, что я должен продолжить семейную традицию
и  в  четвертом  поколении.  Моему  отцу принадлежала  процветающая  частная
хирургическая  клиника в  Комароме  (маленьком городке на Дунае, примерно на
полпути между Веной и Будапештом), и мне, как единственному сыну, она должна
была со временем перейти.
     В  "классической  гимназии"  монахов-бенедиктинцев,  где  мне  довелось
заниматься  до семнадцати лет,  я учился весьма неважно. А  вот на следующий
год в Пражском университете я стал первым на своем курсе и оставался таковым
вплоть до окончания медицинского факультета. Дело в том, что я просто не мог
заставить   себя  увлечься   схоластическими   дисциплинами,   которые   мне
преподавали   в   комаромской   гимназии;  предметы  преподавания  выглядели
какими-то  нереальными,  и, как  это ни  странно, больше  всего я  ненавидел
биологию. Лабораторные работы практически  не проводились, да и  учитель  не
проявлял  в  них   заинтересованности,  а  чтобы  получать  хорошие  оценки,
требовалось  страницу за страницей зазубривать текст, казавшийся  мне - и, я
подозреваю, даже ему - совершенно бессмысленным.
     В то время я хорошо успевал лишь по философии и физкультуре. С шутливой
гордостью  старался  Я доказать своим огорченным родителям,  что мои  успехи
просто-таки подтверждают великий идеал римлян  "Mens  sana  in corpore sano"
("В  здоровом  теле  здоровый  дух"). По  философии же я  преуспевал  только
потому,  что  преподаватель  этого  предмета -  действительно  замечательный
человек, с которым  я до сих пор поддерживаю оживленную переписку,- любил  и
знал  свою науку.  Успехов на физкультурном  поприще я добился, как  это  ни
смешно, именно потому, что  был толстым и вялым ребенком.  А  поскольку я не
мог выносить  насмешек,  которым из-за  этого подвергался, то решил  довести
свое жалкое рыхлое тело  до такой формы, чтобы быть  в состоянии  поколотить
любого одноклассника, и в конце концов достиг этого.
     В свое  оправдание должен  отметить,  что  схоластический подход  плохо
способствует развитию исследовательских  способностей учащихся.  Пауль Эрлих
сумел  сдать   выпускные  экзамены  по  медицине  лишь   потому,   что   его
преподаватели  обладали  хорошим  чутьем  и  смогли  распознать  его  особые
дарования, а Эйнштейн провалился на вступительных экзаменах  в Политехникум.
Выдающийся французский  бактериолог  Шарль Николь  говорил,  что  творческий
гений не в состоянии накапливать знания  и что  творческие способности могут
быть  погублены заучиванием незыблемых идей и излишней эрудицией. И все-таки
слабые успехи в учебе отнюдь не предвещают будущего успеха в науке. Когда же
я   впервые   объявил    о   своем   намерении   заняться   фундаментальными
исследованиями, это привело всех  в немалое  смущение. Вполне  понятно,  мои
родители  предпочли  бы,  чтобы  я  занялся  очень  доходной  "Хирургической
клиникой Селье" (что для единственного сына сделать совсем нетрудно в  связи
с отсутствием какой-либо конкуренции), а не подвергал бы себя риску в случае
неудачи  и  не зависел бы от  скудного заработка,  который  приносили  тогда
занятия фундаментальной наукой.
     Что же касается  настойчивости  и выдержки  - двух  наиболее ценных для
такого  рода занятий качеств,- то  здесь  наибольшую  помощь оказал  мне мой
отец.  Он  был  добросердечным  и довольно  сентиментальным человеком, волею
судеб  более четверти века прослужившим  в  армии Его  Величества императора
австрийского  и короля венгерского в качестве военного хирурга, и не выносил
бездельников. Я до сих пор  помню случай, который произошел, когда  мне было
около  девяти лет, и  который,  как  я  полагаю,  оказал влияние  на всю мою
последующую  жизнь. Отец купил мне прекрасного, черного как смоль  арабского
пони.  Я полюбил  эту  лошадку  так,  как только девятилетний мальчик  может
любить животное, но она имела одну  любопытную и в высшей степени неприятную
привычку:  время от времени по никому неведомой причине  она  подпрыгивала в
воздух одновременно всеми четырьмя ногами,  крича - или надо говорить "ржа"?
-  нечто вроде "кви-и-ич". По этой причине ее и окрестили Квичкой. Наблюдать
за подобным представлением со  стороны бывало весьма забавно, но  при этом я
каждый  раз сваливался с  нее,  пока однажды, ударившись о землю, не  сломал
себе руку. Отец наблюдал за происходящим с видимой  невозмутимостью, а затем
спокойно отвел меня в операционную и наложил гипс. Покончив со всем этим, он
велел мне снова сесть на Квичку (надо сказать, именно в тот момент у меня не
было никакой охоты это делать). "Потому  что,- сказал он,- если ты не сядешь
на  нее  сейчас, то всегда будешь ее бояться". Не могу утверждать наверняка,
но думаю, что своей способностью сопротивляться искушению бросить какое-либо
дело,  не  доделав его, я в  большой степени обязан той  уверенности в себе,
которую приобрел, гарцуя на Квичке с переломанной рукой и свежим гипсом.
     Став  студентом-медиком,  под руководством  своего  отца я даже получил
практические  навыки.  Он  позволял  мне  ассистировать  ему  при  несложных
хирургических операциях и помогал в бесчисленных экспериментах над лягушками
и курицами, которые я - к великому неудовольствию моей матери - производил у
нас  в  подвале.  Я все еще  испытываю ярость, поскольку  мои многочисленные
письма, в которых я старался убедить "отцов  города", будто будущее медицины
зависит от передачи мне для экспериментов бродячих собак, так и остались без
ответа.  Но все же я сумел раздобыть некоторое  количество крыс. Результатом
моей  "подвальной" деятельности  во время летних каникул  явилась моя первая
статья, посвященная воздействию витамина D на процесс свертывания крови.
     Но наиболее  существенное  внешнее влияние  оказали на  меня. наверное,
постоянные  изменения условий жизни  и многократная потеря всего имущества в
результате двух мировых войн. Неустойчивость и сравнительно малую значимость
личной собственности  очень  впечатляющим образом  продемонстрировал  мне  в
раннем  детстве  пример  моего  отца,  потерявшего при распаде  тысячелетней
австро-венгерской  монархии,  казавшейся  незыблемой  и  вечной,  все   свои
сбережения  и  военный   чин.  Он  сказал   мне   тогда,   что  единственное
гарантированное достояние человека  - это он сам. "Только одна вещь, которая
на самом  деле тебе  принадлежит,-  говорил  он,- это твои  знания. Никто не
может отнять их у тебя, не лишая тебя жизни, а уж  если придется умирать, то
в сравнении с этим прочие потери безразличны". Как ни странно, но полученный
тогда совет,  несмотря на мой  юный возраст,  произвел  на  меня чрезвычайно
глубокое  впечатление,  и  с  тех пор  этот урок не раз сослужил  мне добрую
службу.
     Самые ранние  впечатления  оказывают  большое  формирующее  влияние  на
подрастающего человека,  и  мне  очень  повезло с  теми  наставниками  и той
помощью, которые я получил  в  детстве. Единственное, о чем можно сожалеть,-
разве лишь  о том,  что, имея в прошлом столь защищенную от невзгод юность и
располагая в годы моего становления такой поддержкой, мне никогда не удается
убедить себя, что я смог бы добиться  чего-нибудь и без посторонней  помощи.
На каждого  человека, обязанного всем, чего он достиг,  лишь самому  себе, я
продолжаю смотреть с завистью и восхищением, содрогаясь при мысли о том, что
вышло бы из меня, будь я сыном бедных необразованных родителей.




     Значительные   материальные   возможности   -   такие,  как  просторное
помещение,  сложная  аппаратура  и  тому  подобное,-   необходимы  лишь  для
некоторых  исследований; для биологов же они редко имеют  решающее значение.
Как  бы то ни было, эта проблема  не  требует  здесь подробного  обсуждения,
поскольку ученые обычно. прекрасно знают, в чем они нуждаются.
     Хотелось   бы   уделить  внимание   следующим  двум  аспектам   рабочей
обстановки,  которыми  часто  полностью  пренебрегают:  порядку  и  красоте.
Слишком многие  из виденных мной  лабораторий  выглядят безнадежно  уныло  и
запущенно,  если не  сказать  грязно.  Старые  склянки,  собирающие  пыль  и
хранящие не поддающиеся  распознаванию образцы, раскуроченные части ненужной
аппаратуры и тому подобное так же неуместны в лаборатории, как старые тряпки
или сломанная  мебель - в  жилой комнате. Главной задачей  ученого  является
внесение упорядоченности в  наши знания о  Природе, отсутствие же  порядка у
него в лаборатории и на его рабочем столе определенно не поможет ему в этом.
     Научно-исследовательское   подразделение   не   следует   превращать  в
художественный  музей  или картинную галерею, но с точки зрения  потребности
любого культурного человека  окружать  себя предметами, не имеющими никакого
иного  утилитарного назначения,  кроме как  приносить  ему радость,  нет  ни
малейших  причин проводить  резкую границу между  домом и лабораторией,  где
ученый проводит большую  часть своего времени, не считая сна. Красивое живое
растение,   аквариум   с   разноцветными   рыбками,   приятная    статуэтка,
художественно  переплетенный  томик  любимого классика,  портрет почитаемого
нами ученого, какие-нибудь безделушки, привезенные из очередного путешествия
и вызывающие приятные воспоминания,- все это можно разместить в лабораториях
и кабинетах. Такие вещи, не требуя больших затрат и усилий для приобретения,
помогают созданию вокруг нас творческой, неказенной атмосферы.






     Искренность, уравновешенность, понимание  самого себя  и других  -  вот
залог счастья и  успеха в любой области деятельности, и научная работа здесь
не исключение. При разработке  вашего личного этического кодекса  в качестве
отправной  точки  следует  избрать девиз  "Gnothi  Seauton" ("Познай  самого
себя");  он  высечен на колонне при  входе в храм Аполлона в  Дельфах, а для
Сократа  он стал одним из основных положений  его учения. Прежде всего нужно
научиться жить в  гармонии с самим  собой. Но человек, как правило, стыдится
взглянуть  на  себя  беспристрастно и  объективно,  не  желая увидеть  самые
интимные стороны своего бытия "голыми".  Между тем ученый нуждается в правде
независимо от того, о чем  она свидетельствует. Он не может довольствоваться
тем, что  живет  в  соответствии  с общепринятыми нормами и  предрассудками;
просто  от их анализа его удерживает скромность. И все же внутренние запреты
так глубоко укоренились  в нас, что для их  преодоления требуется длительное
время и мучительный процесс самоконтроля. В  этом  отношении  многому  может
научить богатый  жизненный опыт  - как  свой  собственный, так и опыт других
людей,- а также многочисленные случайные наблюдения.
     Для  того чтобы эти заметки оказались  полезными для  читателя, раскрыв
ему  жизнь  ученого,  а мне  самому  принесли душевное  очищение, они должны
отражать подлинную картину накопленного мною опыта. Вот почему я  намерен со
всей откровенностью,  на  какую только способен,  говорить о том, к  чему  я
пришел, с тем  чтобы выработать подходящий кодекс поведения для себя и своих
сотрудников. В  этой связи мне хотелось бы  еще  раз подчеркнуть, что ученые
являются индивидуалистами и не могут не быть таковыми, если только они несут
в  себе заряд оригинальности. Они отличаются как от других людей, так и друг
от друга. Я  не намерен выдвигать некий общий  кодекс  поведения, приемлемый
для ученых вообще:  каждый ученый должен выработать свой  собственный кодекс
Любой из нас может привести пример того, как  отдельный человек в результате
упорных усилии создал себе подходящий для него стиль поведения.

     Единственный  стоящий способ научить чему-нибудь других - это выступать
в  качестве  примера, пусть  даже отрицательного,  если  ничего  другого  не
остается.

     А. Эйнштейн







     Я понял, что наука - это призвание и служение, а не  служба. Я научился
люто  ненавидеть  любой  обман  и  интеллектуальное  притворство и гордиться
отсутствием  робости перед  любой  задачей, на  решение  которой у меня есть
шансы.  Все это стоит  тех страданий, которыми приходится расплачиваться, но
от того, кто не обладает достаточными физическими и  моральными силами, я не
стал бы  требовать этой платы. Ее  не  в состоянии  уплатить слабый, ибо это
убьет его.
     Н. Винер

     Как правило, истинный ученый ведет почти  монашескую жизнь, оградившись
от  мирских забот и  полностью  посвятив  себя работе.  Ему  нужна  железная
самодисциплина,  чтобы  сконцентрировать  все  свои  способности на  сложной
работе, эксперименте, теоретической деятельности, требующей продолжительного
и безраздельного  внимания. Он  знает по  собственному опыту, что творческий
акт не  должен прерываться и не может протекать без  напряжения; интуитивное
увязывание многих  факторов в  гармоничное  целое  либо  совершается  в один
прием, либо  не  совершается  вообще. Художник может  одним  движением  руки
провести нужную линию, чтобы довести картину  до  совершенства, но  он не  в
состоянии  выполнить этот  завершающий  мазок,  разбив  движение  на  части.
Реактивный самолет стремительно разрезает небо, но если попытаться уменьшить
его   скорость   ниже   определенного  порога,   он   рухнет.   Двигаясь   в
приятно-неторопливом темпе, наш разум способен  преуспеть  только в описании
поверхностных явлений.
     Настойчивые усилия  по  созданию  и  развитию совершенно  новой области
знаний  требуют  от ученого  способности  к величайшему  самоконтролю. Порой
целая  жизнь  может  понадобиться только для  того, чтобы  наметить основные
принципы и  набросать  общую  картину  исследования,  в достаточной  степени
понятную тем, кто будет ею пользоваться и заниматься ее усовершенствованием.
При  разработке  подобной обширной  тематики промедление  нежелательно еще и
потому,  что "перемешивание" гигантского объема  информации для выявления  в
ней  широкомасштабных  связей  может  происходить  только  в  голове  одного
человека,  а следовательно, на  протяжении только  одной жизни. Как миллионы
трудолюбивых  каменщиков  не стоят  одного  великого архитектора,  так и при
закладке  основания  для значительной  научной концепции  ни ускоренный темп
работы  множества  людей, ни  пусть  даже  спокойная  и  неторопливая работа
нескольких одаренных инженеров не сравнятся с  тем  священным огнем, которым
одержим один человек, подчинивший себя претворению своей идеи в жизнь. И тут
не помогут философские рассуждения о свободе воли. Вопрос не в том, обладаем
ли  мы  свободой  воли,  ибо  на  практике  степень  свободы  волеизъявления
относительна.  Зато мы обладаем полной свободой воли, чтобы  решить,  делать
или не делать, "быть  или не  быть". Если уж наша воля ограничена, то только
способностью трудиться без перерыва по 14 часов в день, а когда речь  идет о
целой жизни, заполненной  напряженной работой,  то совершенно ясно,  что это
под силу далеко не каждому человеку.
     В   воспитании  самодисциплины   существует  опасность   подмены  целей
средствами.  Как  и во  многих других  видах  полезной  деятельности,  у нас
формируются условные рефлексы, из-за которых мы путаем то, что  пригодно для
использования,  с   тем,  что  само   по  себе  представляет  ценность.  Для
профессионального спортсмена развитие  собственной физической формы является
самоцелью. Артист цирка, научившийся заглатывать шпаги или не моргнув глазом
протыкать себе руки иглами, гордится своими достижениями ради них самих. Что
же  касается  ученого  то для него  самодисциплина  является  лишь  одним из
качеств, необходимых  для достижения высших успехов в  избранной им области.
Не  исключено, что изучение сложного текста в переполненном автобусе полезно
в качестве средства развития способности к сосредоточению, но я  определенно
не   рекомендую   заниматься   умственной   деятельностью   в   местах,   не
приспособленных для этого. Ученому не следует придерживаться ни спартанского
идеала предельной суровости и самоограничения, ни эпикурейского стремления к
роскошной жизни. Его цель -  открытие, и он не должен забывать об этом. Если
он и может  позволить  себе пользоваться  некоторыми  видами комфорта и даже
роскоши,  то не ради них самих, а только  в качестве средства сохранить свою
энергию для еще более упорного стремления к совершенству в науке.
     Я  предпочитаю "эпикурейско-спартанский" образ жизни. Я позволяю себе в
кабинете, лаборатории и дома все возможные удобства, которые могут увеличить
мою работоспособность,  но не  более того. Мои  комнаты  в институте и  дома
обставлены  комфортабельной мебелью, в них есть кондиционер и звукоизоляция.
Я   очень   привередлив   в   выборе   для   работы   наиболее   простых   и
высококачественных  из  существующих инструментов,  вне  зависимости  от  их
стоимости. Я не провожу отпуск  в солнечной Флориде, потому что это чересчур
надолго оторвало бы меня от моей работы, но я нежусь  на  солнышке, хотя для
этого  мне пришлось оборудовать собственную  "Флориду" прямо в институте,  в
одной из лабораторий. В зимнем Монреале не так часто бывает солнце, но когда
уж  оно  есть, я провожу  свой  обеденный  перерыв  в удобном  кресле  перед
раскрытым  окном  и  вбираю  максимум солнечной энергии. Я не могу позволить
себе тратить попусту время, а сама еда занимает только десять минут, так что
я установил во "Флориде" диктофон и работаю на солнышке  часок-другой.  если
день  выдался  ясный. Новые  сотрудники, впервые появляющиеся в  полдень  на
научной конференции, выглядят несколько обескураженными, созерцая полуголого
директора, но вскоре они  к этому привыкают и в конце  концов сами  начинают
нежиться на солнце. Это  приносит им пользу - значительно больше пользы, чем
если бы они  видели меня в прекрасно сшитом костюме или даже в академической
мантии. К  тому же мы, похоже, добиваемся в этой  приятной и комфортабельной
обстановке  лучших  результатов,  чем в  накуренном кабинете,  и  здесь  нам
труднее помешать,  поскольку  во  "Флориде"  нет  телефона,  а  дверь всегда
заперта.




     Разочарования  в  науке  приходят  гораздо  чаще,  чем  успехи.  Трудно
смириться с  тем, что  прекрасный  эксперимент не  может быть выполнен из-за
технических трудностей или что наша радость по поводу создания всеобъемлющей
теории несколько  преждевременна, так как  только что обнаруженные факты  не
согласуются с  ней.  Способность переносить неудачу -  одно  из самых ценных
свойств плодотворно  работающего ученого,  так как наряду  с  неудачами  эта
способность в конечном счете приведет к появлению одной-двух успешных работ,
окупив таким образом настойчивость исследователя.
     Научное творчество приносит ученому огромное удовлетворение, но имеет и
свои специфические трудности, которым  нужно уметь противостоять. Для начала
давайте рассмотрим наиболее распространенные из них.




     Я богословьем овладел,
     Над философией корпел,
     Юриспруденцию долбил
     И медицину изучил.
     Однако я при этом всем
     Был и остался дураком.
     В магистрах, докторах хожу
     И за нос десять лет вожу
     Учеников, как буквоед,
     Толкуя так и сяк предмет.
     Но знанья это дать не может,
     И этот вывод мне сердце гложет...

     (И. В. Гете, "Фауст". Перев. Б. Пастернака)

     Счастлив  (и  наивен)  тот экспериментатор,  в  чью голову  никогда  не
приходила эта мысль, способная повергнуть в  жестокое уныние.  В бесконечной
цепи наших идей каждое звено, безусловно, связано со всеми другими,  но если
попытаться  изучить  эти связи  на протяжении одной  человеческой жизни,  то
полученное знание  будет чисто поверхностным. Не  лучше ли смиренно принять,
что  человеческий  разум  не  в  состоянии  достичь всей  полноты знания,  и
сосредоточиться  на  одной центральной проблеме,  не растрачивая  энергию на
бесплодные  поиски абсолютного  знания. Обширные  знания также не превращают
человека  в  ученого,  как запоминание  слов не  делает  из  него  писателя.
Разумеется, трудно достичь  литературного  мастерства  без  соответствующего
словарного запаса, но  я  убежден, что даже  величайший  литературный талант
иссякнет,  если  его  обладатель примется заучивать наизусть сотни и  тысячи
разделов  любого  толкового  словаря  или  же  анализировать  грамматическую
правильность  каждой  написанной  фразы.  Чтобы  идти  к  своей  цели  и  не
чувствовать   себя   отягощенным   ненужным   балластом,  необходимо   четко
представлять  себе, что нужно изучать и чего  не нужно. Многое  из того, что
имеет огромное  значение  для статистика,  логика или  философа науки, может
оказаться только  обременительным  для  экспериментатора  в его повседневной
работе. Все,  что связано  с научным исследованием -  математика, философия,
логика, психология, даже методы управления группой или упорядочения карточек
в картотеке,- так или  иначе  имеет отношение  к медику-экспериментатору, но
ему  совсем не обязательно  все это  знать,  достаточно  просто  располагать
сведениями о необходимой справочной литературе по этим вопросам.
     Хотя Природа вечна и  бесконечна, ее исследователь соприкасается  с ней
только на протяжении  своей  собственной  жизни и в меру  своих  собственных
ограниченных возможностей. Поэтому простота и краткость - не просто свойства
науки, они составляют саму ее сущность.
     Когда я  студентом-медиком  впервые  зашел в  библиотеку нашей  кафедры
биохимии, то увидел целую стену, целиком заполненную томами "Справочника  по
биологическим методам" Абдерхальдена и  "Справочника по  органической химии"
Бейльштейна. Я  был просто ошарашен этим зрелищем. Никогда ранее я не ощущал
столь  отчетливо ограниченность  своих  возможностей.  Каждый том  мне,  как
биохимику,  был нужен, но с  первого же  взгляда  стало ясно, что, проживи я
хоть  сто лет, овладеть всем  этим мне не  под силу.  Я всегда вспоминаю это
ощущение, когда вижу  ошарашенные лица аспирантов, впервые  входящих в  нашу
библиотеку, насчитывающую теперь более полумиллиона томов.
     Подобные  обескураживающие  факты  порой  отпугивают  от  науки  многих
талантливых людей. Я  преодолел в себе  чувство  неполноценности,  постоянно
повторяя: "Если другие  смогли  это сделать,  то почему же я не  смогу?" Для
такого "оптимизма по аналогии" у меня, в общем-то, не было оснований, однако
этот  способ сработал. Он помог мне  восстановить уверенность  в  себе. Я  и
сейчас   время  от  времени  прибегаю  к   нему,  когда   ощущаю   полнейшую
неспособность выполнить ту или иную работу, что, кстати, случается нередко.
     К примеру, собирая  материал для этой книги, я вынужден был просмотреть
огромное  количество  литературы  по  проблемам  психологии,   философии   и
статистики  Затем  меня внезапно  осенило,  что для  определения  того,  что
заслуживает включения  в мою  книгу,  я должен просто заменить вопрос  "Если
другие смогли это сделать, то почему же я не смогу?" вопросом "Что знали те,
кто смог это сделать?". Разумеется,  я в основном ориентировался на  ученых,
проявивших  себя  в  области  экспериментальной медицины.  Не философам,  не
логикам  и  не  математикам  указывать  нам, что следует  делать  в  области
экспериментальной медицины!  Я неоднократно  разговаривал об этом  с многими
выдающимися  учеными нашего времени и отлично знаю уровень их внемедицинских
познаний. Мне  также хорошо известны трудности, с которыми сталкивались я  и
мои  ученики.  Я уверен: в  поисках  того,  что  следует делать и  что стоит
читать, мои рекомендации принесут большую пользу, чем кабинетные рассуждения
специалистов, непричастных к медицинским исследованиям.



     Иногда -  не часто,  но гораздо  чаще, чем хотелось бы,- случается так,
что какой-то результат удалось получить, экспериментируя  с  большой группой
подопытных  животных...  и  никогда более.  Это производит крайне угнетающее
впечатление.   Как  правило,  противоречивые   результаты  побуждают  нас  к
проведению длительной  серии экспериментов, в которых мы безуспешно пытаемся
восстановить полученные в первый раз результаты. Если мы сами проводили этот
эксперимент,   то  начинаем   терзать   свою   память,  стараясь  припомнить
какую-нибудь деталь методики,  которую могли как-то упустить,  но ничего  не
можем  вспомнить. Если  же эксперимент первоначально выполняли лаборанты, то
мы  начинаем  мучить  их  вопросами:   "Вы  уверены,  что  вводили  препарат
подкожно?", "Как  вы тогда приготовляли  раствор?", "Какие интервалы времени
выдерживались  между  отдельными  инъекциями?"  В  конце  концов вы  издаете
отчаянный вопль: "Но должно же быть какое-то  отличие, ведь в первый раз это
сработало  на  каждом  животном!   Результаты  определенно   имеют   высокую
статистическую значимость. Думайте  же, думайте!"  Но  никому  не приходит в
голову ни одного отличия между тем экспериментом,  в котором такой результат
наблюдался,  и  тем,  где этого  не  было.  И  мы снова  и  снова  повторяем
эксперимент, меняя наугад то один, то другой фактор,  но все без толку. Есть
от чего впасть в уныние!
     И только через  несколько лет,  по совершенно  другому  поводу случайно
обнаруживается именно тот фактор, который вызвал когда-то столько огорчений.
В  моей  практике,  например,  одно  из проявлений так называемого  "фактора
клетки", с которым  мы  познакомимся  позже (с. 313),  неожиданно  коснулось
только одной клетки. Несомненно, чем  чаще выясняется причина, по которой не
удалось   воспроизвести  эксперимент,  тем  больше  вероятность  преодоления
подобных  казусов  в  будущем. Кроме  того,  обнаружение  подобных  факторов
нередко  привлекает  наше внимание  к  явлениям, еще более  важным, чем  те,
которые мы первоначально исследовали.
     И все же  огорчение от постоянных неудач  способно вызвать  у  молодого
человека что-то вроде "лабораторного невроза",  как назвал его X. Харрис. Он
становится  раздражительным,  агрессивным, подавленным  и  обескураженным; в
результате  он  может даже бросить науку. В этом случае лучше всего работать
над  несколькими темами сразу. Даже если только  одна из них пойдет успешно,
это по крайней мере  придает бодрости. По той же причине полезно  заниматься
каким-либо   вспомогательным   делом  -   лечебной,   административной   или
преподавательской  работой,  ибо   это  поможет  создать  ощущение  полезной
деятельности.



     Они  действуют еще более угнетающе, поскольку  нас  особенно раздражает
то,   что  мы  раздражаемся.  Задержка  в   продвижении  по  службе  или  же
какая-нибудь административная  проблема, которую не следовало  бы  принимать
близко  к  сердцу,  раздражают не только сами  по себе,  но уже самим фактом
нашей озабоченности ими.
     Я знавал  многих ученых, превратившихся в "интеллектуальных развалин" с
серьезным комплексом неполноценности только потому, что не получили какую-то
премию или награду, которую, как  им  казалось,  они заслужили, или  не были
избраны  в  какое-то  почетное   общество.  В  подобных  случаях  формальное
признание  заслуг становится  самоцелью  и  губит  подлинные и  естественные
мотивы, движущие ученым. У меня есть  несколько высокоуважаемых и добившихся
успехов  коллег, которые по тем  или  иным причинам не были избраны  в члены
Канадского  Королевского  общества{30}  и  от  этого  склонны  считать  себя
совершенными неудачниками. Они постоянно возвращались к этой болезненной для
себя  теме  и  делали все  новые  попытки  добиться вожделенной  почести, не
останавливаясь даже перед самыми  унизительными просьбами  о  ходатайстве. В
конце концов они с негодованием бросали занятия наукой,  хотя и обладали для
этого всеми необходимыми качествами.
     Как я уже говорил, в отличие от многих моих  более сдержанных коллег  я
целиком признаю, что внешнее одобрение, выражающееся в  разнообразных  видах
признания и почестей, является  важным стимулом для большинства из нас, если
не для  всех. Хорошо это или  плохо,  но дело обстоит именно так. Однако эта
жажда  признания  не  должна  превращаться в  главную цель  жизни.  Ни  один
подлинный ученый не примет желанного признания  ценой  превращения в мелкого
политикана, вся энергия которого до  такой степени  поглощена "нажиманием на
рычаги", что для науки уже не остается сил.
     Молодой  ученый  может  избавить  себя  от  массы  ненужных  огорчений,
подстерегающих исследователя  на всем  протяжении  его  карьеры, если  будет
относиться  к  таким вещам  философски.  Ведь в научном  обществе может быть
только один  президент, а  на  кафедре  -  один  заведующий. Осознание этого
факта, если быть до конца последовательным,  принесет больше пользы и вам, и
окружающим.   Перефразируя   уже   упоминавшееся    знаменитое    изречение,
приписываемое Катону  Старшему, скажем: "Пусть лучше люди спрашивают, почему
он не заведует кафедрой, чем почему заведует".




     Скромность  -  это  недостаток,  которого ученые  практически лишены. И
счастье, что это так. Чего бы мы добились, если бы ученый стал сомневаться в
своем  собственном интеллекте?  Весь  прогресс оказался бы  парализован  его
робостью. Он должен верить не только в науку вообще, но и в свою собственную
науку. Он  не должен считать себя непогрешимым, но когда он экспериментирует
или  рассуждает,  ему  следует  обладать непоколебимой  уверенностью в своей
интеллектуальной мощи.

     Шарль Рише

     Если что и  необходимо  ученому,  так  это нечто  вроде мании  величия,
приправленной  смирением.  Он должен иметь  достаточно  уверенности  в себе,
чтобы  стремиться к звездам, и в то же время достаточно  смирения, чтобы без
всякого  разочарования  осознавать,  что  он  никогда  их  не  достигнет.  К
несчастью, подобная мания  величия и твердая решимость в своем стремлении  к
звездам "победить или погибнуть"  могут отравить жизнь  ученого и даже в еще
большей степени жизнь его коллег.
     Некоторые  ученые   вырабатывают  в   себе   такую   болезненную  жажду
восхвалений, что проводят большую часть жизни в назойливых попытках привлечь
внимание к своим  достижениям.  Это  не  только неэффективный, но и в высшей
степени  отталкивающий  способ  утвердить свое  положение  в  обществе. Есть
только одна форма поведения, являющаяся, по крайней мере для меня, еще более
отвратительной,-   это   обдуманная   демонстрация   скромности.   Подлинная
скромность остается  запрятанной  глубоко  внутри,  она  никогда  не  бывает
настолько  нескромной,  чтобы  привлекать  к  себе  внимание.  По-настоящему
великие люди слишком честны, чтобы демонстрировать скромность как социальную
ценность, и слишком застенчивы, чтобы демонстрировать публике свою искреннюю
скромность.




     Как  бы ни был  активен  ученый и  как бы  ни стремился  к практической
работе, он должен выделять время для размышлений. Казалось бы, это очевидно,
и все же .многие исследователи в такой степени поддаются стремлению быть все
время "в деле", что  у них не  остается времени для правильного планирования
экспериментов  и для осмысления  наблюдений.  Типичный "работяга"  -  обычно
молодой человек  - переоценивает  значение "делания" конкретных вещей; он не
ощущает себя работающим,  если спокойно  сидит на месте, погруженный в  свои
мысли  или даже  просто в мечты. Это великое заблуждение. Мы уже видели, что
некоторые самые лучшие идеи рождались в полудреме или в фантазиях, между тем
как одна хорошая идея может освободить нас от многочасовой рутинной работы.
     Но  нет  ничего хуже, если, размышляя,  вы были  вынуждены прервать ход
своих мыслей как  раз  в  тот  момент, когда  идея была готова родиться. Вот
почему, желая на чем-либо сосредоточиться, я скрываюсь  в своем кабинете под
защитой таблички "Просьба не беспокоить!" и отключаю телефоны. Чтобы сделать
этот заслон действенным,  понадобилось  немало  времени.  Всегда  появлялось
что-нибудь  экстренное  -  эксперимент   ли,  который  сорвется   без  моего
немедленного вмешательства,  неотложный  ли междугородный  звонок, внезапное
посещение какой-нибудь  важной  персоны,- и я был вынужден признать, что для
таких   случаев  должно   делаться  исключение.   В   результате  исключения
превращались в правило  и  у меня никогда  не  оставалось времени  для себя.
Тогда мне  пришла  в  голову простая  мысль:  порой я  отсутствую  неделями,
совершая лекционное турне, но лаборатория при этом  функционирует  вроде  бы
нормально; отсюда вывод - она  должна быть в состоянии обходиться без меня в
течение нескольких часов в день, даже если я  и в городе.  Это умозаключение
придало мне  силы  сделать решительный шаг,  и теперь, когда на дверях висит
табличка "Просьба не беспокоить!", действительно никто не имеет права войти,
за исключением  г-жи Стауб,  да и  то лишь  в случае  смертельной опасности.
Конечно, следует признать, что иногда моя  оборонительная система дает сбои.
Я помню - как такое забыть! - период, когда новенькая телефонистка обучалась
искусству  убеждать   людей,  желающих  побеседовать  со  мной   по  "личным
вопросам",  изложить  свой  вопрос  в  письменном виде. Количество  подобных
звонков  и  предельная  разговорчивость  некоторых  абонентов в  большинстве
случаев делали  эту  защитную меру  необходимой. Но  подчас  и  эта  система
страдала отсутствием  гибкости: моя жена не испытала большого  удовольствия,
когда,  попросив  меня  к  телефону,  получила  совет изложить  свой  вопрос
письменно. На  следующий день телефонистка  объяснила,  что она не разобрала
фамилию  звонившей, и мне  остается только гадать, сколько  подобных казусов
прошло мимо моего внимания.
     Пусть  же те,  кто сомневается  в  целесообразности применения подобных
драконовских  мер,  учатся на моем  опыте:  лаборатория  прекрасно работает,
несмотря  на  мое  периодическое  отсутствие.  Мои   помощники  научились  в
экстренных  случаях  принимать  самостоятельные  решения  (фактически  такие
случаи  крайне  редки), а  человек,  звонивший по  междугородному  телефону,
звонит снова, и, как  правило, звонок его оказывается не  таким уж  срочным.
Даже  важный  гость не  обижается,  ибо  знает,  что  о  встрече  надо  было
договориться заранее, а секретарша  просто  говорит ему,  что меня "тут нет"
(умалчивая о том, что я есть  "там", за закрытой дверью). Как бы то ни было,
сделать вывод  о моем оскорбительном к нему безразличии никак нельзя, раз уж
я даже не был поставлен в известность о его прибытии.
     Правда, остается возможность, что важная персона захочет договориться о
встрече  на завтра. Но мы готовы  и к этому. Наши посетители  делятся на три
типа:

     1. Очень интересные люди.  Их я всегда рад  видеть, так что тут проблем
не возникает.

     2.   Умеренно   интересные   люди.   Для   них,  как   и   для   любого
заинтересованного посетителя, для начала устраивается экскурсия но институту
в сопровождении "дежурного" сотрудника. Это дает  им хорошее представление о
нашей текущей тематике и методах работы. Затем я принимаю их в своем рабочем
кабинете,  длительность  пребывания  в  котором зависит  от того,  хочет  ли
посетитель  просто  обменяться  рукопожатием,  сфотографироваться на память,
получить  автограф на  книге или  же обсудить  действительно нужные вопросы.
Иногда они оказываются гораздо более интересными людьми, чем предполагалось,
но   такое  случается  редко.   Значительно  чаще   они   оказываются  менее
интересными,  чем  предполагалось,  и  тогда  проблема  состоит  в том,  как
закончить  беседу,  никого  не  обидев. Вот  тут  в  ход  вступает  операция
"Найтингейл"  (соловей),  призванная  избавить  страдальца  от  мучений.  По
понятным причинам  я  не могу  раскрыть ее  подлинные детали, но  принцип ее
действия следующий: я вызываю г-жу Стауб по внутренней связи и спрашиваю ее,
готова  ли рукопись для  доктора Найтингейла.  Это  -  секретный сигнал. Она
отвечает, что нет пока, но будет готова через несколько минут. Она, конечно,
знает, что не  существует ни этой  рукописи, ни  самого доктора Найтингейла.
Мой вопрос  означает только, что через пару минут она  должна  влететь в мой
кабинет, возбужденно  сообщая, что  меня  экстренно  требуют в  лабораторию.
Конечно, в таком  известии  есть доля преувеличения и  даже,  можно сказать,
"лжи во  спасение",  но  ведь я и  в самом  деле почти всегда могу оказаться
чем-либо   полезным  в  лаборатории,  так  что  беседа  прекращается  вполне
приличным образом... Мало кто из  посетителей способен заподозрить причинную
связь  между моим интересом к рукописи доктора  Найтингейла и возникновением
экстренной ситуации в лаборатории.

     3.  Зануды и придурки.  Похоже, я обладаю особой привлекательностью для
зануд и "чокнутых" всех сортов.  Одни хотят продать мне страховой  полис или
лекарство   от  рака,  другие  бесплатно  предлагают  собственное  тело  для
последующего  анатомического   исследования  либо  самые  доступные  способы
прославиться.   Визитеров   этого  типа   следует   выявлять,   выслушивать,
благодарить  за  их доброту и без излишнего  шума  выпроваживать  с  помощью
секретарши.
     Я  прошу извинить меня за столь пространные рассуждения о необходимости
выделять время для  раздумий и о способах,  используемых нами для достижения
этого, но,  я  уверен, большинство  моих  коллег согласятся  с  тем, что это
чрезвычайно важный  вопрос  и для нахождения его приемлемого решения никакие
усилия не будут излишними.




     Говоря на эту тему, мне почти нечего почерпнуть из  собственного опыта.
Меня интересует очень  немногое  из  того, что совсем не связано с наукой, а
может  быть, я  просто  смотрю на все теми же глазами,  что  и на  науку.  Я
никогда не  был в состоянии  провести  четкую грань между  личной  и научной
жизнью. Возможно, с этим связано и мое абсолютное безразличие к материальным
благам. Если я пользуюсь автомобилем,  книгой или  предметом обстановки. для
меня не имеет ровно никакого значения, принадлежат они мне или нет.
     Вплоть  до недавнего  времени библиотека нашего  института принадлежала
лично мне. Составившие ядро библиотеки книги были куплены еще в бытность мою
аспирантом на заработанные не без труда деньги у г-жи  Бидль  - вдовы  моего
бывшего  шефа.  Потом в течение  ряда  лет  мне  приходилось  оплачивать все
расходы  по   ее  содержанию  (зарплата  стенографистки,  почтовые  расходы,
канцелярские принадлежности, ящики для карточек и типографских оттисков и т.
п.)  из  своего скудного жалованья.  Но  когда  это библиотечное дело  стало
разрастаться в солидную службу,  я просто  подарил  ее нашему факультету.  Я
сделал это не  из  великодушия, а просто потому что  владение библиотекой не
имеет для меня смысла. Желание продать ее могло  бы  возникнуть у  меня не в
большей степени, чем мысль  продать семейный альбом, не говоря о  том, что я
все равно  делился  и буду  продолжать  делиться  этими книгами и отдельными
оттисками со своими коллегами.
     Я упоминаю об этом потому, что считаю свою жизненную позицию  несколько
односторонней. Но для меня  все - Природа. Моя семья, сотрудники, подопытные
животные, книги (будь  то  научные монографии,  философские трактаты, романы
или сборники поэзии),  т.  е.  весь  мир, в котором мы живем, включая и меня
самого,- это лишь разные проявления все той  же Природы, существующей внутри
и вне меня. Наука  -  это изучение Природы  и наслаждение  ею. Я ощущаю свое
тело,  разум, поступки  и окружающую  меня  среду как взаимосвязанное целое.
Будет одинаково  верно сказать,  что у меня  нет  личной жизни и что вся моя
жизнь - личная.  Для меня нет различия между работой и  досугом - просто это
разные приемы одной и той же игры.
     Если  все  сказанное  звучит не  слишком  членораздельно,  то вовсе  не
потому,  что  я испытываю смущение,  говоря о столь  личных материях. В этих
заметках  я  хочу обсудить все,  что знаю  о  науке и ученых,  включая  себя
самого,  самым откровенным  образом.  Я просто не в  состоянии выразить  это
особое чувство более понятным образом, может быть, потому, что именно в этих
вопросах я наиболее радикально  отличаюсь от громадного большинства людей, с
которыми когда-либо имел дело.
     Знаю, что публика - особенно американская - желала бы, чтобы ученый был
эдаким  "славным  парнем",  "совсем  таким,  как  все".  Но так  ли  уж  это
обязательно? Стоит ли  говорить, что это никак не уживается с  традиционными
странностями ученого.  Биографии ученых обычно  уверяют нас, что их герои  -
доступные люди.  Да так  ли уж нужна нам  их доступность,  непременные  пять
здоровых ребятишек и  популярное хобби?  Не  дороже  ли для  нас сварливость
Ньютона и неуживчивость Паскаля?




     Для того  чтобы  люди  находили счастье в своей  работе, необходимы три
условия: работа должна быть им по  силам, она не должна быть изнуряющей и ей
обязательно должен сопутствовать успех.
     Дж. Рескин{31}

     Искусство  общения  с людьми посредством свободного и тактичного обмена
мыслями и чувствами  является для каждого ученого  ценнейшим качеством. Этот
дар  зависит в  первую  очередь от  понимания как наших собственных  мотивов
поведения,  так  и  мотивов поведения  других  людей -  понимания,  особенно
важного для организации  исследовательских  групп, играющих в  наше время  в
науке всевозрастающую роль. Нам следует учиться не только тому, как убеждать
других, но и  тому, как без  предубеждения выслушивать чужие доводы,  а  это
гораздо более сложное искусство.
     Основательное проникновение во все особенности упомянутых в начале этой
книги  типов  личностей - как  нас самих,  так и наших коллег - способствует
достижению эффективной и  гармоничной работы любого научного учреждения. Нам
следует   научиться  поддерживать  здоровое  равновесие  между  естественным
эгоизмом  и  сочувственным альтруизмом, уверенностью в  себе  и скромностью,
ободряющей  похвалой  и направленной  на  коррекцию поведения  других  людей
критикой.  Умейте  разумно  ограничивать  тщеславие  и противостоять  всякой
лести.  Избегайте  скрытности,  неминуемо ведущей к нервозной  и напряженной
обстановке в коллективе.  Нужно искренне стараться  понимать чужие  языки  и
обычаи, ибо наука по природе своей интернациональна, и все виды кастовости и
изоляционизма наносят ей огромный ущерб.
     Истинное товарищество в  значительной степени основывается на  принципе
взаимопомощи. Подлинная совместимость коллег между собой должна опираться на
сочувственное понимание чужих трудностей  и на готовность  каждого  проявить
помощь и поддержку, удовлетворяя тем самым присущую всем людям потребность в
этих качествах.
     Существует  целый ряд  негативных качеств,  способных  сделать молодого
ученого   невыносимым   для   своих   коллег.    Среди    них:    отсутствие
предупредительности   по   отношению  к  товарищам  по  работе;   проявление
превосходства, выражающееся в тенденции преуменьшать вклад в работу других и
преувеличивать свой собственный; утаивание достигнутых результатов, лишающее
автора  не только  удовольствия поделиться ими  с  коллегами,  но  и  ценных
критических замечаний в его адрес;  "приоритетомания" -  вошедшая в привычку
потребность говорить  или,  чаще,  намекать, что  он-де  это  уже  предвидел
(говорил) ранее; нарочитая демонстрация своей эрудиции и т. д. и т.п.
     Правильно  построенные  межличностные  отношения  в  значительной  мере
базируются  на  соответствующей аргументации. Убеждение - это дар  приводить
удовлетворяющие  собеседника аргументы и доводы. В науке оно  всегда  должно
опираться  только  на ясное изложение  отстаиваемых принципов. Словесное или
основанное  на  наглядной  демонстрации  обсуждаемых  объектов,  оно  должно
исключать  всякого  рода уговоры  и просьбы. Ученый, относящийся  с излишним
энтузиазмом  к  своей  работе или  слишком озабоченный тем, чтобы произвести
нужное впечатление на аудиторию, должен  особенно  остерегаться использовать
такие  аргументы или ссылаться на такие авторитеты, которые, как он считает,
подкрепляют занимаемую им позицию.
     В прямой зависимости  от характера межличностных отношений  находится и
организация работы  в коллективе. Как правило, в первую очередь на поведение
людей оказывают влияние эмоции, а эмоциональное проявление потребностей  и у
лаборанта,  и  у  известного  ученого  в  основе  своей  одинаково.  Уровень
интеллекта и  образования  влияет  лишь  па  минеру  выражения инстинктивных
побуждений.  Поэтому  все,  что я буду  говорить  об  одной группе, в равной
степени применимо и ко всем другим.




     Не  принимает род людской  пророков своих  и избивает их, но любят люди
мучеников своих и чтят тех, коих замучили.

     Ф. М. Достоевский

     Когда о вас говорят, то хуже этого может быть только одно - когда о вас
не говорят.

     О. Уайльд

     Хотя мальчишки побивают лягушек камнями ради забавы, но лягушки умирают
по-настоящему.

     Плутарх

     Воспитание  в  себе  разумного критического  подхода является  одной из
самых  существенных   предпосылок  успеха  в  любой  области   деятельности.
Способность к критическому суждению нужна ученому не только для оценки своих
и чужих работ, но и для объективного и аргументированного ответа на критику,
которой    он    неминуемо   подвергнется,   если   достигнет   результатов,
противоречащих  общепринятой  точке  зрения. Резкая  и  агрессивная  критика
вызывает в нас естественный протест, однако совершенно необходимо  научиться
не поддаваться этому чувству. Обычная отговорка "Мне все равно, что  обо мне
говорят" почти всегда неискренна. И даже не "почти". Фактически я не знаю ни
одного человека,  которому  было бы безразлично, что о  нем говорят.  К чему
такое  притворство? Если человек совершенно  уверен  в  своей  правоте  (что
крайне редко среди  интеллигентных людей), он должен  стоять на своем, сколь
бы резким нападкам он ни подвергался. Мало кто способен проявить достаточное
упорство, но  уж точно нет никого, кто  был бы  безразличен к нападкам  и их
тону.



     Когда химик  Луи  Пастер осмелился предложить свои нововведения врачам,
он подвергся с  их  стороны сокрушительной  критике. Да и  в настоящее время
врачи относятся достаточно высокомерно  к работам специалистов,  не  имеющих
прямого отношения  к  медицине. Эта  кастовость сильно затрудняет биохимикам
или психологам  доступ к  клиническим материалам. Поэтому  при выборе  места
работы им следует убедиться в том, что они не встретятся с  противодействием
такого рода.
     Разумеется, даже  ученая степень  в области медицины  не  даст гарантии
против   скептицизма   и  враждебности,   с   которыми  сталкиваются  авторы
большинства  революционных теорий.  Единственное,  что можно в  таком случае
сделать,-  это  осознать  неизбежность  подобного  отношения  и  вести  себя
достойно. Надо, с одной стороны, учиться не игнорировать критику лишь на том
основании,  что  ее  агрессивный  тон  раздражает  нас,  а  с  другой  -  не
расстраиваться из-за  необоснованных  нападок.  Уделяя  критике  столь много
внимания, я рискую показаться излишне  чувствительным к ней. Быть может, так
оно  и есть. Более  того, я  думаю, что все мы  таковы (хотя  мало кто готов
сознаться в этом), и борьба с этой слабостью совершенно  необходима, если мы
хотим  добиться успеха в науке. В этом  отношении  нас многому может научить
опыт прошлых лет.
     Моим  первым критиком был великий Уолтер Кеннон. Я все еще  живо  помню
его реакцию, когда, едва закончив первые эксперименты по стрессу,  заговорил
с ним на эту тему. Мы обсуждали стресс  дважды: первый раз  кратко во  время
моего посещения лаборатории Кеннона в Бостоне, а второй раз спустя несколько
лет и в более свободной обстановке Университета Мак-Гилл, студентам которого
он только что прочел прекрасную лекцию. Я был очень огорчен тем, что не смог
доказать этому великому старцу, насколько существенную роль играют гипофиз и
кора  надпочечников  в  возникновении  стресса.  Он привел  ряд превосходных
доводов  в пользу того, что эти органы  не  только  не могут  способствовать
сопротивляемости   и  приспособляемости  организма,  но  даже  делают   само
существование "общего адаптационного синдрома" маловероятным.  Но в  критике
Кеннона не  было и следа  той агрессивности и ядовитости,  которая  могла бы
вынудить меня не дослушать его до  конца. Его замечания  лишь обострили  мое
понимание той  ограниченной  роли, которую играет в стрессе  ось  гипофиз  -
надпочечники. Они  оказали мне  помощь, помимо прочего, и  тем, что побудили
провести эксперименты, в которых было установлено,  что некоторые проявления
стресса могут возникать и в отсутствие этой системы желез.
     Разумеется,  даже  самый объективно настроенный ученый может ошибаться.
Один  из  величайших  физиков всех  времен Майкл  Фарадей говорил:  "Я готов
признать,  что  могу во многом ошибаться,- никому  не  дано  быть  абсолютно
правым  в физической науке, по сути своей находящейся в стадии становления и
изменения". Это же, причем в еще большей  степени,  справедливо  в отношении
менее  точных  наук,  таких,  как  медицина.  Беспристрастное  аналитическое
обсуждение помогает  выявлять  и исправлять  ошибки;  критика  всегда должна
оставаться объективной. Лучше  всего высказать ее дружеским тоном, в расчете
на то,  что коллеги, работающие в  той  же  области знания,  горят  желанием
развивать  науку с помощью взаимных и конструктивных  советов.  И что  самое
главное,  в  дискуссии  не  следует  (насколько  вам  позволяет  воспитание)
руководствоваться соображениями личного престижа. Вопрос должен ставиться не
по  принципу "кто прав",  а  по принципу  "что  правильно".  Древнееврейская
поговорка  гласит:  "Зависть ученых увеличивает мудрость". И  действительно,
даже дебаты, порожденные ревностью, могут стимулировать исследования, но это
менее эффективный и определенно менее приятный путь, нежели сотрудничество.
     Значительный  прогресс может быть достигнут лишь  с помощью идей, резко
отличающихся  от  общепринятых сданное  время.  К сожалению, положение,  при
котором чем  больше  возвышаешься над  толпой,  тем лучшую мишень  ты  собой
представляешь, справедливо  не только на  бумаге. "Новая истина,-  писал Жак
Барзун,-  неизбежно  выглядит  сумасшедшей,  и  степень  этого  сумасшествия
пропорциональна  ее  величию.   Было  бы  идиотизмом  постоянно   вспоминать
биографии  Коперника, Галилея и Пастера и  при этом  забывать, что очередной
ученый-новатор будет выглядеть столь  же  безнадежно неправым и сумасшедшим,
как в свое время выглядели они" [1].
     Всякая новая биологическая концепция, подобная теории эволюции Дарвина,
почти наверняка  вызывает  то,  что  Хаксли  назвал  "публичной воинственной
пляской". Когда  Пастер  объявил,  что  инфекционные  заболевания вызываются
микробами, а Пирке  и  Рише открыли  явление аллергии, литература была полна
ядовитых,  враждебных  нападок,  с  помощью  которых  люди,   не  обладавшие
достаточной оригинальностью мышления, чтобы создать или хотя бы понять новые
концепции  в  медицине,  пытались отыграться  за  счет  демонстрации  своего
остроумия.
     Э. Джонс в написанной им биографии Фрейда сообщает о  том, что психиатр
Вальтер Шпильмейер на первых порах расценил психоанализ  ни  более  ни менее
как "умственную мастурбацию". В 1910  г. одно лишь упоминание  теории Фрейда
оказалось достаточным, чтобы председательствующий на медицинском конгрессе в
Гамбурге профессор В. Вейгандт, грохнув  кулаком  об  стол,  заявил: "Это не
тема для научной дискуссии, этим должна заниматься полиция" [12].
     Самым  болезненным  образом  обычно   воспринимается  критика,  которая
вызвана  непониманием, желанием выказать  остроту  ума  или завистью  людей,
прозябающих в науке. Человеку, многие  годы упорно трудившемуся над решением
проблемы и затем  написавшему о ней подробную монографию, обидно видеть, как
легкомысленное  острословие  отметает   все  плоды  его  трудов.  Не   менее
болезненно,  если неизвестный  автор,  явно незнакомый с  предметом, получив
книгу на рецензию и защищенный традиционным щитом критического обзора, тешит
свое тщеславие, облаивая гиганта, как моська слона. Еще более досадно, когда
критик выражает неудовольствие вообще, не указывая конкретные недочеты, либо
использует   печатное  слово  для   изложения   противоположной,  но   чисто
гипотетической концепции, которую ему иначе не удалось бы опубликовать.
     Подобные мелкие нападки раздражают, однако опытный  автор или читатель,
как  правило,  не принимает их близко к сердцу.  А кроме  того, малозначимые
отрицательные  рецензии наверняка  будут  уравновешены таким  же количеством
положительных  рецензий,  в  которых равно  некомпетентные,  но  чрезвычайно
благожелательно  настроенные  рецензенты  воздадут неумеренную  хвалу  вашей
работе.  Опыт  показывает, что  любое  заметное  открытие  или  оригинальная
публикация,  не  говоря  о  капитальном  труде в новой области исследования,
неминуемо вызывает целый поток в равной  мере неоправданных положительных  и
отрицательных отзывов. Нет нужды уделять им слишком много внимания.
     В  скобках  заметим,  что  остряки-эксгибиционисты  могут  избрать  для
демонстрации   своих   ораторских   талантов   самые   неожиданные   аспекты
исследования. На конференции по стрессу, организованной в Лондоне в середине
50-х  годов (когда исследования  в  этой  области развивались  во всем  мире
особенно активно), меня  попросили составить список вопросов для обсуждения.
Полагая,   что  самым  разумным  будет  рассмотрение  наиболее  слабых  мест
концепции стресса, я  с  расчетом  на это и составил полный список вопросов,
который был  распространен  среди участников, но  без упоминания того факта,
что  он  был  подготовлен  мною.  В  результате у  присутствующих  создалось
впечатление, что  концепция  состоит целиком  из  сомнительных положений,  а
конференция  созвана для того,  чтобы меня уничтожить. Я  это  осознал после
того, как дискуссия приобрела наивысший  накал,  испытав  ощущение человека,
вынужденного произвести публичное харакири.
     В этот момент один из  участников конференции  в длинной и едкой речи о
слабостях  и погрешностях теории  стресса  заметил, что  "те, кто подготовил
программу", намеренно привлекли к ней мое внимание. Но  особую озабоченность
он выразил по поводу сотен и даже  тысяч публикаций по общему адаптационному
синдрому,  заполонивших  медицинскую литературу  всех стран.  "Те  из  нас,-
воскликнул он удрученно,-  кто  занимается  клинической работой, просто не в
состоянии уследить за этой лавиной  литературы по  стрессу!  Как же мы можем
преподавать этот предмет своим студентам?"
     Я  был несколько обескуражен, не умея объяснить причины того громадного
интереса, который вызвала концепция стресса. Все, что я сумел выдавить, это:
"Я полностью  согласен  с выступавшим.  Тем,  кому  не  хватает времени  для
изучения теории  стресса, не  следует  преподавать ее студентам". По реакции
моих  слушателей было  видно,  что такая рекомендация показалась  им в целом
вполне разумной.
     К сожалению, такого рода мелочные споры "съедают" наше время,  вынуждая
участвовать в  перебранках,  самый тон  которых  несовместим с  достоинством
науки.  Я не  против  сарказма  в  частной  беседе  (или  даже  в таких  вот
неформальных  заметках),  но что  касается научной  дискуссии,  то  здесь он
отдает   дурным  вкусом.   Первым  правилом   достойной   критики   является
объективность. "Плохого критика видно по тому, что он обсуждает  поэта, а не
поэму",-писал Эзра Паунд{32}. Очень  красноречиво по этому поводу высказался
У.  Беверидж  [2], по  словам  которого  новые идеи вызывают,  как  правило,
реакцию типа атака -  отступление. Атака обычно сводится  к мягким насмешкам
или к  систематической научной критике,  а отступление заключается в попытке
забыть о проблеме, дабы не решать ее. Причины  нападок могут  быть абсолютно
иррациональными,  как,  например,  в  случае   нападения  толпы  на  первого
человека,  появившегося на  улицах  Лондона  с  зонтиком,  но ученые  всегда
стремились объяснить их  с  рациональных позиций, изобретая разумные причины
того,  что на деле  является простой реакцией отторжения нового. Попытавшись
внимательно наблюдать за собой,  мы обнаружим, что  склонны оспаривать новую
идею еще до того, как она полностью сформулирована.
     В 1845 г. Дж. Дж. Уотерстон написал статью о молекулярной теории газов,
в  которой явно  предвосхитил  работы  Джоуля,  Клаузиуса  и  Максвелла.  Но
рецензент  Королевского  Общества,  которому  была послана рукопись, заявил:
"Эта статья не что иное, как абсурд". Уотерстон  был  столь глубоко уязвлен,
что  со временем прекратил свои  исследования. Его работа была забыта вплоть
до повторного ее обнаружения спустя сорок пять лет. У. Троттер, рассказавший
об этом, заметил, что таким вот образом гибнет при рождении множество  идей,
а  первооткрыватели,  у  которых недостает энергии  защитить свои  творения,
разочаровываются и безвозвратно уходят из науки.
     Последствия,  которые  предсказывались   в  связи  с   предложенной  Э.
Дженнером{33}  вакцинацией  человека коровьей  оспой,  представлялись  столь
устрашающими,  что  заговорили  об  опасности  заражения   "коровоманией"  и
появления "детей с бычьими головами" (одного даже  показывали!)... "Открытие
Дженнера,--продолжает У. Беверидж,- заключает в себе элемент иронии, который
столь часто придает особый интерес различным анекдотам из истории науки.  По
мнению  современных  исследователей,  штаммы  вакцины,  вот  уже  много  лет
применяемые во  всем  мире,  происходят от  человеческой оспы.  Их  источник
неясен, но, похоже,  что в  начальный период  развития вакцинации  коровья и
человеческая оспа были спутаны и вместо коровьей оспы ошибочно использовался
ослабленный штамм человеческой оспы" [2].
     В  разделе  "Построение теорий" (с.  265)  в качестве  иллюстрации этой
тенденции  приводится большое  количество  примеров.  Очень немногочисленным
новым  идеям  удалось  избежать  обвинения в  ереси.  Только  те  выдающиеся
открытия, которые имели немедленное и важное практическое  применение, уже в
момент своего  появления  были относительно  ограждены  от жестокой критики.
Сказанное относится  к лечению диабета инсулином (Бантинг и  Бест); открытию
антибактериального   действия   пенициллина   (Флеминг,   Флори   и   Чейн),
стрептомицина     (Ваксман)    и    сульфамидов    (Домагк):    установлению
противоаллергического   действия   антигистаминных   препаратов   (Халперн);
использованию АКТГ  и кортизона для борьбы с  артритом (Хенч и Кендалл). Все
эти,  несомненно, великие открытия  представляют собой  простое установление
новых  фактов,  но  не  теории,  которые  могли  бы  вступить  в конфликт  с
существующей медицинской традицией. Соответственно их появление вызвало лишь
незначительные   дебаты,  касающиеся  преимущественно   противопоказаний   к
применению и вредных побочных действий препаратов.
     В  то  же  время широкие  биологические  концепции,  такие,  как теория
эволюции (Дарвин), микробное происхождение  заболеваний (Пастер,  Кох), роль
аллергии  в  возникновении  патологических  поражений  (Пирке  и  Рише)  или
психоанализ (Фрейд), определенно  вызывали  и вызывают ожесточенные нападки.
Некоторым людям не нравится быть потомками обезьян, других возмущает мысль о
том,  что их поступки  имеют сексуальную мотивацию; даже идея  возникновения
серьезного заболевания по вине крохотных безобидных созданий либо аллергенов
выглядела поначалу столь странной, что оскорбляла здравый смысл.
     Подобные предрассудки  существенно тормозили прогресс науки, и  сегодня
нам  следует  быть  настороже,  когда  очередная  новая  идея покажется  нам
еретической. Мы должны судить о каждом наблюдении и каждой идее, принимая во
внимание  только их достоинства и по возможности  отстраняясь от сложившихся
воззрений и, самое главное, не критикуя вместо  самой идеи ее автора.  Будем
помнить, что "человек, взирающий на  звезды,  находится  во власти  дорожных
луж".



     Разумная  критика всегда  приветствуется, если ее преподносить  должным
образом;  она привлекает внимание к некоторым  аспектам проблемы, на которые
новатор мог не обратить внимания, и влияет на направление  его исследования.
Оживленные споры вокруг работы ученого  и умелое  парирование им критических
нападок являются для него дополнительным стимулом.  На малозначимые  идеи не
нападают - их игнорируют. По крайней  мере острая полемика свидетельствует о
том, что предложенная работа не является пустой банальностью. Как говорится,
"псу полезно иметь немного блох, дабы он не забывал, что он пес".
     Едва ли не наиболее болезненно  переживается  критика  молодого, но уже
имеющего  некоторый  опыт  научного   работника   со  стороны  его  учителя.
Руководитель  лаборатории несет  ответственность за работу своих сотрудников
(даже если не выступает их соавтором),  и появление существенных разногласий
может создать весьма деликатные ситуации.
     Обычно молодой человек  полон энтузиазма по  отношению  к плодам своего
труда,  и это хорошо, ибо без подобного энтузиазма он  бы ничего не добился.
Но  тот же энтузиазм способен самым  непостижимым образом  заслонять от него
все, что  противоречит  излюбленной идее.  В то же время его старший и более
опытный коллега склонен, как правило, проявлять большую осторожность, а если
он еще и мудр, то, оставаясь осторожным, старается избегать догматизма.
     Некоторые типы ошибок - грамматические или стилистические погрешности в
рукописи, недостаточные меры контроля или ошибочная  методика эксперимента -
редко  являются  причинами  разногласий. Но что прикажете  делать, если  ваш
сотрудник намерен строить обобщающие выводы  на основе  наблюдений,  которые
вам  (но, увы,  не ему) представляются недостаточно убедительными? Я пытался
разрешать такие затруднения, предлагая  начинающему ученому представить свою
работу на рассмотрение коллег и затем руководствоваться мнением большинства.
При этом, кстати, и я имею возможность сравнить собственную оценку  с точкой
зрения  других специалистов. Иногда  такой  подход срабатывает,  иногда нет.
Случается,  что, несмотря  на  единодушные  высказывания  против обсуждаемой
идеи, ее  автор остается непоколебимым. Что же тогда?  В  науке  большинство
голосов - еще не аргумент, и следует согласиться, что одинокий бунтарь может
оказаться прав.
     Когда   все  попытки  убедить  человека  заканчиваются  ничем,  научный
руководитель  попадает в трудное положение, потому что единственное, что ему
остается,-  это  употребить  власть  и  запретить  публикацию  сомнительного
материала.  Но  настоящий  ученый  слишком  хорошо  знает  цену  собственной
непогрешимости,  чтобы  с  легкостью  прибегать  к столь  жестким  мерам.  К
счастью, это случается  не  часто,  но когда  все  же случается,  я не  вижу
другого выхода, кроме как быть твердым и действовать согласно своей совести.
Научный  руководитель  не  только  несет  ответственность  за  "загрязнение"
научной  литературы  слабыми  и  ошибочными  публикациями,  но он  не  менее
ответствен за репутацию института и своих молодых коллег.
     Работа  с   аспирантами,   безуспешно  потратившими  несколько  лет  на
написание и  переписывание  своих диссертаций,  также  чревата определенными
сложностями. На стандартный вопрос: "Ну и что же вы хотите, чтобы я сделал?"
- можно ответить только в самых общих выражениях: "Выразите свои мысли более
ясно  и кратко. Постарайтесь построить материал  в  соответствии  с законами
логики". Но аспирант со всей очевидностью  не в состоянии этого сделать, а я
не могу переписывать  диссертацию за него. Здесь единственное  известное мне
средство  -  указать  несколько  типичных  ошибок и посоветовать  переписать
работу,  обращая особое  внимание  на  подобные ошибки на  протяжении  всего
текста.




     Не каждый вопрос заслуживает ответа.

     Публиций Сир

     Автор, работающий над  любой популярной, но дискуссионной темой, только
потеряет время, если станет обращать внимание на каждое малосущественное или
необоснованное  критическое замечание.  На серьезную же и  аргументированную
критику  всегда следует реагировать -  и не только письменным ответом, но и,
если   надо,   выполнением   экспериментов,   необходимых   для   достаточно
обоснованного  ответа.  Но   надо  остерегаться  придавать  слишком  большое
значение  бессмысленным  нападкам, ибо с течением  времени истина  все равно
выйдет наружу и необоснованная критика забудется.
     Не все из нас обладают мудростью и невозмутимостью  Дарвина, сказавшего
как-то: "Мои взгляды подчас совершенно неверно излагали, жестоко критиковали
и высмеивали, но мне  кажется, что  все  это делалось  вполне  искренне и из
лучших  побуждений"  [7].  Что  и  говорить,  далеко  не  все  нападки  -  в
особенности  такие   жестокие   и  издевательские,  как  в  адрес  Дарвина,-
высказывались от чистого сердца, но из соображений тактики лучше полагать их
таковыми.



     Чрезмерно  самокритичный  подход оказывает  стерилизующее  воздействие.
Слишком  обремененный знаниями "книжный червь" склонен к пессимизму, ибо, по
его мнению,  все, что  нужно, уже сделано, а если  что-то  и  не сделано, то
сделать это должным образом  технически невозможно. Для достижения успеха  в
исследовании  необходима известная доля оптимизма. Следует время от  времени
идти на риск, решая проблему, которая, быть может, и не выведет нас за рамки
известного или окажется технически трудно осуществимой. Стоит также рискнуть
подвергнуться  нападкам,  выдвинув новую концепцию,  если только  существует
уверенность в ее важности и достаточной верифицируемости.
     Нелегко  оставаться  безразличным перед  лицом  мелочной  и  враждебной
критики,  а  еще  труднее относиться к ней достаточной  объективностью, дабы
воспользоваться  содержащимися   в  ней  зернами  истины.   Этому  искусству
необходимо учиться.




     Дружественные  и  плодотворные  междисциплинарные  контакты   столь  же
животворящи,  сколь  может  оказаться  губительной   злобная  критика.  Сады
Академии близ Афин, где Платон и его ученики устраивали философские диспуты,
являли  собой наилучший  пример  благоприятного духовного  климата. В  новое
время к местам,  сохраняющим такую творческую атмосферу, принадлежат, на мой
взгляд, Оксфорд,  Кембридж  и  некоторые  маленькие  университетские городки
Германии.  Старинные  английские  колледжи  объединяют  студентов-медиков  и
молодых ученых-гуманитариев. Благодаря  тому что  за развитием разнообразных
учебных, мировоззренческих и даже общественных интересов  студента наблюдает
его  наставник,  тьютор,  который  впоследствии становится  руководителем  и
другом студента,  такая форма  обучения  чрезвычайно  способствует  созданию
благоприятной  обстановки для становления  специалистов как  в естественных,
так и в гуманитарных науках.



     По прошествии студенческих лет наиболее  важные научные контакты  имеют
место между руководителем и его непосредственными подчиненными. Именно здесь
гармоничные отношения могут оказывать наиболее плодотворное, а личные дрязги
- наиболее  губительное действие. Разумеется, работа в контакте с одаренными
людьми  имеет  массу  преимуществ,  но  не  ограничивается  чисто   научными
достоинствами.  Личностные  характеристики  шефа  и  сотрудника должны  быть
"подстроены"  друг  к  другу.  Руководитель  не  должен  взирать  на  своего
подчиненного просто как на  служащего, а  сотруднику не следует относиться к
руководителю  просто  как  к   администратору,   обеспечивающему  его   всем
необходимым для исследовательской работы.
     Есть  заслуженные ученые, уже не участвующие лично в  экспериментальной
работе, поскольку все их время отдано административной или преподавательской
работе.  Такие люди не нуждаются  в  помощи ассистентов  и не могут  служить
примером  настоящего  ученого. В  противоположность  этому активный  научный
руководитель  в   своей  исследовательской   работе   нуждается   в   помощи
сотрудников,  а  те  в  свою  очередь  обучаются в  процессе  работы  с ним.
Бездеятельный руководитель  дает сотрудникам больше  свободы, в то время как
активный лидер, заинтересованный в скорейшем успехе, порой перегружает своих
помощников рутинной работой.
     Все эти моменты  должны  тщательно учитываться при выборе руководителем
своих  помощников,  и наоборот. Если  молодой ученый  самостоятельно  выявил
перспективную проблематику  и не нуждается в  помощи старшего коллеги, да  и
сам  не  хочет  быть  чьим-то  помощником,  ему  следует  выбрать пассивного
руководителя,  который  просто  обеспечит  его  необходимым  материалом  для
работы.  Но  человек,  еще нуждающийся  в  помощи,  должен  выбирать  такого
научного руководителя,  который будет работать  вместе с ним в лаборатории и
имеет  репутацию наставника,  а не эксплуататора своих ассистентов.  До того
как принять решение, будущий помощник может навести справки о будущем шефе в
неофициальной беседе с  его подчиненными.  Что же  касается руководителя, то
его  положение  сложнее,  поскольку  при  выборе   помощника  ему  неминуемо
приходится полагаться на формальную беседу с кандидатом на должность либо на
рекомендательных  письма,  но,  как  известно, и  то  и  другое недостаточно
надежно. В  этом случае  для  обеих сторон лучше всего  заключить для начала
временное  соглашение,  которое позволит новичку  оценить  свои  перспективы
работы не только с руководителем, но и со всем научным коллективом.



     Если только они (ученые) регулярно читают свои лекционные курсы, их. не
в чем упрекнуть.  Я могу назвать многих уважаемых и трудолюбивых профессоров
вторые  никогда  не создали ничего  оригинального. И это их  право.  От  них
требуется преподавание  старых открытий, а не свершение новых... Должны быть
созданы  независимые, автономные  научные  институты,  единственной функцией
которых будет беспристрастный поиск истины.

     Ш. Рише

     Огромным недостатком организации американских университетов всегда было
привлечение работающих ученых для выполнения административных обязанностей

     У. Кеннон

     После  взаимоотношений  с  коллегами  следующими  по важности  являются
контакты с представителями администрации научного  учреждения.  Деятельность
ученого чрезвычайно  зависит  от того, насколько люди,  непосредственно  его
окружающие  - руководители, коллеги  и  подчиненные,- понимают его проблемы.
Сложности  обычно  возникают  в  связи  с  неприятием того  нонконформизма в
научных, административных и общественных вопросах, который является коренным
свойством   крайне   скептического   и  пытливого   ума  ученого.   Крупному
ученому-новатору нелегко  вписаться  в установленный  порядок вещей.  Ученый
должен  быть  уверен  в  искренней поддержке  и  в том,  что  его не  станут
перегружать обыденными преподавательскими и административными обязанностями.
Всегда,  сколько  я  помню,  велись  серьезные  дебаты  о  том,  следует  ли
профессиональным ученым читать обычные курсы лекций  для начинающих. На этот
вопрос нелегко ответить.  Умение  прочесть лекционный  курс  на  современном
уровне знаний и в увлекательной форме требует от ученого полной отдачи  сил.
Я  считаю, что такую работу  следует  доверять педагогам-специалистам.  Если
научный  работник  читает  элементарный  курс  просто  по  обязанности,  его
преподавание  вскоре  становится  стереотипным  и   не  приносит  пользы  ни
преподавателю, ни студентам. Но в то же время из "книжного червя" никогда не
получится  хорошего преподавателя.  Как само  преподавание,  так и  создание
отраслей знания, которые следует преподавать, в равной мере важны. Одни люди
обладают   предрасположенностью  к  преподавательской  работе,  другие  -  к
исследовательской; поэтому желательно, чтобы  каждый  занимался той работой,
которая ему нравится и которую  он  знает лучше всего. На мой взгляд, каждый
преподаватель    медицинского    учебного    заведения   должен    выполнять
самостоятельные и оригинальные исследования, имея для  этого соответствующие
возможности. Таким образом  он сможет поддерживать должный уровень  знаний и
передать  свой  энтузиазм  студентам. В  то же время не следует  форсировать
творческую работу преподавателя и, если она ему не удается, не нужно ставить
его  в неловкое  положение.  В этом отношении  надежды  следует  связывать с
профессиональным  ученым,  который,  помимо прочего,  должен брать  на  себя
основной труд  по обучению аспирантов,  поскольку  те заинтересованы главным
образом  в изучении  не результатов  исследований, а способов их выполнения.
Позволяя  студентам  и  аспирантам  принимать  участие в собственной научной
работе,  ученый наилучшим  образом выполняет  свою преподавательскую миссию.
Именно при таком личном участии будущий ученый научится искусству постижения
загадок Природы.



     Так  называемая  "светская  жизнь" ученого  обычно весьма  ограниченна.
Настоящие приятельские  отношения, как правило,  связывают детей  в процессе
игры,  спортсменов, участвующих  в совместных  тренировках и  соревнованиях,
участников  экспедиции,  армейских друзей, короче, всех  тех, чья внутренняя
жизнь  сосредоточена  преимущественно  вокруг  групповой  деятельности  либо
опасностей, возникающих в связи с ней. Выполняемые группой задачи могут быть
трудными и даже рискованными, но их легко  понять, и вся группа их решает. В
этом  отношении  ученый-"фундаментальщик"   предстает  достаточно   одинокой
фигурой.  По  мере  углубления в  избранную  им область знания  он все более
изолирует  себя от окружающих. Поэтому он не может с легкостью устанавливать
дружеские отношения, хотя, вполне вероятно, и тоскует по ним в своем строгом
одиночестве.
     Дружба, основанная на подлинной привязанности  и понимании,  чаще всего
возникает в процессе совместной работы в лаборатории  между коллегами или же
между учителем и учеником; иногда, впрочем,  дружба возникает между  людьми,
связанными общими интересами, но  работающими и  живущими в разных  странах.
Как  бы там  ни  было,  при выборе места работы "светская жизнь"  избранного
ученым  научного учреждения редко  является решающим фактором, разве что для
его жены.





     Организация исследовательских групп.
     В настоящее время  мы  во все большей степени зависим  от  коллективной
работы,  особенно  при  необходимости  соотносить  между  собой   результаты
исследований. Здесь возникают те же проблемы и действуют те же принципы,  на
которых  строятся  межличностные   отношения  в   любой   группе.  Основными
предпосылками успешной деятельности группы являются:
     1)  esprit  de  corps  -  дух  коллегиальности,  основанный  на чувстве
солидарности и взаимном доверии между членами группы;
     2)  выбор таких людей, которые проявляют  интерес к  работе группы и не
нуждаются в понукании, чтобы приспособиться к ее требованиям;
     3)  создание  такой  духовной  атмосферы,  когда  каждый  вносит   свой
посильный вклад в работу и знает, что коллеги  и руководство  оценивают  его
исключительно по деловым качествам;
     4)  создание  такой  организационной  структуры,  которая  обеспечивает
оптимальное управление всеми видами работ и их координацию;
     5) Доказательство выполнимости задачи не на словах, а на деле.
     Эти общие  организационные  принципы еще в большей  степени относятся к
разделу "Управление и руководство коллективом" (с. 205); мы  вернемся к  ним
ниже, тут же я коснусь главным образом групповой деятельности ученых.



     Мысль о том,  что любая фундаментальная  новая идея рождается в  голове
только одного человека, является  основным доводом  против групповой работы.
Однако  "обыгрывание"  этой идеи в  групповой дискуссии  помогает  отчетливо
сформулировать  ее.  Едва ли  не самые  лучшие идеи  приходили мне в  голову
именно в тот момент, когда я пытался объяснить своим слушателям нечто такое,
что  я только  чувствовал, но еще  до конца не понимал. Вот  почему на своих
совещаниях  мы  стараемся   больше  дискутировать.  Такой   обмен   мнениями
чрезвычайно плодотворен, но, как я уже говорил, он должен быть объективным и
вестись в дружеском тоне. Научное  обсуждение должно быть свободно от борьбы
за лидерство, от бестактного острословия или желания "выдержать марку", даже
если высказанные  конструктивные аргументы вступают в  противоречие с вашими
собственными взглядами.
     Научная дискуссия может помочь нам избежать той ограниченности, которая
связана   с  укоренившимися  навыками  мышления.  В   ходе  такой  дискуссии
появляются  превосходные   возможности  для   обнаружения  ошибок   в  наших
рассуждениях. Ценные замечания  могут  исходить  и  от неспециалистов. Когда
Кох,  например,  безуспешно  пытался  найти  твердую питательную  среду  для
культивирования  бактерий,  жена  его коллеги предложила использовать в этом
качестве  агар,  который она  применяла  для  изготовления  желе.  Дискуссия
обладает также тем великим преимуществом, что она побуждает других принимать
участие в  обсуждении и тем  самым способствовать развитию интересующей  нас
темы исследования - энтузиазм заразителен!
     Одним из лучших способов проведения плодотворной дискуссии и укрепления
сплоченности группы является практика периодических устных сообщений  о ходе
работы. Выступления  на  совещаниях  даже с простыми  балансовыми сводками о
повседневной  работе помогают корректировать возможные  упущения  в методике
или в общей концепции.



     Сформулировать   какие-либо    общие    правила,    которыми    следует
руководствоваться при подборе сотрудников, довольно трудно. В конечном счете
выбор работника должен  определяться  конкретными требованиями работодателя,
а,   точнее  говоря,  условиями  и  спецификой  предстоящей  работы.  Однако
продолжительное сотрудничество с множеством людей различного происхождения и
образовательного уровня, самых разных  национальностей дает мне  возможность
выявить некоторые общие правила,  пригодные  для  оценки  самых разных типов
людей.
     Первоначальная  беседа,  от  которой в наибольшей  мере зависит  судьба
претендующего на должность,  еще  не  решает  дела. Подбор сотрудника -  это
длительный  процесс,  поскольку и его требования,  и требования руководителя
постоянно меняются. Одним из наиболее ценных качеств хорошего администратора
является  способность  немедленно  распознавать любые  изменения  личностных
характеристик своего  сотрудника или специфику выполняемой им работы с  тем,
чтобы в кратчайшие сроки произвести необходимые корректировки. Простоты ради
я буду говорить о "работодателе"  и "работнике", но все  сказанное  в равной
степени  применимо  к научному и техническому персоналу любого уровня, в той
мере, в какой один человек осуществляет руководство работой другого.



     Имеются всякого рода балльные  системы ценки квалификации работников  в
соответствии  с  изменяемыми  критериями. Эти методы оценки имеют под  собой
явно  научную  основу,  ибо  показатели компетентности  прекрасно  поддаются
количественному  выражению.  Отсюда   напрашивается  вывод,   что   ценность
машинистки  как работника  зависит  от ее способности печатать быстро  и без
ошибок.  Но как быть,  если она  все время  торчит в  буфете  или ведет себя
вызывающе? Кроме  того, можно было  бы  отдавать  определенное  предпочтение
стажу  работы, так как  лаборанту, занимающемуся одним и тем же делом десять
лет  подряд,  наверняка известно  о  нем больше,  чем новому сотруднику.  Но
одаренный  и  заинтересованный  человек  способен  довольно быстро превзойти
старшего коллегу, изнывающего на одной и той же ненавистной работе в течение
десяти лет  за счет  инертности  -  своей  или  своего начальника.  Подобные
соображения  подрывают практически  любую  логически  обоснованную  балльную
систему. Рекомендательные  письма, удостоверения,  дипломы  и  всякого  рода
интеллектуальные тесты также весьма ненадежны.
     Вопреки мнению всех  специалистов я люблю играть в игру: "межличностные
отношения  с глазу на глаз,  да  и  на слух". С  моей точки зрения,  о любом
кандидате  можно узнать куда больше, чем из  стандартного теста, из беседы с
ним,  когда  следишь за выражением  его  глаз  и лица,  за  его  движениями,
анализируешь все, что относится к его уровню притязаний, его оценке прежнего
руководства,  его реакциям на  собственные  промахи и  успехи.  Порой самые,
казалось бы, не относящиеся к делу подробности оказываются наиболее важными.
Мне  кажется, что я очень  многое  могу сказать о стенографистке,  например,
просто  по  тому, как  она идет  по коридору  или ищет нужную книгу. У одной
каждое усталое движение подчеркивает, что она просто  оттягивает тот момент,
когда  снова  усядется  за  ненавистный  стол.  Развязное  поведение  другой
красноречиво говорит о том,  что в голове у нее только одно - как привлечь к
себе  внимание. И наконец,  третья движется уверенно  и  выполняет  все, что
нужно.
     В  принципе существует два типа работников: личностно-ориентированные и
предметно-ориентированные.  Первые думают только о  том впечатлении, которое
они производят на собеседника, вторые сосредоточены на теме разговора. Чтобы
поставить такого рода диагноз, достаточно подойти  к лаборантке  и спросить:
"Ну, как  дела?"  Личностно-ориентированная девушка непременно воспримет ваш
вопрос - вполне согласитесь,  невинный - как начало  допроса  или  даже  как
выговор. Она  начнет  нервно  перечислять  причины,  которые  помешали ей (и
особенно отметит тех, кто  в  этом повинен) сделать  то-то и то-то. Или же с
гордостью  назовет   целый  ряд  мелких  дел,  которые  она,   несмотря   на
непреодолимые  препятствия,  ухитрилась  блестяще  завершить.  Не  исключено
также,  что  она  воспримет  ваш  вопрос  как  приглашение пококетничать,  и
продемонстрирует весь  арсенал  женских приемов,  призванных показать, сколь
она привлекательна.
     В то же  время предметно-ориентированная девушка  без всякой аффектации
расскажет  вам о  состоянии  дел, при  этом она проявит заинтересованность в
работе и, возможно, озабоченность какими-то затруднениями, которые предвидит
и по поводу которых хотела бы получить у вас совет.
     Представители  этих  двух  типов  встречаются  на  любом  уровне,  хотя
различия между  ними выражаются всякий раз  по-разному.  Даже наш  коллега -
ученый,  бывает,  демонстрирует  личностную ориентацию,  стараясь  добиться,
чтобы его  собственное совершенство на фоне недостатков других  произвело на
вас должное впечатление. Если  в процессе  экспериментирования дискутируется
неожиданный результат, он категорически отрицает возможность ошибки,  а если
она  все-таки  была,  то  наверняка  была  допущена кем-то  другим. Он может
прибегнуть  даже  к  так  называемому  "методу  каракатицы":  как  известно,
каракатица  способна   выпускать  облачко  жидкости  чернильного   цвета.  В
подражание  этому  личностно-ориентированный  сотрудник  предпримет  попытку
замаскировать ошибку потоком слов (в том числе льстивых), восхваляющих  вашу
мудрость, которая позволила обнаружить ошибку.
     Ваш  предметно-ориентированный  коллега   постарается  проанализировать
возможный источник ошибки, пытаясь выяснить, что (а вовсе не кто!) послужило
ее причиной. Человек, способный в обстановке всеобщей нервозности (вызванной
тем.  что  из-за  непростительной  небрежности   может  быть  сорван  важный
эксперимент) сохранить спокойствие и трезвый взгляд на вещи, всегда вызывает
во  мне глубокое уважение.  С такими людьми приятно  работать, поскольку они
излучают особое обаяние.
     Существует и другой  способ "диагностики". Одни  сотрудники спрашивают:
"Что вы хотите,  чтобы  я сделал?", другие: "Чего необходимо добиться?" Люди
первого  типа могут быть  очень исполнительными, но всегда остаются  "мелкой
сошкой", цена им, как говорится, "пятачок за пучок".  Люди  второго  типа не
нуждаются  в  подобных инструкциях и не  стремятся вам  угодить.  Раз  поняв
задачу они  сами  находят  способы  ее  решения.  Это  прирожденные  лидеры,
независимо от того, руководят ли они научно-исследовательским институтом или
бригадой      уборщиц.      Вполне      понятно,      что      люди     типа
"что-бы-вы-хотели-чтобы-я-сделал"  в  целом  личностно   ориентированы,  они
считают  единственно  нужным  ублажать  кого-то, в  то время как  люди  типа
"чего-необходимо-добиться" предметно ориентированы.
     Быть  может,  мои  рассуждения  покажутся  не  более  чем  любительской
болтовней  на  психологические  темы,  но я  пока не нашел  более  надежного
способа оценки  людей, а ведь  это так  просто  "не разглядеть  за  оберткой
начинку". Слишком  часто я "обжигался" на  том,  что  принимал на  вакантные
места претендентов, имевших ученые  степени  по медицине и бывших лучшими  в
своем выпуске, но оказывавшихся совершенно бесполезными работниками. В то же
время некоторые люди, не окончившие  даже средней школы, становились в конце
концов   прекрасными   администраторами   и  даже   оригинальными   научными
работниками,
     У  меня  служила  секретарем женщина,  которой  было  вполне  по  силам
руководить целым  отделом,  хотя  ее формальное  образование  ограничивалось
секретарскими курсами. А домработницу, которую я постоянно  заставал дома за
чтением моих учебников, я взял  к  себе в отдел лаборанткой. Ей понадобилось
десять лет, чтобы получить диплом, поскольку она занималась  по вечерам. Она
продемонстрировала  немалую оригинальность мысли, хорошие технические навыки
и со временем опубликовала ряд интересных работ по медицине.
     Руководитель гистологического  отделения  нашего  института,  в прошлом
лифтер, начинал с должности ученика  лаборанта  в нашем же институте. На его
счету несколько выдающихся достижений в области гистологии и гистохимии.
     В настоящее время одним из моих сотрудников  является врач, с которым я
никогда раньше  не  встречался, но который  написал мне  очень  впечатляющее
письмо  из тюрьмы, где он  отбывал  пожизненное  заключение за  убийство.  Я
поручил ему выполнять научные переводы, и каковы бы ни  были его пороки, это
он делает превосходно.  Судьбы этих людей преподали мне великий урок: секрет
удачного выбора сотрудников прост - надо  находить людей, которые сами хотят
делать  то, что бы вам  хотелось от них  Если человек вне зависимости от его
формальной квалификации выполняет  свою работу только ради зарплаты или даже
из  чувства долга, он  никогда не станет блестящим работником  в  отличие от
человека, который в первую очередь исходит из интересов дела.



     Если  человек  не  подходит к  своей  должности, не пытайтесь  изменить
человека - поменяйте должность. Дайте ему достаточно времени  и предоставьте
необходимую помощь,  чтобы он мог справиться со своим заданием.  Если он и в
этом случае  не преуспеет, то  дело кончится тем, что  он возненавидит  свою
работу,   и  никакие  уговоры  тут  не  помогут.  Человека  со  сложившимися
привычками  практически  невозможно  изменить,  и  точно  так же  невозможно
выработать  у него те качества, которых ему  не достает.  Если  он совсем не
справляется со своей работой и  не любит ее, вовсе  не обязательно увольнять
его. Он может проявить себя с лучшей стороны, скажем, в  другом  отделе того
же института. Человек, которому противопоказаны функции лаборанта, поскольку
он не любит работать с животными, может оказаться превосходным библиотекарем
или  снабженцем. Главное, чтобы  дело  ему правилось  и он с ним справлялся.
Если же человек попробовал себя на разных  должностях и ни в одном отделе не
прижился, то не лучше ли предпочесть ему нового кандидата, который ничуть не
меньше  нуждается  в  работе и  может  оказаться  чрезвычайно способным?  Не
доброта,  а слабость  и  чувство  неловкости  удерживают нас  в  большинстве
случаев от  увольнения человека,  явно непригодного для  дела и отравляющего
общую атмосферу.



     Кто  бывает  хорошим  руководителем?  Когда  я  был  студентом-медиком,
главной целью моей жизни  было  работать под  руководством профессора Артура
Бидля. Он был выдающимся эндокринологом,  но у меня сформировалось еще более
возвышенное и идеализированное представление о  нем. Когда он наконец принял
меня на свою  кафедру в качестве внештатного и неоплачиваемого ассистента, я
почувствовал, что теперь у меня есть все, о чем я мог просить Госпожу Удачу,
остальное  зависит только от меня. Я и  сегодня по-прежнему  считаю, что это
самый эффективный  способ  выбора  руководителя.  Вы  должны  уважать его  и
доверять  ему,  Если же  он  не  оправдал  вашего доверия и оказался обычным
"эксплуататором" - расставайтесь с  ним. Сколько бы вы ни сетовали на дурной
характер шефа и ни пытались изменить его, все будет напрасным.
     Выбор места работы нужно начинать  с выбора руководителя. Ни  зарплата,
ни  должность,  ни условия работы, ни какие-либо прочие факторы  не способны
оказать   на  вашу  научную  деятельность  более  радикальное  влияние,  чем
непосредственный руководитель.  Начинающий  ученый  подчас недооценивает  те
трудности, с которыми ему придется столкнуться. Именно опытный  руководитель
может  оказать ему неоценимую помощь, направляя его  работу  и  удерживая от
необдуманных  поступков.  "Молодой  ученый   извлекает   большую  пользу  из
совместной работы с опытным исследователем, чем из руководящей  деятельности
последнего. То ощущение успеха, которое он испытает при этом, мобилизует его
силы. Более того, сочетание свежести и оригинальности мысли молодого ученого
с накопленным знанием  и опытом хорошего руководителя будет  взаимовыгодным.
При этом на  первый план выступают личностные характеристики  сотрудничающих
сторон. Как правило,  люди  с блестящими способностями  действуют на  других
стимулирующим  образом, но порой переполненность  их идеями и одержимость  в
работе  могут оказать  сковывающее действие на  их  младших коллег, желающих
испытать свои собственные  силы. Я уж не говорю о том, что блестящий  ученый
может быть  совершенно безграмотным в области теории и практики человеческих
отношений" [Беверидж, 2].
     Как  говорилось в предыдущей  главе (с. 147), молодой человек, желающий
утвердить себя в науке, должен выбрать такого научного руководителя, который
активно  работает в лаборатории и, значит, может учить собственным примером.
Каким бы авторитетом ни пользовался ученый благодаря своим прежним заслугам,
он  никогда  не станет вашей  "путеводной звездой",  если не  сумел  устоять
против  лести  и  превратился в живой  символ собственных  достижений. Такой
"старый боевой  конь"  заслуживает благодарности  и уважения  за все, что им
сделано,   но   оставим   его   пастись   "на   мирных   зеленых   лужайках"
представительских   функций.   Большой   опыт   и   личный   престиж   будут
способствовать  плодотворному  функционированию  его  в  качестве   научного
консультанта в  университетах  и правительственных  организациях.  Он окажет
стимулирующее  влияние  на   молодежь  в  качестве   лектора,  повествуя,  в
частности,   об   исторических,   психологических  и   философских  аспектах
практических исследований, но вот  обучать  последним он не сможет. Не стоит
забывать, однако, что  работа под руководством  уважаемого  человека украсит
ваш послужной список.
     Оценивая потенциального шефа  с этой  точки зрения,  имейте в виду, что
его  возраст  - фактор  далеко не главный. Есть  ученые, которые отходят  от
практической  работы сразу  же  после  первых ощутимых  успехов, будучи  еще
совсем  молодыми. Но есть  и другие  - формально они в пенсионном возрасте,-
которые остаются  "лабораторными трудягами",  выполняют важные  оригинальные
исследования и остаются превосходными учителями.
     Особенно   следует   остерегаться   искушения   работать   под  началом
руководителя,   который  позволяет  вам   делать   все,   что   вы   хотите.
Снисходительность человека, многого достигшего в  жизни,- вещь  очень милая,
но вот в плане подготовки молодых сотрудников полезность ее сомнительна.
     Существуют,   разумеется,  и   противоположные   крайности.   "Жесткие"
руководители иной раз настолько требовательны, что желают иметь право голоса
даже в вопросах  личной жизни  своих ассистентов. Показательна в  этой связи
точка зрения выдающегося немецкого патолога Людвига Ашоффа. "Я требую лишь,-
заявил он,- чтобы мои ассистенты работали по двадцать четыре часа в сутки, а
что  они делают все  свободное  время -  меня абсолютно не  касается!"  Хотя
пройти через это было, по-видимому, не так-то легко, но бывший ученик Ашоффа
поведал  мне данную историю  с теплой улыбкой, ясно свидетельствовавшей, как
он  благодарен   своему  бывшему  шефу   за  такую  спартанскую  подготовку.
Впоследствии он определенно нашел ей превосходное применение.
     Как  бы  ни  был  требователен хороший  руководитель,  он  любит  своих
студентов и с уважением относится к их интересам. Я  уверен,  что даже Ашофф
не настаивал на  буквальном  повиновении. Жесткий стиль  руководства требует
куда   больших   нервных  и   временных  затрат,   чем  либеральный   стиль.
Авторитетному ученому гораздо легче раздобыть все необходимое, чтобы два-три
помощника без излишней спешки выполнили  какую-либо  работу, нежели  обучить
одного  из  них  делать  ту  же  работу  самостоятельно.  Если  руководитель
настаивает   на  железной  дисциплине  и  ориентирует   всех   на  наивысшие
достижения, то  он при этом исходит, как правило,  из  соображений далеко не
эгоистических, уж во всяком случае не таких, которых следовало бы стыдиться.
Кроме того, в тех случаях, когда  к  ним обращаются  в поисках человеческого
сочувствия,  жесткие руководители  чаще  всего проявляют  не свойственную им
мягкость. Оказывая помощь советом или деньгами они рискуют порой  навлечь на
себя  резкую  критику  со  стороны  общества,  которое  не  склонно  прощать
импульсивный нонконформизм  многообещающему  молодому ученому,  попавшему  в
затруднительное   положение.  Приятно  видеть,  как  между  руководителем  и
подчиненным,  учителем  и  учеником  завязываются  теплые личные  отношения,
которые, кстати сказать, предполагают, что обе  стороны доверчиво раскрылись
друг перед  другом  и  сбросили  "защитные доспехи",  ибо  хотя  черепаха  и
дикобраз хорошо защищены, все же ласкать их трудновато.
     Я только сейчас  заметил, что  все  время говорил лишь  о  том,  какого
руководителя выбирать, но ни словом не обмолвился о том, как добиться, чтобы
и он вас выбрал.
     Как быть выбранным.
     Сидя перед диктофоном у себя в кабинете, я гляжу на стоящее передо мной
старое  кожаное  кресло,  в  котором  на  протяжении  нескольких десятилетий
доводилось  сидеть  десяткам,  если не  сотням честолюбивых  молодых  людей,
желавших попасть к нам  в институт на исследовательскую работу. Восемнадцать
из  них  в  настоящее  время  являются  профессорами  различных   зарубежных
университетов,  двое  - деканами  медицинских  факультетов,  многие занимают
ведущие позиции  в сфере производства.  Есть и  такие,  кто проработал у нас
всего несколько  лет, и я больше  ничего  о  них не слышал.  Но подавляющему
большинству  кандидатов  пришлось  отказать.  Мы редко принимаем  более трех
новых научных сотрудников в год, хотя  желающих, как  вы  понимаете, гораздо
больше. О большинстве  "отсеянных" кандидатов  нельзя было сказать,  что они
созданы для науки; что же касается тех,  кто впоследствии добился успеха, то
они  наверняка были  выбраны  удачно.  Но могу  ли я быть уверен, что  среди
"отсеянных" не было еще более достойных?
     Каждый научный руководитель пользуется собственными мерками, и  то, что
нравится в претенденте мне, может  не  произвести  впечатления  на других. И
опять-таки лучшее, что  я могу  сделать сейчас  для вас, - это  показать ход
мыслей   руководителя,   который   в   результате   единственной  беседы   с
потенциальным  сотрудником  должен принять решение  о  его  профессиональной
пригодности.
     Претендент  входит, мы обмениваемся  краткими  приветствиями, и  к тому
времени,  когда  он  усаживается после моего приглашения в уже упоминавшееся
кресло, я располагаю о нем  огромным количеством информации, основанной хотя
бы  на  том, с  каким  выражением  лица  он реагирует  на мою приветственную
улыбку. Есть ничего не выражающие  лица,  за которыми либо вообще  ничего не
скрывается,  либо  есть  что-то такое, что  нужно  утаить. Встречаются  лица
самодовольные, пышущие здоровьем и  чувством  удовлетворенности существующим
положением вещей.  Бывают лица  беспокойные и выражающие все оттенки чувств,
на  них даже  очень молодые глаза окружены  сетью морщинок,  а кожа тонкая и
сухая. Такие лица мне нравятся, но я убедился на опыте,  что это впечатление
может быть  обманчивым. Человек  с таким лицом несомненно представляет собой
индивидуальность, но он может оказаться невротиком (измученным, затравленным
человеком), а это самая серьезная  опасность для установившихся в коллективе
отношений; такой человек может  быть также ц бесплодным фантазером. Но может
статься, это как  раз тот  самый "Джон", письмом к которому открывается  моя
книга и которого я всегда мечтал видеть своим учеником.
     Но не следует судить слишком поспешно. Среди лучших моих учеников  были
и толстокожие, и полноватые; но вот глаза - глаза редко меня обманывают... У
ученых  всегда наблюдательные, живые глаза. Я  не хочу этим сказать, что все
живые глаза принадлежат только ученым.
     Претендент, как  правило,  нервничает, сидит на  самом краешке  кресла.
Чтобы он чувствовал себя свободнее, я начинаю разговор с безобидной  шутки и
предлагаю ему сигарету. Когда  он берет ее,  я обращаю внимание на его руку.
Бывают  ширококостные   и  атлетические  руки,  встречаются  руки  тонкие  и
чувствительные, да и вообще, какие только руки мне не попадались. Но  больше
всего  нравятся  мне  узкие  ладони  с длинными  пальцами,  тонкой  кожей  и
уверенными движениями, когда рука даже  в состоянии волнения  не  дрожит - я
это замечаю, предлагая  претенденту  прикурить. Такая  рука  незаменима  при
выполнении хирургических, да и  других тонких микроманипуляций и еще - уж не
знаю, почему  так получается,-  но  она  приоткрывает душу человека. Правда,
здесь опять-таки имеются многочисленные исключения.
     Для начала  я задаю претенденту на должность несколько общих вопросов о
его образовании, возрасте, семейном положении. А если он прибыл издалека - о
том, как добрался;  спрашиваю еще о чем-нибудь, на что легко  ответить, ведь
для  меня самое главное  - заставить  человека почувствовать себя  свободно,
чтобы  он  раскрылся в  процессе  беседы.  Затем  он,  как правило,  достает
рекомендательные письма, дипломы или удостоверения; все это меня не особенно
интересует, но я медленно  прочитываю документы,  чтобы дать  человеку время
оглядеться вокруг и привыкнуть к окружающей обстановке. Для себя же отмечаю,
какое учебное заведение он окончил, и если занимался раньше научной работой,
то  под  чьим   руководством,-  так  я  определяю,  получил   ли  претендент
соответствующую  формальную подготовку. Я  считаю, что гораздо важнее знать,
где и с кем человек  работал, чем какова  была его успеваемость в институте.
Образование,  полученное в  первоклассном  учебном  заведении,  представляет
собой неоспоримый фундамент для формирования культурного уровня  человека, в
то   время  как   прекрасная   отметка  за  учебу   может,  вообще   говоря,
свидетельствовать о приспособленчестве и начетничестве, а это, как известно,
служит только помехой оригинальным научным исследованиям.
     Далее я как бы ненароком задаю вопрос,  ответ на который дает мне самую
весомую информацию: "Почему вы хотите заниматься исследовательской работой?"
Хотя мое желание узнать  об этом совершенно  естественно, претендент явно не
ожидает такого  вопроса.  Дело в том, что он никогда  не  пытался  отчетливо
сформулировать  его для  себя.  Теперь  ему  приходится  задуматься и  четко
ответить на очень сложный, фундаментально важный вопрос  о мотивации научной
деятельности.  О, это совсем не просто, да  я  и  не ожидаю исчерпывающего и
последовательного анализа всех причин, побудивших его заняться наукой. И тем
не  менее  ответ говорит  о  многом. То же самое справедливо  и в  отношении
следующего  вопроса:  "Почему  вы  хотите  работать  именно  здесь,  в  этом
институте?"
     Есть  тысячи способов ответить на эти вопросы, и я не уверен, что смогу
объяснить, чем  определяется моя  реакция в  том или ином конкретном случае.
Описание каждого возможного варианта  заняло  бы  целый том,  однако ни  при
каких обстоятельствах я не стал  бы этого делать, ибо такая книга выдала  бы
все мои уловки.
     Для меня немаловажно  и  то,  насколько  искренним оказывается  желание
претендента получить искомую должность. Если кому-то  ее сразу предлагают, а
он предпочитает подождать месяц-два,  чтобы  урегулировать  свои личные дела
или использовать очередной отпуск, то я начинаю сомневаться. Истинный ученый
никогда не станет тянуть с началом научной работы.
     Если  есть   такая   возможность,  я  прошу  претендента  поработать  с
испытательным  сроком, чтобы  мы могли  получше  приглядеться  друг к другу.
Часто  это  невозможно, поскольку, не получив от нас определенного обещания,
он должен искать другие варианты. Если же претендент соглашается на "пробный
эксперимент",- это самый лучший способ установить, насколько мы сработаемся.
     Беседуя  с  претендентами на  технические,  административные  и  другие
вспомогательные  должности,  я  в  гораздо  большей  степени  руководствуюсь
личными  соображениями,  нежели  документами   или  результатами  тестов  на
профессиональную  пригодность,  хотя,  разумеется, машинистка  должна  уметь
печатать, а счетовод считать.



     Помимо   совместной   работы,   выполняемой   большими   группами   под
руководством одного крупного специалиста, плодотворное  сотрудничество может
возникнуть и  между двумя опытными учеными примерно одного научного  уровня.
Часто  говорят, что на  корабле  может  быть только  один капитан. В общем и
целом это справедливо и для  науки. Однако при совместной работе двух ученых
возникает  опасность, что один из партнеров,  заняв доминирующее  положение,
"задавит" другого. Эта опасность возрастает при сотрудничестве типа "учитель
- ученик".  Когда  один из коллег гораздо моложе и, возможно, в прошлом  был
аспирантом другого,  необходимо позаботиться о  том, чтобы  младший  коллега
сохранял  право принимать самостоятельные решения по  своей части работы.  В
противном случае более молодой или более слабый партнер приобретает привычку
во всем полагаться на  более сильного:  Мышцы, лишенные физической нагрузки,
атрофируются. То же происходит с творческими способностями: если застенчивый
или слабый партнер колеблется в принятии решения, то  следует вынудить его к
этому, даже  если  его  неопытность  отрицательно  скажется  на  результатах
работы.
     Сотрудничество двух руководителей крупных и  независимых  подразделений
складывается  особенно  трудно. В  этом случае наиболее эффективным условием
совместной  деятельности   будет  наличие  общего  предмета  исследования  и
принципиально различных  к нему  подходов.  Химик и хирург,  например, могут
плодотворно сотрудничать в  изучении  метаболических  последствий какой-либо
сложной  операции. При этом  ни один  партнер  не будет  сковывать  другого,
каждый  сохранит свободу  действий  и  оригинальность  мысли.  Хирург  может
разработать  методику  сложной  операции,  скажем,  удаления  гипофиза  либо
симпатической нервной  системы,  в  то время  как  его  партнер  -  биохимик
исследует кровь и данные клинических анализов уже после операции. Оба ученых
действуют совершенно независимо друг от друга: работа хирурга уже закончена,
а  работа  биохимика  только  начинается.  Отсутствуют малейшие  поводы  для
конфликта, а взаимная помощь способствует успеху в деле, которое ни один  из
партнеров  не сумел бы выполнить самостоятельно. Не менее плодотворным может
быть сотрудничество между химиком, синтезирующим лекарство, и  фармакологом,
испытывающим   его   на   животных;  либо   между   тем  же  фармакологом  и
врачом-клиницистом,  принимающим   окончательное   решение   о   возможности
применения разработанного препарата в медицинской практике.
     Особый тип сотрудничества двух партнеров - это супружеская чета. Полная
независимость  тут едва ли возможна (по крайней мере по причинам социального
характера),  но  этот  факт  не обязательно  имеет  негативные  последствия.
Действительно,  в супружеских отношениях,  даже  перенесенных в сферу науки,
определенная  подчиненность  одного  из  членов  группы  может  быть  вполне
приемлемой и даже желательной для одного или обоих партнеров.
     В истории  науки известно немало супружеских пар, усилиям которых можно
смело  приписать наиболее значительные  достижения человеческого интеллекта.
Я, в частности, имею в виду супругов Пьера и Марию Кюри, Карла и Герти Кори,
а также  Говарда  и Этель Флори. Чета Кюри - физики,  чета Кори - биохимики;
оба они -  и муж, и  жена применяли одни  и те же методы, у  них  было общее
оборудование, и на  протяжении  большей  части жизни  они работали  в тесном
сотрудничестве. Что  касается  четы Флори, то  Говард внес основной  вклад в
открытие пенициллина, в то время как  Этель, работая над параллельной темой,
испытывала препарат на пациентах.
     Значительно  чаще  жена не  участвует непосредственно в  работе  своего
мужа, но помогает ему  в качестве  лаборанта, секретаря или просто  хорошей,
всепонимающей  жены,  что  даже  еще  важнее.  К  сожалению,  встречаются  и
противоположные примеры.  Жена  Роберта Коха постоянно  изводила своего мужа
требованиями  прекратить  вскрытия  "этих  дурно   пахнущих   животных",   и
прославилась  несколько сомнительной ролью в открытии  туберкулезных бацилл.
Ксантипа, сварливая жена Сократа,  стала исторической знаменитостью,  оказав
негативное и чисто "женское" влияние на развитие греческой философии.



     Как показал опыт, научные достижения нельзя дарить. Свое удовлетворение
работой  толкового  младшего  коллеги  можно  выразить  щедрой   похвалой  в
присутствии  его  товарищей, повышением в должности или в зарплате.  Но если
его вклад - как бы важен он ни  был - не выходит  за  рамки административных
обязанностей  или чисто преподавательской  работы,  вознаграждение не должно
принимать  форму  соавторства  в научной работе (в  том  случае, разумеется,
когда   он   действительно   не   принимал   непосредственного   участия   в
соответствующей работе). Я убедился, что  в следовании  принципу "каждому по
заслугам" нельзя  идти на компромисс. Научные заслуги существенно отличаются
от достижений в других сферах деятельности.
     Молодой  человек, жаждущий увидеть свое им;  напечатанным, как правило,
не находит в себе сил воспротивиться предложению выступить соавтором статьи,
к под  готовке которой  он имел весьма косвенное  отношение. Но  с  течением
времени   он   начинает   испытывать   чувство  неловкости   и   высказывать
неудовлетворенность такой организацией дела, которая не дает ему возможности
внести  более адекватный вклад в исследовательскую  работу. В  то же время в
связи  с публикацией  имен  всех тех, кто по настоящему причастен к научному
исследованию, возникают в высшей степени деликатные проблемы. При совместной
работе  над  темой  практически невозможно бывает определить  вклад  каждого
члена  исследовательской  группы.   Кроме  того,   постоянная  озабоченность
признанием своих заслуг действует раздражающим и  разлагающим  образом.  Мои
заметки по психологическим аспектам научного исследования были бы неполными,
если  бы эта  чрезвычайно деликатная  тема  осталась  без  внимания.  Именно
поэтому  я  предложил   всесторонне  обсудить  этот  вопрос  на  конференции
сотрудников института. Были  предложены различные варианты, и в конце концов
единогласное одобрение получили три правила:
     1.  Каждому  члену  группы,  если  он   того   пожелает,   должна  быть
предоставлена возможность провести те или иные самостоятельные  наблюдения и
опубликовать их  результаты  под своим именем. Тем  самым устраняется всякое
ощущение, что имеет место принуждение  к совместной работе в группе (участие
же  в работе группы  стимулируется  просто  "естественным отбором",  то есть
включением в ее состав только тех ученых,  которые  в любом случае разделяют
интересы   группы).  Это  правило  не  относится   к   аспирантам  в  первые
восемнадцать месяцев  обучения, когда  их деятельность строго контролируется
научным руководителем.
     2. Исследователь, который первым предложил тему работы или провел самое
удачное  наблюдение,  автоматически  становится  первым  автором  статьи,  в
которой  описывается  эта работа.  Он  также  решает,  кто из  коллег  будет
упомянут в качестве соавторов и в каком порядке.
     3.  За  редким  исключением, количество  соавторов  не  превышает  трех
человек.  Практика показала, что  если под статьей стоит  большее количество
подписей,  читатель воспринимает  только первую. Когда большая  группа людей
работает  над  достаточно  обширной  темой,  принято  публиковать  несколько
статей. В  этом случае  задача научного руководителя  состоит  в том,  чтобы
позаботиться  об упоминании, пусть в долгосрочной  перспективе,  в  качестве
авторов всех  лиц, причастных к работе,  хотя  в каждой отдельной публикации
может по-прежнему встречаться не более трех имен.
     Такая  система  выглядит  весьма  искусственной,  так  что  в  попытках
усовершенствовать ее мы опробовали множество других способов, однако нам  не
удалось придумать  ничего  лучшего.  В  своем  настоящем  виде  эта система,
несомненно,  наиболее  полно  отвечает  интересам  всех  участников  группы,
занятых совместными исследованиями.
     Хотим мы того или  нет, но решающим фактором эффективной работы  группы
является  справедливое  распределение  и  признания,  и  ответственности  за
выполнение научной  работы.  Обходить молчанием эти вопросы нельзя, ибо в их
разумном решении  заинтересованы  все ученые. С  моей точки зрения,  в  этом
отношении в каждой  группе должна быть  выработана своя  четко установленная
линия. С тех самых  пор, как у нас было  решено жестко придерживаться  такой
линии,  мы  не сталкиваемся с серьезными  недоразумениями.  Бывают, конечно,
исключения, когда из  трех членов группы, подписавших статью, подытоживающую
результаты  их  работы, каждый  склонен считать свой вклад решающим. И  хотя
такая точка зрения  вполне естественна,  но  все же  лучше оставлять  ее при
себе.
     Для многих  молодых ученых чрезвычайно затруднителен  бывает переход от
аспирантской работы под контролем научного  руководителя  к работе в составе
группы  на правах полноправного ее члена. На первых  порах  новичок не может
делить  на  равных как  успех группы,  так  и ответственность за ее неудачи.
Случается  порой,  что,  пока  дела  идут  хорошо,  он  считает себя  вправе
требовать всех привилегий, которыми пользуются многоопытные члены группы, но
как только встает вопрос о возможной ошибке, начинает трогательно причитать:
"Не ругайте меня,  ведь я еще маленький и делал все, как сказал папа!" Члены
группы должны  отчетливо  осознавать,  что  право на  совместную  публикацию
результатов предполагает  равную меру как почестей  в случае  успеха, так  и
ответственности  в случае провала. Не стоит и  говорить о том, что соавтором
статьи не может быть тот, кто всецело не согласен с ее содержанием.




     Мы уже касались в этих заметках проблемы сотрудничества двух или  более
подразделений, возглавляемых ведущими учеными,  которые  работают независимо
друг  от  друга.  Сотрудничество  такого рода редко  бывает успешным. Как мы
видели, предпосылками  успеха в этом случае  являются обоюдная независимость
двух групп между  собой в административном плане  и взаимозависимость  между
ними  в научном  отношении.  Иными словами, каждая группа  должна  сохранять
автономию  во  всем,  что  касается финансирования,  применения  технических
средств  материального  снабжения  и  научного  руководства,  однако  должна
зависеть от конечного результата работы  другой группы. Только  при  наличии
этих  условий  обе  группы  будут  пользоваться  полной  свободой  в  выборе
направления    исследований   и   испытывать    уверенность    в   искренней
заинтересованности и содействии со стороны коллег.
     В   процессе   работы   по  кальцифилаксии,   например,  мы   выполняли
эксперименты  на животных, а  вот в том, что  касается  кристаллографических
методов   определения   отложений   кальция,  мы   сотрудничали   с  другими
подразделениями. Мы  ничего не понимали в кристаллографии, а  они были равно
несведущи в наших методах экспериментирования.
     Все,  что  от  нас требовалось  - это  проводить  эксперименты,  в ходе
которых  у животных  возникала  кальцифилаксия,  а  затем  отсылать  образцы
кальцифицированных тканей нашим  коллегам-физикам. Впрочем,  поскольку целью
обеих групп  было выявление кристаллографических свойств отложений  кальция,
обусловленных кальцифилаксией, все были чрезвычайно  заинтересованы в работе
друг друга и  в  ее успешном  завершении. Итак,  сотрудничество такого  типа
может быть исключительно  плодотворным, если приводит  к  решению проблем, с
которыми  ни одна  из  двух  сотрудничающих групп не  смогла  бы  справиться
самостоятельно.
     В то же  время мне никогда  не  приходилось наблюдая  продолжительное и
успешное сотрудничество между подразделениями, организованное в соответствии
с  какими-либо иными принципами. В разговоре с коллегами - учеными различных
специальностей  - фармаколог может  между прочим  упомянуть  о необходимости
проведения   каких-либо  биохимических  анализов,  а  под  влиянием  момента
биохимик иной  раз проявляет беспечность и предлагает  проделать эту работу.
Руководствуясь  кратковременным   порывом  энтузиазма   или  же  просто   из
вежливости, патолог может согласиться исследовать несколько образцов тканей,
если  это  нужно его  коллеге - биохимику.  Но  с течением  времени взаимный
интерес  к  работе иссякает. Отчеты  о ней  все более запаздывают, поскольку
подготовку   их  вытесняет  более   срочная  работа,  и   в   конце   концов
сотрудничество умирает  от  апатии. Фактически совместные усилия такого типа
становятся для обеих сторон чем-то вроде ненужного  рождественского подарка.
По мнению представителей каждой стороны, другая сторона заинтересована в них
гораздо больше, чем они в ней, на деле же все проявляют равное безразличие к
сотрудничеству.






     Самым ценным приобретением любого научного учреждения  является espirit
de corps - дух коллективизма, чувство взаимной привязанности  друг к другу и
к целям своей организации. Хотя это чувство достигает наибольшего развития в
воинских подразделениях, спортивных командах и клубах, оно может  возникнуть
и  в коммерческих  предприятиях,  и  в  научных  учреждениях. Такое  чувство
появляется  только  тогда,  когда коллектив понимает и разделяет  цели  всей
организации,   вдохновляется   ощущением   причастности   к  ее  успехам   и
достижениям.
     Для  того,  чтобы установился espirit de  corps, администрации  следует
позаботиться,  чтобы  члены коллектива на  всех  уровнях получше узнали друг
друга  и   прониклись  взаимной  симпатией,  которая  бы,  в  свою  очередь,
распространилась на выполняемую ими  работу. Быстрого и эффективного способа
достигнуть  espirit de  corps по-видимому,  нет в природе, но все же  я могу
привести  несколько проверенных на практике и оказавшихся для нас  полезными
приемов.
     С  каждым  новым   работником,  скажем,  лаборанткой,  проводит  беседу
начальник отдела  кадров г-жа Кейден очень благожелательная и  опытная дама,
которая разъясняет  девушке ее  обязанности и права (часы работы,  право  на
отпуск, премиальную систему и  т. п.). Она также вкратце описывает те цели и
задачи,   которые  ставит  перед  собой  институт,  конкретные   обязанности
сотрудницы и  перспективы,  открывающиеся  перед ней  по  мере  приобретения
опыта. Затем новую  сотрудницу представляют  непосредственному  начальнику и
коллегам,  один из которых знакомит ее с другими лабораториями и службами, с
тем, чтобы  она  как  можно  скорее начала  самостоятельно ориентироваться в
институте.
     Ежедневно  в  четыре часа  дня  мы  устраиваем  совместные чаепития.  В
дополнение к  этому  недавно мы  установили  обычай  устраивать в  помещении
Студенческого  союза  товарищеские  ужины,  на  которых  в  качестве  хозяев
выступают   начальники   различных   подразделений.  Они   могут   попросить
трех-четырех  своих  коллег придать  вечеру  более  "светский",  чем обычно,
характер и внести разнообразие в тематику бесед.
     Для создания здоровых  межличностных отношений в коллективе важно также
найти верный тон в  контактах между сотрудниками  разных рангов.  Чрезмерная
фамильярность   между  начальниками  и  подчиненными  подрывает  дисциплину.
Научный  сотрудник, склонный  заводить  любимчиков или,  когда он в  хорошем
настроении, заигрывать с лаборанткой, не сможет в  дальнейшем потребовать от
нее безропотного выполнения скучной, а подчас и неприятной работы.
     В  равной  степени  неприемлемы  и   чрезмерные  выражения  почтения  к
начальству. Если человек не пользуется  авторитетом, то он и не  заслуживает
уважительного обращения, если  же пользуется - лесть его  только оскорбляет,
ибо  льстец наивно полагает  его  тщеславным.  Когда сотрудник останавливает
меня в коридоре  вопросом: "Могу я кое о чем вас спросить, сэр?", он  уже во
всяком случае  сделал это,  прервав ход  моих мыслей. И потом  - как  я могу
сказать  "нет"?   Если  вопрос   действительно  срочный   и  требует   моего
немедленного вмешательства, то почему бы не обойтись без предисловий, а если
дело   может  и  подождать,  то  почему  бы  не   воспользоваться  одной  из
многочисленных    возможностей    (ежедневные    обходы    лабораторий     и
патологоанатомические конференции), предусмотренных именно для консультаций?
     Все бесчисленные формальные способы выражения  почтения раздражают. Нет
ни малейшей необходимости распространяться о величии научных достижений шефа
в  его присутствии, так же как нет  ничего более  бессмысленного,  чем сразу
втроем  кидаться открывать ему дверь.  Скорее наоборот: если вы думаете, что
шеф сделал что-то не так, то объективная критика не принесет никакого вреда.
Если  вы  правы,  и  если   он  -  разумный  человек,  то  он  будет  только
приветствовать  критику и  сумеет  подвергнуть свои  действия корректировке.
Если  же вы ошибаетесь, то сможете проверить  это, высказав  свои сомнения и
проследив за реакцией окружающих.
     Когда  я   был  ребенком,   наибольшее  влияние  на  формирование  моих
умственных способностей оказали моя гувернантка мадам Тотье, а позднее - мой
учитель  философии  д-р  Богнар.  Я  искренне  любил их обоих,  но -  должен
признаться - в разговорах со своими школьными товарищами отзывался о них как
о сварливых стариках. Уверен, что, даже если бы они и услышали эти слова, то
скорее всего не обиделись бы, потому что также любили и понимали меня. Из-за
политических пертурбаций в  Европе  оба  они  на  старости  лет оказались  в
крайней нищете, и  в  моем сердце вновь возникло  теплое  чувство, когда они
именно ко  мне  обратились за помощью, вовсе, впрочем, не сомневаясь  в том,
что получат ее, хотя мы и не виделись несколько десятков лет.
     Для создания  в институте  обстановки взаимопонимания необходимо, чтобы
уважение  проявлялось  естественным  образом, а не формально.  Я страшно  не
люблю просить кого-либо делать для меня скучную и неприятную работу, но если
он чувствует, что  мне это нужно, и делает ее без всяких просьб, я испытываю
к  нему  глубокую  благодарность.  Когда  кто-то по  собственной  инициативе
остается  до позднего  вечера, чтобы помочь мне закончить  нужную,  как  ему
известно, работу,- это  создает  то  самое чувство товарищества, которое нам
всем так необходимо. Особую  признательность испытываешь в том случае, когда
тебе  оказали  помощь,  ни  словом  не обмолвившись об этом.  Такие  примеры
проявления доброжелательности  и взаимного уважения  вызывают  у нас  в свою
очередь  взаимную  симпатию.  Стандартная  фраза  "Мы  все  -  одна  большая
счастливая семья" из-за частого  употребления  ее в сфере бизнеса сведена до
уровня  пошлости,  но  все  же в нее  можно вдохнуть реальное  содержание, и
особенно  в условиях медицинского  научно-исследовательского  института, где
порочная система личной выгоды сведена к минимуму.
     В  заключение--несколько  слов о признании  заслуг.  Мы  слишком  часто
говорим об ошибках и о  необходимости их исправлять,  совершенно забывая  об
успехах и их поощрении, ибо это происходит без нашего участия.  Я  уже много
раз  говорил  о  естественной  потребности  ученого  в  словах  одобрения  и
поддержки и  о том,  что это качество присуще всем людям,  независимо от  их
профессии.  Лица, ответственные за работу  целой  группы людей,  никогда  не
должны  забывать высказывать благодарность и удовлетворение хорошо сделанной
работой.  Не бойтесь  вызвать  у  ваших  коллег  чувство  "головокружения от
успехов", ибо такая опасность  весьма незначительна  в  сравнении с  угрозой
апатии, которая может возникнуть по причине вашего безразличия.
     Помните: люди--не  машины,  им  нужна  толика личного  участия.  Доброе
слово, сказанное ночному сторожу  или уборщице,  комплимент - машинистке (но
не в  тот  момент,  когда, как  вам кажется,  настала  ее  очередь  получить
комплимент, а  тогда, когда  она  действительно  хорошо  выглядит)  могут  с
течением времени внести свой вклад в espirit de corps.



     Делайте ее  сразу. "Делай все сразу!" - такой девиз официально принят в
нашем институте. Все, что только может охватить человеческий разум, рано или
поздно будет  открыто.  Поэтому  для  каждого  отдельного  ученого  проблема
заключается в том, чтобы успеть  на протяжении своей жизни сделать как можно
больше. Для  меня, похоже, этот  вопрос стоит наиболее остро - а может быть,
просто я чересчур чувствителен к  пустой трате  времени?  Посмотрим,  как  я
реагирую в таких случаях.
     Допустим,  на  патологоанатомической  конференции  мы  решили  провести
эксперимент, для которого в данный момент нет необходимых материалов. У  нас
нет, к примеру, трех книг, в которых  описаны  кое-какие технические  детали
эксперимента, и  двух реактивов, достать  которые можно только в учреждении,
находящемся  на другом конце города. В этом случае было бы разумно попросить
кого-нибудь из ассистентов  сделать соответствующие пометки  и  вернуться  к
этому вопросу, когда будет в наличии все необходимое для начала работы.
     Теперь  допустим, что ассистент ничего не  забудет и сделает все,  "как
положено". Он пойдет к  г-ну Брюне, который  отвечает в  нашем институте  за
снабжение,  объяснит  ему,  какие  реактивы нужны,  и  попросит  "как  можно
быстрее"  заказать  их.  Г-н   Брюне  выпишет  требование  и   с   очередной
корреспонденцией  отошлет  его  нашему  начальству,   которому,  прежде  чем
поставить  подпись, требуется предварительно убедиться, что расходы отнесены
к нужной статье. Затем со следующей корреспонденцией запрос попадает в отдел
снабжения  Университета, где  будут проверены номер  счета,  по  которому мы
собираемся  проводить  закупку, и  соответствие  последней  перечню  затрат,
разрешенных  финансирующей  организацией.  Когда  все это  будет  проделано,
надлежащим образом  оформленный запрос посылается поставщику, и недели через
две почта доставляет нам  либо препараты, либо письмо, извещающее нас о том,
что их нет в наличии.
     И это еще при  условии,  что бумага не встретила на  своем пути никаких
препятствий. Обычно же без них не  обходятся.  Либо  заказ  попал  не  в  ту
инстанцию,  либо  название  препарата  оказалось  перепутанным,  и мы вместо
адреналина получили адреналон, либо посылку неправильно адресовали,  так что
она попала на другой факультет...
     Я же предпочитаю действовать следующим образом - вызываю  г-на Брюне по
внутренней  связи   прямо  из   патологоанатомической  лаборатории  и  прошу
связаться  с поставщиком. Он созванивается  и тут же выясняет,  имеются ли в
наличии  необходимые препараты. Если да  - отправляет  посыльного  на  такси
(оплачивая  транспортные  расходы наличными  деньгами, предназначенными  для
мелких  расходов)  и  через пару  часов  препараты уже  в  лаборатории.  Все
формальности  и в этом  случае  необходимо выполнить,  поскольку  мы  должны
отчитываться за расход средств, но это делается в форме "авансового отчета",
когда эксперимент идет полным ходом.
     Я избавлю  вас от  подробного изложения формальностей,  необходимых для
получения  нужных книг,  если  их  нет в институтской библиотеке. Но  по той
системе,  которую  предпочитаю я, рассыльный  захватит их на  обратном пути,
возвращаясь  из  фармацевтической  фирмы,  и  мы  получим их  одновременно с
препаратами. Такая экономия времени и сил определенно стоит того, чтобы тебя
слегка пожурили за слишком частые отступления от заведенного порядка.  Дело,
разумеется,  несколько  осложняется,  если  материалы  должны  поступить  из
другого города. Но и тогда стоимость междугородного  телефонного разговора и
дополнительный расход на пересылку авиабагажом - не такая большая цена за те
огромные преимущества, которые дает система "Делай все сразу".



     Если  заказ не  удалось  выполнить немедленно, следует по  крайней мере
убедиться  что о нем  не  забыли.  Если  требуемые  препараты будут  для нас
специально  синтезировать  и  если  это  займет  три  недели,  то  неизменно
пунктуальный  г-н  Брюне  делает пометку в  своем  календаре и  незадолго до
истечения назначенного срока звонит с  целью убедиться, что о нас не забыли.
Принимая во  внимание  обилие  дел, которые одновременно  ведутся  в большом
научном  учреждении,  порой   поражаешься,  насколько  эффективно  следовать
принципам "Делай все сразу!" и (если  уж  это никак невозможно) "Доверяй, но
проверяй".  Требуется,  однако,  некоторое  время,  чтобы  люди  свыклись  с
подобной установкой вести  дела,  но  в  результате она  сравнительно  легко
входит в  привычку; правда, какие-нибудь запутанные  и нудные процедуры тоже
становятся  привычными,  но тут уж надо учитывать разницу  между  привычками
полезными и бюрократическими.



     "Латотропизм --(от греч.- "lathos" - "ошибка" и "trepein" - "обращать")
-  это  термин,  обозначающий  особый инстинкт,  позволяющий его  обладателю
немедленно обнаружить ошибку (даже единственную) в большой  и безукоризненно
выполненной  работе.  Это  слово   изобретено  моими   ассистентами  в  ходе
хитроумной кампании по возложению  на меня ответственности за их ошибки. Они
утверждают, что  я - к радости или к несчастью - наделен  сверхъестественным
"латотропизмом",  ибо, хотя  институт функционирует практически  безупречно,
куда бы  я  ни сунулся, я немедленно  натыкаюсь на  ту единственную  ошибку.
которая там имеется. Одно из  проявлений  "латотропизма"-  это, скажем, если
вы,  бегло  пролистывая  десятистраничную  рукопись,  обнаруживаете все  три
допущенные  машинисткой  ошибки,  либо,  глядя на стойку из сотен  клеток  с
крысами,  инстинктивно  замечаете  единственную  бутылочку для воды, которая
оказалась пустой.
     Проверка на  месте -  это контроль, ограниченный  несколькими ключевыми
или случайно  выбранными пунктами.  Лучший  способ управления  и контроля  в
сложной  по  структуре организации  - это  проверка на  месте,  направляемая
"латотропизмом".  Проверка  на  месте  означает   логически  обоснованную  и
сознательно спланированную систему контроля  и, следовательно, она поддается
объяснению.  "Латотропизм"  же  -   инстинкт,  основанный,  по-видимому,  на
подсознательной   оценке    прошлого    опыта;   механизмы   его    действия
проанализировать невозможно.  В силу  этого ограничим наш контроль проверкой
на месте.
     Руководитель большого научного  учреждения отвечает практически за все:
и  за  исследовательскую,   и  за  педагогическую,  и  за   административную
деятельность  Он  может и должен перекладывать ответственность за  отдельные
направления работы на заведующих  соответствующими подразделениями, но, если
те  ошибаются,  то  руководителя справедливо  обвиняют  в отсутствии должной
проницательности    при   подборе   сотрудников.    Вышестоящие   инстанции,
финансирующие  организации,  просто читателей  интересует  лишь  качество  и
достоверность выполненной вами работы, а вовсе не доводы, назначение которых
-  перекладывать на кого-то ответственность  в  случае  неудачи.  Настоящему
ученому  всегда нужно,  чтобы  руководимое им  подразделение функционировало
безупречно,  поскольку  выполняемая работа  представляет  для  него  интерес
независимо от  того, будут его укорять за  просчеты или нет. Ни один человек
не в силах самостоятельно выполнять или хотя бы детально контролировать весь
объем  работы большого  института,  а  раз  делать  это  все-таки  надо,  то
приходится прибегать к особым приемам.
     И  опять  позвольте  мне  обратиться,   насколько   это   возможно,   к
собственному опыту. Именно страх перед ошибками заставляет меня строить  всю
работу  на  применении таких  методик, которые  я могу  контролировать  сам.
Ежедневно  я  наблюдаю  за  поведением  подопытных  животных,  проверяю  все
патологоанатомические анализы и просматриваю все гистологические срезы. Хотя
все это отнимает массу времени, я нахожу, что не  зря трачу его, поскольку в
результате  имею  все  шансы выявлять  вероятные  ошибки, допущенные в  ходе
экспериментов.  Кроме  того, принимая непосредственное  участие  в  наиболее
значительных сторонах  нашей деятельности, я  получаю прекрасную возможность
осуществлять индивидуальное обучение сотрудников.
     Работа над статьями  и книгами - это еще один вид  деятельности, в ходе
которой проводится  анализ  и оценка полученных  результатов, не  искаженных
чужими ошибками. И если результаты окажутся  недостаточно убедительными, нам
некого винить, кроме самих себя.
     Руководить  исследованиями,  в  которых  применяются  экспериментальные
методики, значительно сложнее. Принципиально новую процедуру - скажем, новую
хирургическую  операцию,-  я  предпочитаю разрабатывать  самостоятельно.  Но
когда результаты удовлетворяют меня, ее широкомасштабное внедрение я  должен
передать в руки  своих сотрудников.  Если успешное  выполнение хирургической
операции   можно   объективно   проверить  при   вскрытии,  то  с  контролем
правильности применения других  методик дело обстоит  иначе. Здесь-то и надо
прибегать  к  проверке на месте. Лучшее, что я  в состоянии  сделать, -  это
обходить все  отделы и следить за выполнением различных процедур в более или
менее случайном порядке, обращая при этом особое внимание на те  виды работ,
в выполнении  которых могут быть допущены ошибки. Подобные проверки помогают
установить,   как   приготовляются   растворы   и   проводятся  инъекции   в
фармакологическом   отделении,   или   выяснить,    понятны    ли   студенту
принципиальные  моменты  того,  что   он  ранее  делал,  быть  может,  чисто
механически.   Невозможно    проверить   правильность    составления   тысяч
библиотечных  карточек,  но  несколько  из  них  на  выбор  можно  тщательно
просмотреть. Конечно  же, в такого рода деятельности "латотропизм" оказывает
очень большую помощь.
     Не знаю, как это  получилось,  но  я  однажды заметил, что пятилитровая
бутыль спирта в комнате машинистки, которая еще вчера была полной, оказалась
пустой.  Меня не вполне удовлетворил ее ответ, что спирт ей понадобился  для
чистки пишущей машинки, ибо шрифт был грязным.
     Трудно  объяснить, почему  у меня несколько лет назад внезапно  вызвали
недоверие  величины  стандартных ошибок  в таблице, подготовленной  одним из
ассистентов. Когда я  попросил его проверить таблицы,  оказалось, что  он не
умеет вычислять стандартные ошибки.
     Невесть по какому поводу один  мой приятель как-то  рассказал мне,  что
видел прекрасные портреты Эйнштейна и Швейцера в доме у одной из наших самых
толковых  и  грамотных  лаборанток.  Дело осложнилось  тем,  что именно  эти
портреты за несколько недель до того исчезли из нашей картинной галереи.
     Некоторые  из прегрешений, обнаружением которых  я  обязан проверке  на
месте,   или  "латотропизму",  либо  тому  и   другому   вместе,-  настолько
незначительны,  что не заслуживают  серьезного  внимания.  Другие, напротив,
могут сказаться на результатах. В заключение мне хочется привлечь внимание к
одной из наиболее плодотворных возможностей использования проверки на  месте
- выявлению апатии.



     Многое из того,  что было  некогда введено в качестве правила,  выходит
из-под   контроля  внимания,   и   работа,  в   которой  уже  давно   отпала
необходимость, продолжает выполняться.
     Помню,  как  в 1945 г., оставив работу  в Университете  Мак-Гилл, чтобы
основать наш институт, я договорился со своим другом профессором Дж. Брауном
(возглавлявшим тогда медицинский  факультет университета), что буду снабжать
его  копиями всех карточек предметного, именного  и реферативного каталогов,
готовящихся для нашей библиотеки. Он  в свою очередь  согласился нести часть
необходимых для  этого  расходов.  Некоторое время наше  сотрудничество  шло
очень хорошо,  но  в  1948 г.  прекратилось,  и  я сказал занимавшейся  этим
девушке, чтобы  она  в дальнейшем  не  делала копий. Я  выбросил все это  из
головы вплоть до 1953 г., когда случайно заметил под столом в библиотеке два
огромных  деревянных ящика. На мой вопрос об  их  содержимом  мне  ответили:
"Копии  всех карточек  за последние пять лет.  Мы все гадаем,  для  чего они
могут понадобиться".  Выяснилось,  что девушка,  первоначально  занимавшаяся
этой работой, вышла  замуж  и уволилась  как раз через несколько дней  после
того,  как  я велел  ей прекратить  изготовление копий. Находясь в состоянии
возбуждения от столь значительного события своей жизни, она, вполне понятно,
забыла передать распоряжение  относительно каталогов для профессора  Брауна.
Должен  признаться, что в данном случае  мой "латотропизм" продемонстрировал
досадно замедленную реакцию.
     Я почти уверен, что такого рода работа, выполняемая по инерции, вряд ли
может иметь место  в  нашем институте  теперь,  когда  мы  усовершенствовали
методы управления и  контроля. Но тем не менее это случается. Уделяя столько
внимания  контролю на  месте,  я  убежден,  что более  или менее  регулярная
проверка  всего,  что  делается,   позволяет  вносить  изменения   или  даже
прекращать те или иные виды работы, не соответствующие текущим требованиям.



     При  осуществлении  проверки  на  месте  вы  рано  или поздно неминуемо
столкнетесь с тем, что  кто-либо из  сотрудников заявит, что  работу  нельзя
сделать так,  как вам того хотелось бы. В этом случае не стоит заводить спор
о  том, может ли быть  выполнена  работа  или  не может; нужно просто самому
продемонстрировать,  как  ее  сделать.  Если  лаборантка  говорит  мне,  что
какую-то хирургическую операцию сделать невозможно,  я  просто беру  и делаю
ее. Никакие споры,  никакие  доказательства  не могут  сравниться  по  своей
убеждающей силе с прямой  демонстрацией, не говоря уже о том, что в ходе нее
могут  выявиться  причины,  которые  мешают  лаборантке   выполнять   работу
предложенным  мною  способом.  Чем  чаще  ученый  самостоятельно работает  в
лаборатории, тем больше у него возможностей изучить технические приемы и при
случае демонстрировать их.
     Лучший способ доказать, что какая-то работа, которую мы  не в состоянии
выполнить   сами,   может   быть   осуществлена,-   это   продемонстрировать
соответствующий  пример;  дело  только  за  тем,  чтобы   найти   для  этого
действительно подходящего специалиста. Я,  предположим,  не умею печатать на
машинке;  следовательно, если  машинистка настаивает на том,  что за рабочий
день невозможно напечатать  больше карточек и с меньшим  количеством ошибок,
чем она это делает сейчас, я оказываюсь перед необходимостью переубедить ее.
И  если я  по опыту  знаю  что она неправа, то  нет  более простого  способа
продемонстрировать это, чем пригласить хорошую машинистку (но только в самом
деле  хорошую!),  и ее  работа послужит самым красноречивым доказательством.
Такая система убеждения редко меня подводила.



     Мало кто догадывается (и еще меньше тех, кто готов в это поверить), что
каждый десятый обитатель Северной Америки  по меньшей мере один раз в  жизни
попадает в психиатрическую клинику. Значительно больше тех, кто подвергается
лечению, когда повод не столь серьезен и потому  не требует  госпитализации.
Наконец, тысячи людей нуждаются в лечении, но  так никогда  и не  попадают к
врачу  в  силу предубеждения  или непонимания,  а  главным  образом  -  того
обстоятельства,  что  для  психически  неуравновешенного   человека   в  его
состоянии нет ничего необычного.
     Определенную связь между "гением  и безумством"  подозревают уже  давно
(с.  88),  и вполне  естественно,  что  психические  отклонения  чаще  всего
встречаются у людей, ведущих необычный образ жизни. Солидный, уравновешенный
гражданин,  заинтересованный  в  прочной  и  спокойной  карьере,  становится
фермером,  торговцем  врачом  или  инженером.  Его  ни  в малейшей  мере  не
привлекают  такие  необычные и неопределенные занятия, как  поэзия,  музыка,
наука   или  литература,  в  которых   успех  зависит  главным  образом   от
оригинальности - непредсказуемого и в значительной степени неконтролируемого
отклонения от нормы.
     Все мы  в глубине  сердца  верим  в  миф о "безумном  гении".  Нам даже
хочется видеть  в ученых  эксцентричных,  рассеянных  чудаков,  с тем чтобы,
когда они  совершат  какое-то блестящее открытие,  мы не так  сильно ощущали
свою посредственность.
     Не  всегда, однако,  признается  тот  факт,  что  даже  вспомогательные
функции в  науке  выполняют  несколько  необычные  люди,  во всяком случае -
такие, кто не может или не хочет заниматься рутинными видами деятельности. В
определенном  смысле  это  социально  неприспособленные   люди,  однако   их
необычные пристрастия нередко заключают в  себе большую социальную ценность.
Любитель  фотографии  -   типичный  буржуа  -  скорее  постарается  овладеть
профессией фотографа, нежели  стать  специалистом  по  микрофотографии,  где
объект съемки - живая клетка. Девушка, которая хочет стать медсестрой, будет
искать работу в больнице, а не в лаборатории, где ее пациентами скорее всего
будут  крысы.  Типичный  библиотекарь вряд ли  заинтересуется классификацией
научной литературы.
     Многие  из  тех,  кто  нашел  себе  место   в  научно-исследовательском
институте,  ранее  испытывали  свои   способности  на  другом   поприще,  но
безуспешно.  Какую-то   часть   сотрудников  составляют  перемещенные  лица,
бежавшие от политических или религиозных преследований; есть и такие, кто не
удержался на прежней работе из-за болезненной застенчивости, несовместимости
с  окружающими,  неуравновешенности  либо  глубокого  отвращения  к  рутине.
Единственная общая  черта,  объединяющая всех этих  людей,-  их  отличие  от
"среднего человека" по личностным характеристикам или прошлому опыту. Какова
бы  ни  была  причина  этих  отличий,  но  такие  люди  создают  в  обществе
определенные  проблемы.  Необходимо  научиться   извлекать   пользу   из  их
прекрасных,   но  несколько  причудливых  душевных  качеств  и  держать  под
контролем их слабости.  Но ни  в  коем случае  не стоит избавляться от  этих
людей,  хотя  ужиться с  ними совсем не просто: для этого может понадобиться
редкий дар приспособляемости и понимания человеческой природы.
     Помимо   людей   с    незначительными   отклонениями,   любой   большой
научно-исследовательский институт  неизбежно привлекает изрядную долю людей,
неврозы или даже психозы  которых  настолько сильны, что  с ними  не удается
справляться. В этих случаях лучше  всего как можно раньше прояснить ситуацию
и устранить возмутителя спокойствия с минимальным шумом  еще до того, как он
успеет отравить атмосферу.
     По собственному  опыту знаю,  что в научных учреждениях  наиболее часто
встречаются  люди  с  психическими  расстройствами,  вызванными  навязчивыми
идеями преследования и  ненависти со  стороны окружающих. Эти  чувства могут
породить акты мести воображаемым врагам.  У  нас  работала  одна лаборантка,
которая так возненавидела своего  непосредственного  начальника, что  решила
довести его  до сумасшествия. Начала  она  с классических анонимных звонков,
изменяя  голос и  сообщая, что у нее есть  верные сведения о  его неминуемом
увольнении.  Когда  это  не сработало, она  принялась обзванивать  аптеки  и
рестораны, давая срочные ночные заказы на адрес своей жертвы, с тем чтобы не
дать  ему выспаться.  В конце концов  она прибегла  к еще более  решительным
мерам. Когда  ненавистного начальника не было в городе, она отправила к нему
на  дом работников похоронного  бюро, которые поинтересовались у его  детей,
доставлено ли уже тело их отца.
     Подобные   жуткие    выходки   -   исключительное   явление.   Наиболее
распространенным  способом   мести  страдающей  неврозом  лаборантки  своему
руководителю    является    преднамеренно    испорченный    эксперимент,   а
стенографистки - безнадежно перепутанные нужные шефу документы.
     Когда имеешь  дело  с  подобными  агрессивными  типами,  самая  большая
трудность состоит в том,  чтобы убедить коллег, что перед ними больные люди.
Бессмысленные  акты  враждебности обычно приводят  к  бесконечным  и  пустым
спорам относительно полной неоправданности такого поведения и к  болезненным
эмоциональным  реакциям,  когда  на  ненависть  отвечают  ненавистью. Нельзя
ненавидеть слепого за то, что он слепой, и стараться убедить его в обратном;
просто его не нужно брать на работу шофером. И  все же объяснить, что в этом
отношении  психическая болезнь  не отличается от  физической,  бывает крайне
трудно.
     "Но где же пролегает граница между нормальным и ненормальным?- спросите
вы.- Имеются  ведь  всевозможные  переходные  типы. Каждый злится, когда его
несправедливо обвиняют, и  нередко серьезное  непонимание  можно  устранить,
поговорив  "по  душам".  Да  и стоит  ли  исключать  из  сферы  человеческих
отношений  такие  категории, как  чувства и доводы?" Конечно же, нет; просто
приемлемых для всех случаев рекомендаций здесь не бывает.  Самое "кустарное"
правило, которому  я следую,- это отвечать человеку в  зависимости от склада
его  характера:  если  он  эмоционален,  то  теплотой,  если  рационален, то
разумными доводами. Между  этими типами людей нет четко очерченных границ, и
переходы  от одной крайности к  другой достаточно  постепенны.  Но когда  вы
хорошо знаете человека, вы также знаете, в какой степени он отвечает за свои
поступки и соответственно реагирует на ваши. Научитесь приспосабливать  свои
реакции, и вы почти не будете ошибаться.



     Я  и не собирался ничего затевать. Я просто возвращался после совещания
в  лабораторию,  думая  о   своем.  Эти  новые  наблюдения  по  нейротропной
кальцифилаксии, которые мы только  что обсуждали, открывают, похоже, широкие
возможности  для  исследования  нервной  системы.  Настроение  у  меня  было
хорошее, что называется "joie de vivre" ("радость жизни").  Поэтому, проходя
мимо комнаты мисс Джонсон, я подумал, что хорошо бы сказать прилежной старой
деве приветливое словечко. Она  всегда  такая  отзывчивая, корпит до поздней
ночи  над моей  рукописью  о  "тучной клетке",  стараясь  хоть  на  шаг меня
опередить. В конце концов нам пришлось взять ей  в помощь двух машинисток, и
я беспокоился, хорошо ли они сработались.
     "Добрый день, мисс Джонсон! Как  ваши дела?" - сказал я в дверях  с той
ослепительной улыбкой,  которая украшает мою  физиономию только тогда, когда
эксперименты идут успешно. "Добрый  день, доктор  Селье",- ответила она, и я
почувствовал,  что  ее обычно приветливые голубые глаза исказились от ужаса.
Она подалась вперед, тщетно пытаясь прикрыть то, что лежало у нее  на столе,
своими пухлыми белыми руками и внушительным бюстом.
     Все,  что я хотел,- это задержаться на минутку у двери и полюбезничать,
но ее необычный жест  встревожил меня.  Что  тут  происходит? Пока  я шел от
двери,  она быстро  закрыла ящик своего стола, но не так быстро, чтобы я  не
успел  заметить чашку  кофе  с  ободком губной помады,  наполовину съеденное
яблоко и "Стандартный англофранцузский словарь".
     Я всегда знал,  что  мисс Джонсон отличается завидным аппетитом  и весь
день  жует,  но,  поскольку  она  прекрасная  секретарша,  какое  это  имеет
значение?  Сейчас же  она  явно  пыталась скрыть  свою  работу, а печатать в
рабочее  время  что-то  постороннее  -  это  совсем на  нее непохоже.  Я  не
собирался задавать никаких вопросов, но все было настолько неожиданно, что я
был заинтригован. Подойдя ближе, я  уселся на стул как раз перед ее  столом.
Она  нервно  схватила  листы, перевернула  их,  а затем  принялась  небрежно
поигрывать  чехлом пишущей машинки,  складывая его и так и эдак, сначала  на
коленях,  потом  на  столе пока  он  наконец  не  оказался поверх  страницы,
заложенной в машинку.
     Но было уже поздно. Я  заметил имя Шекспира, напечатанное на машинке, а
рядом на столе - издание его трагедии "Юлий Цезарь". В том, что в моей книге
о "тучной клетке" не цитировался Великий Бард, я был совершенно уверен.
     "О нет,-  подумал  я,-  только  не  мисс  Джонсон!  Мисс Джонсон - само
воплощение  добросовестности, верный друг,  на  чью  абсолютную надежность я
всегда  мог рассчитывать...  Это ей я поручил присматривать  за  другими!" И
все-таки улика была налицо.  Моя милая мисс Джонсон трудилась над сочинением
для  своих  вечерних занятий по  английской литературе, в то время  как  я с
нетерпением  ожидал свою  рукопись! Я даже сейчас  помню те  две  строки  из
книги, которую она пыталась спрятать:

     Друг переносит недостатки друга,
     А Брут преувеличивает их.

     Как бы там ни  было, в  мои планы не  входило  унизить бедняжку.  Кроме
того, вся эта сцена  смутила меня  ничуть  не меньше, чем саму мисс Джонсон.
Нужно было срочно найти какой-то достойный выход из создавшегося положения.
     - Я как раз собирался спросить,- услышал я самого себя,- довольны ли вы
теми двумя новыми  машинистками, которые помогают вам  работать над  "Тучной
клеткой"? Как вы  думаете,  втроем вы сумеете обойтись  без сверхурочных? (О
боже! Это был самый неподходящий вопрос, но он уже задан...)
     - О да, сэр,- воскликнула она, разражаясь потоком  слов - конечно,  они
пока еще  не знают медицинских терминов, но, я уверена, они быстро научатся.
Я  вижу, что им не  терпится показать себя на  новом  месте  с самой  лучшей
стороны.  И  в  любом  случае мы  ведь  взяли  их только временно. Поначалу,
знаете,  приходится следить за  ними. Нельзя позволять им приобретать дурные
привычки. Но в целом они освобождают меня от массы рутинной работы...
     - Ну что ж, я рад, что они вам пока нравятся. Собственно, я и зашел для
этого. Надо бежать, а то меня заждались в лаборатории.
     Не  было  никакого  смысла  давать  ей  понять,  что  я  застал  ее  за
посторонними делами и заметил это. Да, скорее всего, она  и сама догадалась.
В кои-то веки раз это со всяким может случиться.  Миссис Джонсон не молода и
одинока, а  одна из  главных целей ее  жизни - получить диплом по английской
литературе. Наверняка  она не успела выполнить свое домашнее задание. Что  ж
теперь?  Излишне говорить, что я никогда больше  не уличал  мисс  Джонсон  в
неверности моей "тучной клетке". И все же никогда бы не подумал, что...
     Н-да, чувствую, что вся эта история передана не наилучшим образом, хотя
я дважды ее переписывал. И все-таки  она  звучит  банально! Сначала я  думал
просто  выбросить написанное  в  корзину,  но  потом решил не  делать этого.
Подобный  случай  произошел на самом деле,  хотя  мне  пришлось  существенно
изменить детали,  дабы не привести  в смущение настоящую  "мисс Джонсон".  А
гладко  построить свой рассказ мне не удалось потому, что вся эта история до
сих  пор приводит  меня  в  смущение.  Когда я, вольно или  невольно, застаю
кого-то  за посторонними  делами, я  не  просто огорчаюсь - я чувствую  себя
оскорбленным. Знаю, что это глупо и что не стоит расстраиваться по пустякам,
но  тем не менее  расстраиваюсь, и это факт, так  же как история, которую  я
счел нужным здесь описать.
     Насколько я в силах проанализировать собственные чувства, я ощущаю себя
оскорбленным по следующим причинам:
     1. Коль скоро я усердно тружусь над своей частью работы, меня задевает,
когда другие относятся к ней спустя рукава.
     2. Мне стыдно  замечать такие пустяки. Я  чувствую, что это нескромно -
наблюдать за людьми, даже  когда им положено  работать  для меня. Принуждать
людей отрабатывать свою зарплату - это некрасиво и отдает скупостью. Но ведь
меня огорчает не потеря денег, а, если хотите, недобросовестность сотрудника
и боязнь, что подобное отношение к работе распространится и на других.
     3. Мне  стыдно, если читатель этих записок  узнает, что  подобные  вещи
творятся у нас в институте.
     4. Я чувствую себя обманутым людьми, которые на словах выражают большое
уважение к моей работе, а на деле проявляют отсутствие интереса к ней.
     5. Почему  такие вещи всегда должен замечать  я? Для  чего  у нас тогда
заведующий кадрами?
     Я знаю, что должен быть  выше  подобных вещей, но не могу. Мне стыдно в
этом признаваться, но еще более стыдно было бы не признаться.
     Ну да ладно!  Случается это не так уж часто, а потом,  у меня есть свои
утешения.  Сегодня  я  обнаружил,  что  посредством   кальцифилаксии   можно
избирательно вызывать отложения кальция  в  блуждающих  нервах. Удивительно!
Какие  таинственные  химические  процессы должны отвечать  за  тот факт, что
организм в  состоянии выборочно посылать  кальций в эти два нерва?  В голову
приходит  множество  идей,  ведь   эта  находка  дает  простор  бесконечному
количеству новых экспериментов. В сравнении с этим сочинение  мисс Джонсон о
Шекспире  не  столь уж важно.  Так стоит ли беспокоиться об  этом?.. Досадно
лишь то, что я все же делаю это, немножко...




     Каждый ученый - неисправимый индивидуалист, и потому  вопрос подчинения
чьим-либо приказам или авторитетам для  него  чрезвычайно  болезнен.  Способ
выражения   им   собственного   взгляда  на  природу   не  терпит   волевого
вмешательства.  Ученый не может  работать  под началом руководителя, который
заставляет его  заниматься  маловажными, с его точки зрения, проблемами  или
использовать методы, которым  он  не доверяет. И тем не  менее ученому нужно
проявлять  достаточную  гибкость,  чтобы  приспособиться  к   условиям   той
социальной структуры, которая обеспечивает его всем  необходимым для работы.
В  зависимости  от   собственного  мировоззрения  каждый  ученый  определяет
приемлемую  для  себя степень  компромисса  с  политическими и  философскими
принципами страны, в которой он живет, университета,  в котором  работает, и
финансирующих организаций, которые самым непосредственным образом регулируют
его деятельность. Так или иначе компромиссы в интересах дела неизбежны.










     В  одном  университете когда-то жила-была  девица и  очень  ей хотелось
научиться  готовить, да  не какую-нибудь там  яичницу,  суп  из  пакета  или
баранью отбивную, а готовить так, чтобы проявить оригинальность, воображение
и все  такое прочее,- словом, так, как  некогда готовил  великий французский
кулинар Саварен.
     Но, увы, как она ни старалась, ничегошеньки-то у нее не получалось.
     "Плачем делу  не поможешь,- решила  девица,- надо  действовать с  умом.
Начну готовить по книге". И она одолела  все поваренные  книги, какие только
возможно.
     Но готовить так и не научилась...
     Отбило  ли  это  у нее  охоту? Нет! Чем  дальше, тем  больше она любила
стряпню.
     "Ведь я же умница, отличница,- говорила она себе,- неужели я не  одолею
это искусство?"
     И она накупила самых лучших и точнейших весов, термометров и таймеров и
осталась  очень  довольна  собой.  "В  конце  концов,-  рассуждала  она,-  в
кулинарии, как и везде, все подчиняется законам логики, химии и физики, а уж
в этом-то я разбираюсь получше какого-нибудь Саварена!"
     Но, увы, все точнейшие приборы требовали столько времени на обдумывание
и отмеривание, что до самой готовки руки не доходили.
     Вконец  отчаявшись, бедная  девица забросила кулинарию  и вышла  замуж.
Когда  у нее появился первенец, она ужасно удивилась: "Неужели это я создала
такое  сложное и замечательное  существо,  не пользуясь  при этом ни  умными
книгами, ни хитрыми приборами?.."
     Мораль этой  истории не в том, чтобы забросить ваши книги и приборы,  а
чтобы осознать  их ограниченность.  Иногда  в  чем-то они помогают  нам,  но
творческий  процесс  слишком  сложен,  чтобы  его  можно  было разложить  на
составляющие и направлять по  собственному усмотрению. Если каждый шаг своей
работы   подвергать   постоянному  интеллектуальному   и   инструментальному
контролю,  понадобится целая  вечность. Человеческая  жизнь  для  этого явно
коротка.  Наверное,  поэтому  совершенство  и  непогрешимость  в  творчестве
возможны только при условии бессмертия.




     Последующие  страницы будут  посвящены  тем  аспектам  научной  работы,
которые   наиболее  тесно   связаны   с   процессом   исследования:  методам
лабораторной работы и  способам  координации  знаний. При этом я  отнюдь  не
ставлю себе целью создать полное руководство по этим вопросам. Я просто хочу
изложить  сугубо  неформальные,  личные   соображения  относительно  научной
методологии, основанные на опыте использования методик, которые  разработали
мои  коллеги  и я. Не буду касаться  сложной лабораторной  техники, процедур
математического    представления   данных   и    их   эпистемологической{34}
интерпретации вовсе не потому, что я  сомневаюсь в их достоинствах, а  из-за
недостатка у меня соответствующего опыта. Кроме того,  я совершенно убежден,
что  даже  в  наше время многие фундаментальные  открытия могут быть сделаны
методом  простого наблюдения  явлений  Природы,  которое  меньше  подвержено
ошибкам измерения и интерпретации.
     Разумеется,   все  желательные   для  наблюдения  изменяющиеся  условия
создаются  по  мере  возможности  экспериментально,   но   даже   и  это  не
обязательно.   Экспериментальные  исследования   в  их  теперешнем  виде   -
сравнительно  новое явление в науке.  Они  практически  не были известны  до
эпохи  Возрождения,  но за сравнительно короткий период  человек значительно
преуспел   в  проникновении  в  тайны  Природы,  извлекая   пользу  их   тех
бесчисленных  экспериментов,  которые она  постоянно  производит без всякого
нашего вмешательства. Так  мы познали начала астрономии, основы описательной
биологии,  и именно  на такого типа непреднамеренный,  случайный эксперимент
ориентируется врач, когда наблюдает внезапное заболевание, признаки старения
или неожиданное выздоровление.  Когда  совершается  открытие  (см.  гл.  8),
бессознательный  интуитивный   процесс  предшествует  управляемой  сознанием
логике; в научном исследовании наблюдение  самопроизвольных  явлений  обычно
имеет место еще до планирования, эксперимента. О наблюдениях мы уже говорили
(с.    102),    теперь   давайте   обратимся    к    практических   аспектам
экспериментирования.



     Научная работа -  это в высшей степени личностная деятельность, поэтому
лаборатория  должна   отражать  личность  ее   руководителя.  По  поводу  ее
организации  можно сформулировать лишь небольшое  число общих правил. Во вся
ком  случае,  идеальный  вариант  -  это   иметь  не  максимально  возможное
количество  сотрудников,  аппаратуры и помещений, а  ровно столько,  сколько
действительно необходимо. Такие требования могут быть очень скромными, если,
скажем,  речь  идет  о гистохимике,  который предпочитает сам  выполнять всю
техническую работу. В этом случае он может  ограничиться  одним лабораторным
помещением и  уборщицей.  В то же  время  ученый  широкого профиля, которому
вдобавок   нравится   преподавательская  работа,   может   рассчитывать   на
руководство громадным институтом.
     Нездоровая тяга к приобретательству и  неоправданная уверенность в том,
что успех работы пропорционален имеющимся материальным средствам, заставляют
часть ученых тратить немало сил  и  времени на  увеличение бюджета, штатов и
площади своего подразделения. Такого рода деятельность неизбежно приводит их
к  чистому  администрированию. И наоборот,  застенчивость  и скованность  не
позволяют другой части ученых отстаивать даже то, что насущно необходимо для
их работы, и  потому их потенциальные творческие способности так и  остаются
до конца не раскрытыми.
     Для любого подразделения существует "естественный размер", определяемый
наклонностями и способностями его руководителя. В наилучшем варианте ученому
следует  иметь максимально возможную по его способностям лабораторию, где он
будет осуществлять научное,  а не административное руководство.  Как  только
отдел  разрастается до  такой  степени,  что  руководители подотделов станут
независимыми в научном отношении, должность  руководителя отдела  становится
номинальной  и отдел должен  разделиться на  независимые части. Но и в  этом
случае может быть полезным сохранить общую администрацию, которая занималась
бы материальным снабжением всех  групп. В то же  время нет ни необходимости,
ни  оправдания  для подчинения  научной деятельности всех сотрудников одному
руководителю.



     Создавая новый  учебный или научно-исследовательский институт, мы порой
недооцениваем важность человеческого фактора  в их  будущей организации,  не
говоря  уже о том, что  мыслить категориями бюджета, зданий  и  оборудования
гораздо   легче.  Последние,  однако,  не   могут  служить   своему  прямому
назначению,  если  не будут полностью приспособлены к нуждам тех, кто станет
их  использовать.  Самым основным  и решающим,  хотя и  самым трудноуловимым
фактором при создании любого института является его идея в том виде, в каком
она отражается в умах  осуществляющих ее людей. Такая идея, если она хороша,
как  магнит  притягивает материальные  ресурсы, а исполненная  воодушевления
группа известных  ученых  достаточно  легко  привлекает умелых  помощников и
способных студентов,  даже  располагая самым скромным помещением. И в то  же
время сколько  "храмов  науки"  представляют  собой не более чем  туристскую
достопримечательность,  интеллектуальная  пустота  которой  остается  вечным
памятником некомпетентности  ее  основателей. Точно  так же как сам человек,
его  разум и его тело развиваются в соответствии  с кодом, записанным в двух
крошечных  клетках,   так  и   сложнейшая  организация  научного  учреждения
базируется на одной основной идее, плане, проекте.
     Большая  часть  нашей  насчитывающей  столетие  библиотеки,   например,
погибла в прошлом году от  пожара, однако действительно утраченной оказалась
лишь  небольшая ее  часть.  Поскольку  система  организации  библиотеки  еще
сохранилась  в  памяти  ее  сотрудников,  а  научная  ценность  -  в  памяти
читателей,  моей первостепенной задачей после пожара  было спасти именно  ее
идею. К моему  большому  удовлетворению,  в фонд библиотеки достаточно скоро
поступили многочисленные дары  в виде  денег.  книг, журналов и оттисков. Но
никакая  материальная  помощь  не  смогла  бы обеспечить это  восстановление
книжного фонда  без тех людей, в памяти которых все необходимые сведения  по
организации дела благополучно пережили трагедию.
     Проект, а точнее, идея проекта - вот что  действительно имеет значение.
И хотя  сами  по себе они бессильны, все  материальные и  духовные  ценности
зависят от них. Вот почему в науке, как  и в любом другом виде деятельности,
необходимо уделять особое внимание  методологии, планированию и  организации
работы.



     При  рассмотрении  проблем  методологии  желательно  в  первую  очередь
определить  степень  специализации. В  разделе  "Простота  и  сложность"  мы
говорили  о  том, что  ученый постоянно  сталкивается  с извечной  проблемой
соотношения между  широтой  исследований  и их  глубиной:  чем выше  степень
специализации,  тем  уже  круг вопросов,  подлежащих  изучению. В  1957  г.,
обращаясь к Американскому физиологическому обществу, его тогдашний президент
Алан Бертон сказал: "Физиолог-интегратор, который обозревает как целое,  так
и связи между его различными  частями  и который может использовать знания о
биологических   механизмах,  должен  интегрировать   информацию,   собранную
биофизиком  и  биохимиком,  дабы   придать   законченный  характер  изучению
собственно биологической организации..." Нам нужны ученые широкого  профиля,
ученые-интеграторы,   способные   обозревать   горизонты   науки,   выявлять
взаимосвязи  и намечать широкие  перспективы  ее  развития.  Но нам нужны  и
специалисты,  которые  даже ценой утраты  общей перспективы  могут  овладеть
методами проникновения в суть отдельных проблем.
     Соотношение между  широтой и  глубиной знаний должно  устанавливаться в
соответствии  с  индивидуальными  способностями  и  наклонностями  человека.
Каждое промежуточное значение  этого спектра знаний, как правило, имеет свои
основания,  избегать  следует  лишь крайностей.  Сверхспециализация ведет  к
потере отдачи:  настойчивые разработки методик ведут к увеличению  их числа,
увлечение  философией   науки  порождает   дальнейшие  философствования,   а
статистические  исследования   рискуют  погрязнуть  в  трясине   статистики.
Оправданием   подобной   бесплодности  науки  служит  типичный   довод  всех
неудачников - уж следующее-то поколение непременно  извлечет пользу из всего
того, что  мы  сделали для его  блага. Принеся таким образом себя  в  жертву
потомкам, мы с легкостью перекладываем всю ответственность на них, забывая о
том,  что способы мышления и деятельности плодотворно  развиваются  лишь при
условии  их постоянной проверки и совершенствования в зависимости от условий
применения.  Чистый теоретик, так же  как и  чистый практик, редко  вносят в
науку поистине ценный вклад.
     При выборе  конкретных методов и области исследования не будем забывать
ту  простую  истину, что  перспектива видна  только на расстоянии; отдельные
детали  могут оказаться тривиальными аспектами целостной картины. Невозможно
установить, например,  что представляет собой собака, если изучать каждую ее
часть даже под электронным микроскопом. Что касается меня, то я бы предпочел
узнать все  возможное  о  собаке,  играя  с  ней в  минуты досуга.  Но,  как
говорится, о вкусах не спорят, просто к ним надо приспосабливать наши методы
исследований.
     В процессе медленной и кропотливой работы можно детально  воспроизвести
предмет,   а  можно  изобразить  его  одной   изящной  линией.  Классическое
искусство,   подобно   фотографии,   настаивало   па   принципе   детального
изображения, в то время как  современное искусство  стремится, абстрагируясь
от   деталей,  оперировать   символами,   подчеркивая  таким  образом  самое
существенное   в   предмете.   Оба  этих  принципа  представлены  в   науке.
"Современная  мода",  несомненно,  отдает предпочтение проникновению в глубь
предмета, наращивая степень точности используемых  инструментов. Этот  метод
чрезвычайно эффективен, но  в безудержной  погоне за деталями можно потерять
из виду  целое. Для  чего, к  примеру, изучать сложнейшие  физико-химические
свойства стула,  если мы хотим удобно  сидеть на нем? Для нас имеет значение
только его макроструктура. То же касается и науки. Наше чрезмерное увлечение
сложными  техническими  методами  подчас  мешает  овладению самыми  простыми
приемами, необходимыми для поверхностного осмотра внешней стороны явлений.
     Однажды гость  нашего  института -  известный  биохимик,  специалист по
сложным  ферментативным   реакциям,  участвующим  в   выработке  кортикоидов
надпочечниками,- горько  сетовал на то, что в его лаборатории  нет человека,
который смог бы удалить  надпочечники  у крысы. Более  того, в  ходе  беседы
выяснилось,  что  сам он не имеет  ни  малейшего представления  о  том,  как
сделать  внутривенную   инъекцию!  На   следующий  день  нашим  гостем   был
прославленный  морфолог,   один  из  величайших  авторитетов  по  гистологии
паратиреоидов.  Он  выразил  желание увидеть  специалиста,  который сумел бы
определить  содержание кальция  в  крови. Казалось бы, что может быть проще,
чем овладеть  этими элементарными методами, доступными  любому лаборанту, но
факт  остается  фактом -  этого  не происходит. Более  того,  с  возрастом у
человека вырабатываются  специальные  "тормоза",  препятствующие даже слабым
попыткам овладеть  простейшими манипуляциями, выходящими  за рамки привычной
методики.
     Существует острейшая потребность во врачах-теоретиках широкого профиля,
которые  владели   бы  по   крайней  мере   основами  разнообразных  методов
исследований    (гистологии,     биохимии,     хирургии,     конструирования
инструментария,  документацией,  статистикой),  преодолев  тем  самым боязнь
неизвестного. А этим неизвестным может быть что угодно, в  том числе простой
гистологический   или  биохимический   анализ,  элементарное   хирургическое
вмешательство или изготовление простейшего инструмента.
     Еще пример. Что делать  ученому, владеющему только своим родным языком,
если ему нужно прочесть важную публикацию  на другом языке? По-видимому, ему
остается  только пожать  плечами или усмехнуться (хотя  чему  тут  смеяться,
плакать  надо, однако он скорее всего будет смеяться). А поскольку раздобыть
хороший  перевод  узкоспециального текста трудно, он попросту  обойдется без
него.  Излишне  говорить, что ученый,  обладающий  даже самым  поверхностным
знанием  иностранных  языков,  не  испытывает  чувства  страха  и  пусть  со
словарем,  но  переведет  позарез нужную публикацию. Человек же, научившийся
более или менее сносно управляться с двумя-тремя языками,  без особого труда
освоит еще один, поскольку его не  ставит в тупик сама мысль об оперировании
незнакомыми ему словами.







     Технология  - это приложение научных знаний к  практике,  иначе говоря,
это прикладная  наука. Она обеспечивает также практическую реализацию всего,
что связано с выработкой новых фундаментальных научных знаний.



     Одна  из  основных  проблем  экспериментальной  медицины  -  выбор вида
животных, на которых будут проводиться исследования. В лабораториях наиболее
широко  используются,  особенно  для  массовых  экспериментов,  такие мелкие
грызуны,  как  мыши,  крысы и  морские  свинки, поскольку  они  сравнительно
недороги и  их  легко  содержать. Кроме того,  их могут поставлять в больших
количествах,  и они  представляют  собой  разнообразные инбредные  или  даже
генетически чистые линии.
     Некоторые  виды  животных  чрезвычайно  удобны  для  проведения  с ними
определенных  экспериментов. Например,  на  кроликах особенно  легко изучать
явления   атеросклероза,   поскольку   они  чрезвычайно   подвержены   этому
заболеванию. Лошади благодаря своему  большому объему крови используются для
массового  производства  иммунных  сывороток.  Крысы   обладают  необычайной
сопротивляемостью  к  инфекциям.  Если   в  бактериологической   работе  это
недостаток,  то  в экспериментальной  хирургии  это  преимущество, поскольку
отпадает необходимость в абсолютной стерильности. Морские свинки чрезвычайно
подвержены  заболеванию  цингой,  в  то  время  как  -крысы,  вырабатывающие
собственный  витамин С,  не  заболевают  ею даже  при  безвитаминных диетах.
Высокая   организация  мозга  обезьян  делает   их  наилучшим  объектом  для
экспериментов по изучению центральной нервной системы.
     Некоторые виды животных обладают удобными анатомическими особенностями.
Мой учитель Бидль  с  успехом продемонстрировал жизненную необходимость коры
надпочечников, использовав  для этого некоторые  виды  рыб,  у  которых этот
орган совершенно отделен от мозгового вещества и может быть выборочно удален
без повреждения последнего.
     Итак,  мы  видим,  насколько  выбор  подопытных  животных   зависит  от
характера экспериментов, которые мы хотим осуществить. Ни один  вид животных
не  является универсальным, но  есть некоторые  общие правила,  определяющие
выбор. При обнаружении какого-либо  биологического  свойства  у одного  вида
животных необходимо проверить его наличие  у  нескольких  других видов, дабы
убедиться,  что  это наблюдение может быть обобщено. Кроме того, другие виды
животных могут оказаться более удобными для опытов. Затем следует проверить,
какое  влияние на  результат  эксперимента оказывают такие факторы, как пол,
возраст, беременность, лактация или зимняя спячка животного.



     Когда  Э. Ру{35} впервые  задумал  показать,  что  бациллы  дифтерии  в
состоянии  вырабатывать  яд,  он  ввел  умеренное  количество  свободной  от
микробов  дифтерийной  бульонной  культуры кроликам и морским свинкам, но ни
одно из животных не проявило ни малейших признаков заражения. Отчаявшись, он
ввел  маленькой морской  свинке 35  мл  этой  культуры.  На этот  раз  явные
симптомы  дифтерии  были  налицо  и животное  погибло,  но  эксперимент  был
расценен как бессмысленный, поскольку 35 мл культуры  соответствуют примерно
10  % веса  тела  морской свинки.  И все же  именно  этот  в  высшей степени
"неестественный" эксперимент обеспечил такую  концентрацию дифтерийного яда,
что, как сказал  Де Крюи, "одной унции  (28,3  г)  этого очищенного вещества
достаточно для того, чтобы убить 600 000 морских свинок либо 75  000 крупных
собак!" [7].
     В науке нередки случаи, когда первоначальный эксперимент, который задал
направление исследованиям, представляется слишком искусственным, чтобы иметь
какое-либо реальное значение. Насколько  это  возможно,  эксперименты должны
проводиться в  условиях, близких к тем. которые имеют место в реальной жизни
или по  крайней мере  во время болезни.  Но это  далеко не всегда возможно и
необходимо,  особенно  на  начальной стадии исследования,  когда еще ведутся
поиски  оптимальных условий  работы.  К  сожалению,  неестественные  условия
эксперимента  являются  постоянным   объектом   для  нападок   скептиков,  в
результате  чего множество  многообещающих  исследований  было  погублено  в
зародыше.  Даже  самые калечащие  животного  операции  вполне  естественны в
сравнении с  работой на изолированных органах  или  тканях, когда не  просто
удалена та  или  иная часть организма животного, но вообще  исследуется лишь
один изолированный  орган.  И  тем не  менее  подобная  работа in vitro ("на
уровне пробирки") внесла фундаментальный вклад в науку.
     Лично  я  являюсь   ярым  сторонником  экспериментирования  в  наиболее
естественных  условиях.  Если  только это  возможно,  я  предпочитаю изучать
целостное  физиологическое   явление  (воспаление,   адаптационный  синдром,
кальцифилаксию)  или  модели заболевания,  нежели их отдельные  составляющие
(изменения в отдельных  структурных или химических  элементах) . Но  никакое
исследование   не  должно  объявляться  лишенным  ценности  только  на   том
основании, что оно выполнялось в "неестественных" условиях. Да и вообще, что
такое неестественные условия? Полное удаление поджелудочной железы, казалось
бы, весьма "неестественный" способ вызывания диабета,  и все же  он оказался
настолько  близким к спонтанно возникающей  болезни,  что обеспечил открытие
инсулина.   Для   того   чтобы   доказать,  что   минералокортикоиды   могут
обусловливать  сердечно-сосудистые  и почечные  расстройства,  нам  пришлось
давать их в огромных лозах. Дело в том,  что до того, как нам стали известны
"обусловливающие  факторы",   не   существовало   иного  способа  обнаружить
болезнетворное  действие этих  гормонов; фактически  мы  даже  не  смогли бы
разработать схему такого  эксперимента,  который  привел бы  нас к  открытию
самих "обусловливающих факторов".




     Простое  наблюдение -  это  самый  удивительный  и  доступный  из  всех
биологических методов,  и от него  зависит  большинство других.  Разумеется,
просто держать глаза открытыми бывает порой недостаточно. Надо учиться тому,
как смотреть,  на  что смотреть  и каким образом помещать изучаемый объект в
рамки нашего  поля  зрения. Нам  необходимо  обрести  способность  созерцать
естественное  явление с  полной объективностью  и  предельным вниманием,  не
поддаваясь предубеждениям и не отвлекаясь. И все-таки  никак не обойтись без
известной  доли  предубеждения  или,  назовем  его  иначе,  подсознательного
управления вниманием со стороны опыта. Только с  его помощью можно пробиться
сквозь туман несущественного.
     Мы уже говорили, что великое преимущество наблюдения состоит в том, что
оно в отличие от  химических или  физических методов воздействия  выявляет в
объекте его бесчисленные свойства и взаимосвязи. Наблюдение дает целостный и
естественный образ, а не набор точек. Чем проще метод наблюдения и чем менее
мы полагаемся на средства увеличения и выделения отдельных деталей, тем шире
поле  исследования  и   тем  более  естественным  образом  оно   сохраняется
неповрежденным.
     Наиболее  прямой  путь  в исследовании  состоит  в  том, чтобы  изучать
естественное явление, не поврежденное в  процессе подготовки и не искаженное
инструментами  наблюдения.  Самые первые  и,  стало  быть,  основополагающие
наблюдения были сделаны  в  период,  когда  люди созерцали звезды, растения,
животных,  минералы, подмечая  их  видимые свойства и поведение. Со временем
эта простая связь между наблюдателем и  наблюдаемым предметом претерпела ряд
изменений благодаря  возникновению  методов, позволяющих  помещать отдельные
элементы  в самый фокус нашего зрения. Появились инструментальные наблюдения
с помощью телескопа или микроскопа, в том числе с помощью препарирования.
     Эксперименты стали  предусматривать искусственное создание условий, при
которых  Природе как  бы задается вопрос о  ее  реакции на  любое изменение.
Сегодня в  своих научных изысканиях мы все более зависим от инструментальных
наблюдений  и  экспериментирования. Мы  почти  забыли  простое  наблюдение -
старейший метод, к  которому  чаще  всего прибегали натуралисты  в  прошлом,
начиная  с самого появления на нашей планете человека. Я по-прежнему не могу
согласиться   с  точкой  зрения  моих  современников,  утверждающих,  что  в
настоящее  время уже исчерпаны все возможности, которые открывает применение
простых   инструментов   и  простых  экспериментов.  Совсем  наоборот.   Мой
собственный  опыт  работы  в  лаборатории  приводит  меня  к  убеждению:  мы
коснулись лишь поверхностного  слоя  того, что  можно обнаружить  с  помощью
простейших  средств  и   простейших   экспериментов,  если,  конечно,  этими
средствами умело пользоваться, а эксперименты правильно проводить.
     Сегодня  многие   биологи   пользуются  сложнейшей   аппаратурой  вроде
электронного микроскопа, аппарата для электрофореза или ультрацентрифуги. Но
мало кто  умеет применять к самым обычным подопытным  животным те освященные
временем  методы клинического  наблюдения, которые каждый практикующий  врач
использует  при  обследовании  пациентов. Так получилось,  что  многие  наши
молодые   медики-экспериментаторы  не  имеют  элементарных  представлений  о
приемах  правильного физического  обследования  малых грызунов.  Хочу в этой
связи дать несколько советов.
     Всем ли  биологам известно,  что  при наличии  небольшого  опыта совсем
нетрудно определить посредством пальпации размер и форму  селезенки, почек и
надпочечников у маленькой крысы.
     Животное не скажет "а-а-а",  когда  мы  захотим  обследовать  слизистую
оболочку  его рта. Но  оно откроет  рот и высунет язык, если  в нужном месте
надавить ему на челюсть.
     Шерстяной покров  животного  почти  неизбежно  скрывает повреждения его
кожи,  но   лишь   в  считанном  числе   лабораторий   регулярно  пользуются
электрическими машинками для стрижки.
     Лабораторные крысы - добродушные создания,  но они  кусаются, когда  им
больно  или  когда они напуганы.  Крысам не  нравится,  например,  когда  их
"осторожно" берут пальцами вокруг туловища, но они ничего не  имеют  против,
если  их для  осмотра  поднимают  за  сильный хвост.  После некоторых  видов
операций крысы могут причинять себе повреждения, кусая свои раны,  и никакие
перевязки не  в состоянии  это  предотвратить.  В таком  случае  лучше всего
подрезать  им резцы -  такая  операция практически  не  травмирует грызунов,
поскольку их зубы. в отличие от человеческих, быстро восстанавливаются.
     Повышенная сокращаемость  разгибательных  мышц  может  быть  обнаружена
"тычковым тестом":  резкий тычок указательным  пальцем  в поясничную область
животного вызывает у него длительные сокращения задних конечностей.
     Небольшое   расстройство   чувства    равновесия   (из-за   повреждения
внутреннего уха) может и не быть очевидным. Но если крысу взять за хвост, то
этот дефект проявит себя в резких круговых  движениях животного; если  такую
крысу поместить  в воду, то  она  не сможет  плавать в отличие  от  здоровой
крысы.
     Желудок  молодых крыс и  мышей можно сделать доступным наблюдению, если
давать  им  обычное  молоко,  белизна  которого  просвечивает сквозь  тонкую
брюшную  стенку. На  этом  белом  фоне  становятся заметными даже  печень  и
селезенка.
     При  обследовании большинства  лабораторных  животных,  включая  мелких
грызунов, можно  использовать  в определенных  пределах  даже аускультацию и
перкуссию  (прослушивание  и выстукивание), а  сетчатка  их  глаз может быть
исследована, как и у человека, с помощью офтальмоскопа.
     О приемах простого физического обследования лабораторных животных можно
было  бы  написать целую и, несомненно, полезную книгу. Но  пока никто такой
книги  не написал,  чему  я  не  перестаю удивляться.  Она могла  бы оказать
гораздо  большую  помощь,   чем  очередной   трактат  о  сложнейшем   методе
исследования, нужный лишь очень узкому кругу специалистов.
     То  же самое  должно быть  сказано и о простых морфологических методах.
Обычная  стереоскопическая  бинокулярная  лупа,  которая  надевается на  нос
наподобие очков, позволяет  выполнять аутопсию (вскрытие) самого  небольшого
лабораторного млекопитающего  почти  с  такой же легкостью, как  собаки  или
человека. Без такой лупы в наших экспериментах по кальцифилаксии  мы никогда
не смогли бы обнаружить отложение  белых  солей кальция в каротидном  тельце
(орган  размером с  острие  булавки)  или  вдоль  почти  незаметных  брюшных
ответвлений блуждающего нерва.
     Надпочечник крысы  представляет собой очень маленький, мягкий, пористый
орган, и я  никогда не видел,  чтобы кто-нибудь  при аутопсии исследовал его
кору.  А ведь это легко сделать, разрезав  железу пополам с помощью  острого
бритвенного  лезвия,  после чего даже  незначительные  структурные изменения
внутри  нее  (например, небольшие  отложения  кальция)  становятся  видны  с
помощью лупы или даже невооруженным глазом.
     Некоторые структуры очень трудно выявить искусственными  методами, зато
их  несложно  естественным  образом  "подготовить" к  исследованию,  если со
знанием   дела   разыскать   эти   структуры   в   организме.   Определенные
гистологические исследования  тучных клеток лучше всего выполнять на  тонких
слоях соединительной ткани, в которых кровеносные сосуды (окруженные тучными
клетками)  не перерезаны, как  это  обычно  имеет  место на  гистологических
срезах. Любое прикосновение к тучным клеткам приводит к их разрушению. Чтобы
избежать этих  осложнений,  ученые  придумали самые разнообразные хитроумные
конструкции  вроде пластинок  и вышивальных пялец, на  которые  натягивается
соединительная ткань. Но тем не менее в процессе работы многие тучные клетки
разрушаются, не  говоря уже  о  том, что  иметь дело  с такими  прихотливыми
препаратами  весьма  утомительно. Нам  бы  не  удалось  преодолеть  все  эти
трудности,  не  родись  у  нас  идея,  что в плоской черепной  коробке крысы
Природа уже расположила надкостницу (это мембрана из  соединительной  ткани,
близко прилегающая к поверхности кости) нужным образом. Эту  тонкую мембрану
можно зафиксировать для гистологического  исследования, даже не прикасаясь к
ней.
     Всеми этими  предельно  простыми  методами  может легко  овладеть  даже
десятилетний ребенок.  И  тем  не менее  в  настоящее время  они не  находят
широкого применения. Предпочтение отдается сложной методологии только на том
основании, что она повсеместно используется.




     Фармакология изучает воздействие лекарств  на организм.  Здесь мы будем
использовать термин "лекарство" в самом широком смысле слова и рассматривать
биологическое   действие  всех   химических   соединений   (физиологических,
токсикологических   и   диетологических   воздействий).   В   любом   случае
фармакология  не  имеет собственной  методологии,  заимствуя  ее  из  других
дисциплин. Например,  биологический  тест  -  наиболее  широко  используемая
фармакологическая методика -  предназначен  для определения силы воздействия
какого-либо   вещества  (витамина,   гормона,  искусственного  препарата)  в
сравнении с эффективностью стандартного препарата. Но компоненты, из которых
состоит  биологическое  тестирование,  представляют  собой  просто сочетание
химических,    хирургических,     морфологических,    физиологических    или
диетологических  методов. Скажем,  при  анализе концентрации гормона в ткани
сначала  это вещество  извлекается  химическим  путем,  затем  оно  вводится
животным, у которых хирургически удалена железа, вырабатывающая этот гормон,
и,  наконец, устанавливается наличие  у  животных гистологических изменений,
характерных для данного конкретного гормона.
     Некоторые  лекарственные  воздействия   должны  изучаться   только   на
изолированных тканях, т. е. в пробирке.  Но и  здесь желательно максимальное
приближение  к  естественным условиям.  Очевидно, реакция  иссеченной  части
ткани -  например,  мышцы  - в пробирке будет  иной, нежели  в  естественном
состоянии,  где  на нее  постоянно влияют нервные  и  гуморальные  импульсы,
приходящие из других  частей тела. Следует также помнить, что  эффективность
терапевтических  средств  лучше  всего проявляется на тестируемых  объектах,
наиболее точно имитирующих те заболевания, для лечения которых предназначены
эти лекарства. Для  испытания  антибиотика его  просто  добавляют к культуре
бактерии. Простота этого теста делает его удобным для первичного  скрининга.
Но окончательное  доказательство практической ценности препарата  зависит от
способности антибиотика бороться с инфекцией в  подопытном животном или, еще
лучше, в человеке. Просто  удивительно, сколь часто специалисты не учитывают
такого рода элементарных соображений. Что касается  меня, то я лишь в редких
случаях  находил целесообразным отклоняться от  максимально простого способа
разработки  фармакологических  методик.  Чем  более  сложными  и  косвенными
становятся наши методы, тем более узкой оказывается область их применения, а
вероятность ошибки увеличивается. Обозревая результаты, полученные с помощью
чрезвычайно сложных искусственных методов, я не могу отделаться от ощущения,
что  многие  из  них в  скором времени будут отвергнуты  из-за  ошибок  в их
реализации   или  интерпретации.  Даже  самые   простые  методики  изобилуют
"подводными  камнями", которые специалисты не  в  силах преодолеть и которые
они используют  только о  качестве первых  ступеней  разработки  комплексных
методик, что требует больших временных затрат. Чтобы объяснить  причину моей
в  какой-то степени уникальной сдержанности в  этом  отношении, приведу один
случай,  свидетелем  которого я  стал  всего несколько недель назад в  нашей
лаборатории.
     У нас принято повторять каждый эксперимент, но делать это должны разные
люди  и на разных  этажах  института. Это правило было  соблюдено  и  в ходе
недавнего   эксперимента,  в   котором   крысам   вводились  токсичные  дозы
паратиреоидного экстракта, чтобы вызвать у них кальцификацию мягких  тканей.
В  эксперименте, выполнявшемся на седьмом этаже, та доза  экстракта, которая
была  введена  животным,  наилучшим  образом привела  к  искомому эффекту  -
большинство крыс погибли от обширной кальцификации органов.
     А  вот   у   лаборантки   с   восьмого  этажа   результаты   получились
отрицательными. Мы повторили эксперимент трижды и каждый раз получали одно и
то же: на седьмом  этаже происходит кальцификация,  а на восьмом  - нет. Для
объяснения этого "территориального различия"  предлагались самые невероятные
теории,  но  ни одна из них  не могла быть признана верной. Поскольку  была,
скорее всего, допущена какая-то техническая ошибка, я распорядился повторить
эксперимент  в  присутствии  обеих лаборанток  - и  с седьмого, и с восьмого
этажей,-  с тем чтобы дать им возможность проверить друг друга. Мое указание
сочли  бесполезным (или оскорбительным), потому что на  обоих этажах  работа
выполнялась высококомпетентными  людьми-и предусматривала  обычные подкожные
инъекции, которые могут прекрасно выполнять даже самые неопытные лаборанты.
     Я не хотел настаивать  и позволил  себя уговорить  пойти на компромисс:
при  выполнении инъекций рядом  с лаборантками  будут  присутствовать врачи,
ответственные за постановку работы на соответствующем этаже. Никаких отличий
в методике проведения эксперимента отмечено не было, а результаты оставались
такими же.
     На этот раз я настоял  на  повторении эксперимента в  присутствии обеих
лаборанток и  причина  расхождения сразу же  стала очевидной.  Лаборантка  с
восьмого  этажа  выполняла  подкожную  инъекцию  чрезвычайно  тщательно: она
вводила  экстракт гормона в обширную подкожную зону  и затем массировала это
место,  чтобы препарат  распределился равномерно и ни единая  капля  его  не
вытекала наружу  через точку  инъекции. Но такая процедура очевидным образом
вела к столь быстрому всасыванию гормона на большой поверхности, что большая
его  часть  исчезала или разрушалась еще  до того, как  оказывала устойчивое
влияние на кальциевый обмен.  В  то  же время на седьмом этаже лаборантка не
прибегала ни  к каким мерам предосторожности. Она  вводила  всю дозу в  одну
точку,  на  этом  месте  образовывался  пузырек, который  рассасывался очень
медленно и потому оказывал более устойчивое воздействие.
     Хорошо  известно,  что  медленное  всасывание  увеличивает   активность
большинства гормонов;  по этой  причине нередко даже добавляются специальные
вещества, замедляющие процесс всасывания. После этого случая мы стали всегда
вводить  паратиреоидный  гормон  таким  образом,  чтобы  образовывался четко
очерченный  подкожный пузырек.  Излишне  говорить, что теперь результаты  на
обоих этажах совпадают независимо от того, кто выполняет работу.
     Чтобы   избежать  таких  элементарных  ошибок,  не   требуется  большой
проницательности. Но факт  остается фактом: хотя  паратиреоидный  гормон был
открыт уже сорок лет назад и применялся для самых изощренных биохимических и
биофизических  исследований,  никто  не обращал  внимания,  насколько  резко
различаются  результаты  в   зависимости  от  способа  выполнения  подкожной
инъекции.  При таких обстоятельствах невольно приходишь к  выводу, что лучше
всего пользоваться  теми методиками, каждый  шаг  осуществления  которых  ты
можешь лично проверить на каждом этапе.
     Наконец,  несколько  слов по поводу нынешней  моды использовать сложные
технические  приспособления для  выполнения  простейших  процедур, требующих
элементарного навыка. Знаменательно, что на протяжении последних  нескольких
лет я ознакомился с шестью научными публикациями, описывающими различные - и
в  ряде  случаев весьма  сложные - виды  аппаратуры для осуществления весьма
несложной процедуры кормления крыс через  введенную  в желудок трубку. Между
тем секрет  весьма  прост:  нужно окунуть  трубку в  масло  и,  стараясь  не
напугать  животное,  вводить  трубку  таким образом,  чтобы  его  голова  не
запрокидывалась. Такая манипуляция  займет  всего несколько  секунд, то есть
ровно  столько же  времени, сколько нужно  для того, чтобы достать из  ящика
любое из рекомендованных приспособлений.




     Я буду использовать термин "естественные" для обозначения ряда явлений,
происходящих в природных условиях и одновременно склонных производить на нас
впечатление единственной  в своем роде формы  реакции. К этой группе явлений
принадлежат,  к  примеру,  беременность,  зимняя  спячка,   различные   типы
воспалений,  анафилаксия,  анафилактоидные  реакции,  стрессовый  синдром  и
кальцифилаксия.   В  отличие  от  них  сокращение  мышцы,  увеличение  одной
какой-либо   клетки  или  изменение  содержания  в  крови  какого-то  одного
химического  вещества  являются  примерами  более  элементарных  компонентов
жизненных реакций.
     Разумеется, мы нуждаемся как в способах  изучения естественного явления
в целом, так и в способах определения его составных элементов, иначе говоря,
нам нужны исследования как "вширь", так и "вглубь". Эти две группы методик в
равной степени оправданы. И потому  нет оснований обвинять в поверхностности
тех, кого интересуют естественные явления в целом, или в ограниченности тех,
кто исследует  детали. Нельзя ведь  изучать иммунные реакции на молекулярном
уровне,  если  еще  не  открыто  само явление иммунитета. И  все  же  только
проникновение  в  глубь  этого  явления  открывает  перед  нами  возможность
действительно,   приблизиться   к   полному   его   пониманию.   "Глубинные"
исследования   распространены   значительно   шире,   поскольку   их   можно
планировать,  в  то время как  открытие  нового  явления целиком строится на
интуиции.
     Одним   из   наиболее  важных  методов  фундаментального   медицинского
исследования является экспериментальная модель заболевания.  Помимо того что
она относится к сложным естественным явлениям в нашем понимании смысла этого
термина,   она   вдобавок   имитирует    спонтанно    возникающую   болезнь.
Следовательно,   эти  модели  являются  идеальными  объектами  для  проверки
действия лекарств и для анализа механизмов возникновения заболеваний.
     Экспериментальная медицина в целом  развивается  от  чисто статического
описания   биологических   структур   (макроскопическая  и  микроскопическая
анатомия,  химический  состав, физические  характеристики) к  изучению более
сложных  естественных  явлений  (воспаление,  перерождение, рост или атрофия
тканей и экспериментальные болезни). Более чем очевидно, что болезнь следует
изучать на  максимально полных моделях,  хотя,  разумеется ни одна модель не
идентична  оригиналу. Далеко  не все факты,  полученные на  модели, остаются
истинными,  когда соответствующим заболеванием  страдает человек, но в то же
время   модель   имитирует  самые   существенные  характеристики   спонтанно
возникающей  болезни.  Модель  потому  и  есть модель, что она отличается от
оригинала.  Даже  один  и  тот  же возбудитель  вызывает  разные поражения у
животных и у человека. Дефицит витамина С, недостаток инсулина или заражение
туберкулезными  бациллами  по-разному  проявляются  у  человека,  крысы  или
морской свинки. Но  из всех этих моделей заболевания извлекается информация,
необходимая для лечения.
     Насколько   я  помню,   все   экспериментальные   модели   заболеваний,
разработанные  мной   и  моими  коллегами,   подвергались   критике   за  их
несовершенство. А разве  бывают совершенные модели? Нужно ли доказывать, что
пересаженная опухоль -  не  то же самое,  что раковая опухоль человека,  что
артрит,  инфаркт  миокарда, нарушение кровообращения,  почечное  или  кожное
заболевание, тем или иным способом вызванное у животного, не являются точной
копией соответствующих спонтанно возникающих заболеваний человека? Но тем не
менее   я   утверждаю,   что   такие   модели   составляют   самую    основу
экспериментальной медицины.
     Существуют постепенные переходы  от того, что мы назвали "естественными
явлениями", к тому, что  вводится в качестве "модели заболевания". Последняя
обычно  представляет  собой  сложное сочетание  первых. Самое худшее, в  чем
можно  упрекнуть   "модель  заболевания",-  это  что  она  просто  имитирует
естественное явление, не являясь точной копией заболевания. Поэтому основная
цель  такого  рода  исследований  -  максимально приблизиться  к  спонтанной
болезни. В этом смысле  даже такие естественные явления, как анафилаксия или
воспаление,  демонстрируют  подобное  приближение  в  большей  степени,  чем
изменения   изолированных  морфологических  или   химических   элементов   в
организме.




     Для начала  нам следует вспомнить,  что заранее обдуманным планом можно
руководствоваться лишь  при  развитии какой-либо  идеи. Подлинное открытие -
это бессознательно  направляемый интуитивный процесс.  Как  писал А.  Шильд,
"если  результаты  исследований  можно  заранее  предсказать,  то  изучаемая
проблема, судя по всему, ничтожна, а точнее,  она почти не существует" [17].
Квалифицированная  разработка  какой-либо  научной  проблемы  может  вызвать
возглас вроде: "Неплохо сделано, не правда ли?" Но, столкнувшись с подлинным
открытием,  мы вряд ли отреагируем на него подобным образом. Скорее всего мы
воскликнем:  "Да  как  это  вас угораздило, как это вам  в  голову  пришло?"
Открытие ранее  неизвестного  явления ценится куда выше,  чем  развитие  уже
известного,  поскольку тех, кто  в  состоянии  обнаружить  нечто  совершенно
новое, куда меньше, чем тех, кто способен использовать и развивать найденное
за счет дополнительных изысканий вглубь.
     Как только  сделано новое открытие,  сразу  находятся толпы советчиков,
которым прекрасно известно, как именно следует его применять. Однако  в свое
время  никто  не  посоветовал  Флемингу заняться  открытием  пенициллина,  а
Колумбу - поисками Америки.
     И  все же  методы  разработки  экспериментов  имеют  самое существенное
значение, поскольку лишь считанное число открытий находит применение в своем
изначальном виде.  Большинство из  них  вскоре забываются,  если  только  их
составные элементы не были  подвергнуты тщательному анализу в соответствии с
хорошо продуманным планом.
     Разработка эксперимента включает стратегию (общее направление, которому
мы хотим следовать) и тактику (выполнение совершенно четко сформулированного
плана  исследования).  Стратегия  связана  преимущественно с выбором  такого
предмета  исследования, который  мы считаем заслуживающим  нашего  внимания;
выше этот вопрос подробно рассматривался с  различных точек зрения.  Поэтому
здесь мы  уделим  основное внимание  тактике, т.  е.  выполнению поддающейся
планированию исследовательской темы.
     Вопросы, которые будут обсуждаться на последующих страницах, так же как
и последующий  большой  раздел "Методы  координации  знаний",  представляют,
непосредственный интерес  лишь для  ученых  и  для тех,  кто собирается  ими
стать. Тем не менее они весьма удобны  для  иллюстрации  научного  подхода к
различным вопросам.




     "Divide  et  regnes" --этот  сформулированный  Макиавелли  политический
принцип  находит прекрасное  применение и в  тактике научного  исследования,
хотя чаще  мы пользуемся лозунгом "Меняй  каждый  раз  что-нибудь одно". Вне
зависимости   от   того,   что  является   предметом  исследования,   должен
наличествовать  только один переменный фактор,  только  одно различие  между
контрольной и экспериментальной  группами. Даже в самом сложном эксперименте
каждая  подопытная  группа  должна  сравниваться  со своим  "двойником",  от
которого она  отличается лишь в одном-единственном отношении,  так же как  в
каждом  простом  уравнении  может  быть только  одно неизвестное.  Для этого
необходимо тщательно проанализировать все  наблюдения  и определить основные
составляющие их элементы. Неорганизованная и не структурированная надлежащим
образом  информация  приводит  лишь  к  путанице.  Все  наши  материалы -  и
наблюдения,  и  их  интерпретация  - должны  быть  сначала  подразделены  на
маленькие блоки, которыми можно оперировать по отдельности.
     Правда,  на  начальных этапах иногда имеет  смысл  подвергнуть проверке
целое, а  потом  уже заниматься частями. Например,  перед  экспериментальным
воспроизведением заболевания посредством чистой бактериальной культуры можно
попытаться воспроизвести передачу его с помощью зараженной ткани. Прежде чем
выполнить  биологические тесты с отдельными гормональными фракциями, взятыми
из  какой-либо железы, быть может, имеет смысл  испытать  всю необработанную
массу  железы и  посмотреть, не обладает ли она  активностью,  заслуживающей
более  детального  изучения.  Если   у  цельного  необработанного  материала
обнаруживается такая активность, то для идентификации его следует  разделить
на составные части.




     Разработка  экспериментов  существенно зависит  от нахождения  аналогий
между вновь наблюдаемыми фактами  и предыдущим опытом.  Процесс планирования
экспериментов обычно включает четыре этапа.
     1. Мы наблюдаем факт или формулируем  идею. Мы замечаем, например,  что
если крысе  вводить яичный белок,  то  это  влечет за  собой анафилактоидную
реакцию, сопровождаемую внезапным опуханием губ.
     2. Мы спрашиваем себя: "Не напоминает ли это что-нибудь?" - и стараемся
припомнить  какую-либо известную нам реакцию животного или человека, имеющую
нечто общее с  анафилоктоидной реакцией,  с тем  чтобы  связать  последнюю с
предыдущим  опытом.  Нам  приходит в голову,  что анафилактоидная реакция, с
одной  стороны,   напоминает   некоторые   виды  внезапного  опухания  лица,
встречающиеся человека (отек Квинке,  крапивница), а с другой стороны, такое
опухание имеет  нечто  общее  с анафилаксией. Такое  сопоставление  нового с
чем-то уже известным  из прошлого опыта помогает выявить как сходство, так и
различие  между  реакциями. Мы  отмечаем,  что  опухание лица  у человека  в
отличие от  анафилактоидного  опухания  у  крысы  не  вызывается  инъекциями
яичного белка и  что  анафилаксия (опять-таки  в отличие от  анафилактоидной
реакции) требует предварительной сенсибилизации к вызывающему ее веществу.
     3. Мы приходим к выводу, согласно которому все, что нам известно, может
оказаться справедливым и  в данном случае.  Далее если известно, что имеются
вещества, которые либо вызывают, либо  предотвращают анафилаксию, то следует
проверить,  будут ли  они  действовать так же  и  в  случае  анафилактоидной
реакции.
     4. Мы подозреваем,  что полученная информация может найти более широкое
применение и в других случаях.  В частности, анафилактоидная  реакция вполне
может  быть  использована  в  качестве экспериментальной модели заболевания.
Поэтому  имеется определенный  шанс, что  выявленные  на модели  сведения  о
возникновении  или  предотвращении  этого заболевания найдут применение в ее
клинических аналогах, обладающих такими же характеристиками.




     Мы  уже упоминали  о  тех преимуществах, которые  можно  ожидать,  если
предварительно  попробовать  провести  каждый  эксперимент  в  пробирке.  Мы
понимаем данный термин не  только в буквальном, как, например, в химии, но и
в  фигуральном  смысле - ведь,  как  правило, нецелесообразно сразу начинать
широкомасштабный  эксперимент на животных  или  пациентах, не изучив сначала
вопрос о практической применимости разработанной нами процедуры на небольших
выборках. Пренебрежение этим правилом  (а  оно  бывает порождено чрезмерными
энтузиазмом или  уверенностью в себе) уже не раз  приводило к таким  потерям
времени, материальных средств, а иногда и к смертельным случаям, что никогда
не будет лишним напомнить о нем еще раз.
     Один   из  вариантов   этого   правила   применяется  в   экспериментах
"обзорного",   по  словам   Бевериджа  типа:  подлежащий  изучению   раствор
изготовляется  в  широкой  гамме  концентраций (например,  в  ста  различных
вариантах),  и  каждая  концентрация  испытывается на  малом числе  животных
(скажем, на двух).  После такой грубой проверки берется небольшое количество
вариантов концентрации (например, пять), близких к вероятному окончательному
значению, и они испытываются  на большой выборке  животных.  Таким  образом,
можно прийти  к точному результату, использовав в  эксперименте  минимальное
число животных.
     Но прежде чем приступать к эксперименту в "пробирке", следует тщательно
построить  его в уме, С тем  чтобы оценить его потенциальную ценность. Перед
тем как начинать какой-либо эксперимент, задайте себе два вопроса.
     1. Действительно ли план этого эксперимента представляется осуществимым
с точки зрения накопленного опыта?
     2. Если даже предположить, что эксперимент пройдет точно в соответствии
с планом, даст ли он убедительный ответ на предыдущий вопрос?




     Экспериментальное исследование, вдохновляемое осознанием аналогий между
явлениями,  развивается  далее  довольно стандартным  образом, и  это  можно
изобразить  в виде  диаграмм хода работы. Исходной точкой этих диаграмм, как
правило,  является  идея  или  наблюдение  какого-то  факта,  которые  затем
анализируются путем  разбиения  на составные части, поддающиеся распознанию.
Нередко обнаруживается, что законы, справедливые для целого, справедливы и в
отношении  его  частей (дедукция). Наконец, мы доходим до синтеза,  т. е. до
построения обобщений или,  иначе  говоря, мы констатируем, что приобретенные
нами  знания об отдельных явлениях  справедливы и в  отношении целого класса
явлений (индукция). Таким  образом мы приходим к  познанию общих  законов, с
помощью которых предсказываем непредвиденные взаимосвязи.







     Одной из самых важных и неотложных  задач современной медицины является
создание  каталога  накопленных  ею   знаний.  Если  количество  медицинских
публикаций будет расти  в такой же пропорции, как  сегодня, то  быть в курсе
современных  достижений  даже в  ограниченной  области  исследования  вскоре
станет  невозможным.  Между  тем  полноценное   использование   открытий   и
разработка  новых  экспериментов  в соответствии  с законами  логики  должны
опираться на знание всех доступных  фактов. Настало время, когда сложившуюся
ситуацию  следует  воспринимать  как  серьезнейшую  научную проблему  нашего
столетия, в противном случае, по словам  Ванневара Буша{36}, "...наука может
увязнуть в своем собственном продукте, наподобие колонии бактерий, погрязшей
в своих выделениях".
     Я    впервые   столкнулся   с   этой    проблемой   в   бытность   свою
студентом-медиком, когда  осознал, что невозможно вести  приличный  конспект
лекции и  одновременно слушать ее. Единственный способ,  который  помог  мне
справиться с этой задачей,- это замена сложных научных  терминов или длинных
описаний процедур простыми  и  наглядными символами.  В течение  последующих
тридцати лет этот набор  символов развился в специальную систему стенографии
по  медицине,  которая  оказала  мне  неоценимую  помощь  во  время  научных
конгрессов  и  при  аннотировании  литературы  по  стрессу, кальцифилаксии и
эндокринологии (основные области исследований нашего института), а также при
последующей  обработке   литературы   техническим  персоналом,  не   имеющим
медицинской  подготовки.  Именно  эта  система  легла  в  основу  детального
предметного  каталога  на  500  000  оттисков  и  книг,  составляющих   нашу
библиотеку.   Я  убежден,  что  разработанная  нами   система  каталогизации
медицинской литературы может  быть с успехом использована с соответствующими
модификациями и в других областях знания.
     Практически  каждый врач, так же  как и каждый  ученый, ведет в том или
ином  виде   личный  каталог,  в  котором  он  фиксирует  интересующие   его
публикации. В большинстве случаев вся такая библиография состоит  из кратких
резюме,  напечатанных  на  карточках,  оттисков (приблизительно  разбитых по
основным темам)  и авторского каталога. Что касается последнего, то он почти
всегда  достаточно  удовлетворителен,  а  вот  разбиение   по  темам  обычно
производится  не  особенно  четко,  так  что  для нахождения  нужной  статьи
владельцу  приходится полагаться в основном  на  свою памятъ. В таких личных
каталогах, как правило, отсутствует  набор зафиксированных правил, а система
классификации  имеет  тенденцию  изменяться   в  соответствии  с  интересами
владельца.  Лишь  очень   немногие   из   виденных  мною  частных  каталогов
признавались владельцами  - даже  самыми  невзыскательными -  отвечающими их
требованиям.
     Для  создания  действительно удовлетворительной системы  каталогизации,
полностью адаптированной к потребностям всех разделов  медицины,  необходимы
совместные творческие усилия множества  оригинально  мыслящих  специалистов.
Библиограф,  систематизирующий  публикации   в  своей   области  знания  для
дальнейшего  планирования   экспериментов;  физиолог,  в   экспериментах   с
животными доказывающий,  что  некое вещество оказывает на  организм желаемый
эффект;  химик,   искусственно  синтезирующий   это  вещество,  и,  наконец,
ученый-клиницист,  разрабатывающий  способы  применения  этого вещества  для
лечения больных,-  все  эти  люди  занимаются  исследовательской работой,  в
равной  степени  оригинальной  и  полезной  для  медицины,  хотя  их  методы
совершенно различны.
     Поверхностная каталогизация медицинской литературы  по  основным  темам
или  по  заглавиям представляется  совершенно неприемлемой. Что  же касается
более  детальной  каталогизации,  то  для  нее  нужно  создать  элементарный
международный код. Основная проблема не в том, какие технические средства мы
хотим применять  для  обеспечения доступа  к информации (обычные  каталожные
карточки,  перфокарты или ЭВМ),  а в том, какая  система кодификации,  какой
"язык" наиболее приемлемы для этих целей.




     В  предыдущем  параграфе  мы уже видели, что даже простая каталогизация
научных данных является сложной задачей, требующей высокой специализации. Но
самым  трудным  этапом процесса  координации  знаний является систематизация
научных  данных,  которые  на  первый  взгляд  представляются  абсолютно  не
связанными  друг с  другом.  В следующей главе  (с. 254) мы обсудим огромную
важность  классификации  как  первого  шага при  построении структуры  новой
области   знания.  Здесь  же  ограничимся  рассмотрением  чисто  технических
аспектов этой проблемы.
     Что вы станете делать, к примеру,  если наблюдаете десять новых фактов,
которые  с  большей или  меньшей  очевидностью  выглядят связанными  друг  с
другом?  Хотя  это может  показаться  невероятным, но  мы  подчас  не вполне
осознаем,  из  каких именно "фактов"  состоит  наше наблюдение,  или,  более
точно, в  каких терминах  его  можно описать.  Похоже,  я сталкиваюсь с этой
проблемой  на протяжении  всей своей  жизни,  и проще  всего  пояснить ее на
одном-двух примерах, которые попортили мне особенно много крови.




     Для начала  рассмотрим  составные элементы концепции стресса. В  разное
время и разными учеными были сделаны в числе прочих следующие наблюдения:
     1) удаление у крыс гипофиза вызывает деградацию коры надпочечников;
     2) у  людей,  получивших  сильные ожоги  кожи, как правило, развивается
язва желудка и двенадцатиперстной кишки;
     3)  у  детей при заражении  их  дифтерией  тимус  (лимфатический орган,
расположенный  в грудной  клетке,  функция  которого тогда  была неизвестна)
сморщивается;
     4) животные и  люди,  у  которых разрушены  гипофиз  или  надпочечники,
становятся необычайно чувствительными к холоду и - что довольно  странно - к
жаре;
     5) и вот, наконец, я  обнаруживаю, что у крыс  интоксикация неочищенным
тканевым экстрактом приводит к увеличению коры надпочечников и  одновременно
вызывает атрофию зобной железы и возникновение язвы желудка.
     Все эти наблюдения легко могут быть описаны простыми словами - и только
что я  это сделал. Но такое описание нельзя  считать приемлемым, ибо  оно не
намечает  ни  связи   между   этими   фактами,  ни   направления  дальнейших
исследований. Эти и  многие  другие явным  образом не связанные между  собой
факты становятся понятными и нужными только после того,  как они подверглись
систематизации посредством объединяющей их концепции
     А теперь систематизируем вышеприведенную информацию с помощью следующих
формулировок: 1) инфекция, холод, жара  и многие  другие факторы, вызывающие
потребность в адаптации, действуют в качестве неспецифических стрессоров; 2)
вызывая  стресс,  все   эти   факторы   обусловливают   выделение  гипофизом
адренокортикотропного гормона (АКТГ), который,  в  свою очередь, стимулирует
выделение  корой   надпочечников  соединений,  подобных  кортизону;  3)  эти
кортикоиды увеличивают неспецифическую сопротивляемость организма,  но в  то
же  время вызывают уменьшение  тимуса  и создают  предрасположенность к язве
желудка.
     Разумеется, утверждение, согласно которому заражение дифтерией вызывает
уменьшение  тимуса, нельзя  признать ложным, однако его  неполнота  вводит в
заблуждение. Но оно не является "абсолютно истинным" в описанном выше смысле
(с. 128).  Точно так  же не является ложным  утверждение, что нажатие кнопки
"вызов лифта" обусловливает прибытие лифта на ваш этаж, но из него вы ничего
не сможете узнать о принципе действия данного  механизма, если только вам не
удастся систематизировать  составные элементы вашего наблюдения в совершенно
различных  терминах  (электричество, земное притяжение и  т. д.).  По словам
Бриджменаа,   вам    нужно   надлежащим   образом    выраженное   и   полное
"операциональное определение" данного механизма [4].




     Уже давно  известно,  что  для  соединений с одной и  той  же  основной
химической  структурой,  "стероидным  ядром",  характерны действия,  которые
имитируют поведение коры надпочечников и мужских или женских  половых желез.
Однако   наши  исследования  показали,   что   одни   стероиды   стимулируют
деятельность почек, а другие  могут даже вызвать их анестезию. Казалось  бы,
стероид может  оказывать  и то  и другое действие, причем и сам по себе, и в
любом  сочетании.  Кроме  того,   создается  впечатление,  что  между  этими
воздействиями и теми сравнительно незначительными  изменениями  в стероидном
ядре,  которые их  вызывали, нет взаимосвязи.  Но  систематическое  изучение
этого вопроса внесло некоторый  порядок в создавшийся хаос. Теперь мы знаем,
что одни  химические  структуры совместимы с  определенным фармакологическим
свойством,  а другие - несовместимы.  Мы  узнали  также  кое-что о правилах,
которым  подчиняются взаимодействия  между  тем  или иным  фармакологическим
эффектом одной и той же молекулы гормона. Выявленные закономерности известны
теперь  как  "фармакохимические" и "фармакофармакологические" отношения. Они
выражают  соответственно влияние  химической структуры  на фармакологическую
активность  и  одной  фармакологической  активности  данного  соединения  на
другую.







     Казалось бы, странно, почему глава "Как мыслить?" идет после главы "Как
работать?". Дело  в том, что в фундаментальных исследованиях - и я попытаюсь
это доказать - осмысление  по большей части следует за случайным наблюдением
или  же ему предшествуют  те или  иные эксперименты, в основе которых  лежат
главным  образом  интуиция и  весьма  поверхностные  (и  зачастую ошибочные)
рассуждения.  Истинное  открытие  очень  редко  произрастает  из  логических
построений,  и  это  особенно  характерно  для   естественных  наук.  Логика
становится нужной в дальнейшей работе при подтверждении и оценке наблюдаемых
явлений. Как говорится, "сначала стреляй, а потом уж задавай вопросы".




     Научное исследование само по себе - не наука, это все еще искусство или
мастерство.
     У. Джордж

     Авторы  наиболее  значительных  научных  достижений  менее  всего  были
знакомы с трудами Бэкона, в то время как, его читатели и ценители -  включая
самого Бэкона - не особенно преуспели в открытиях.
     Ж. де Местр

     Под   научным   методом  мы   понимаем  ряд  таких  процедур,   которые
используются в  процессе  приобретения  знаний  и  которые  основываются  на
следующем:
     распознавании и четком формулировании проблемы;
     сборе  данных   посредством  наблюдения  и,  насколько   это  возможно,
эксперимента;
     формулировании гипотез посредством логических рассуждений;
     проверке этих гипотез.
     Со времен  Дж. Буля [3]  логики и философы проделали грандиозную работу
по  изучению законов  мышления  (Коэн  и Нагель,  Вулф). Для  систематизации
методов  построения   теорий   и   разработки   основ   универсальной  науки
исключительно рациональным путем были приложены титанические усилия [Вуджер,
38]. И тем не менее,  как ни парадоксально, практическое значение формальной
логики,  законов  мышления  и  научной методологии очень  ограниченно как  в
повседневной жизни, так и в науке.
     Насколько часто  мне удавалось с успехом  применить  законы  формальной
логики  к решению повседневных  проблем,  с  которыми  я сталкиваюсь  и  как
человек,  и как ученый? Если подумать, меня большему научила практика, а  не
логика.  В том числе  ходить и говорить. Желая  уберечь ребенка от опасности
споткнуться, мы не объясняем ему, какие мышцы надлежит приводить в движение,
в какой  последовательности  и с  каким усилием.  Мы  не учим  родной  язык,
осознанно применяя  грамматические  правила.  Самый  лучший  способ  научить
ребенка ходить -  это, взяв его за руку, потянуть за собой. Если же он будет
слышать  вашу  речь  достаточно  долго,  он  заговорит.  Безусловно,  знание
физиологии  движения или  правил  грамматики может  пригодиться,  однако  на
практике такими знаниями весьма редко пользуются осознанно,  по крайней мере
до тех пор, пока все идет нормально. Нечего и говорить, что хирургу, который
должен  восстановить поврежденную конечность, необходимы  обширные  знания о
том, каким образом взаимодействуют при ходьбе мышцы и кости, а если какая-то
фраза  звучит  сомнительно  или  двусмысленно,  следует  заглянуть в учебник
грамматики.
     У меня создается впечатление,  что все это в равной степени относится и
к науке. Обучать новичка  в той мере,  в  какой это  вообще возможно,  лучше
всего взяв его за руку и предоставив  ему возможность идти с вами бок о бок.
На этом пути открывается как практическая  сторона жизни биолога,  так и его
философия, не  говоря о том, что, наблюдая жизнь своих  учителей, вы учитесь
сами. Но если бы мы на каждом шагу сверялись с правилами логики, подтверждая
достоверность своих рассуждений, то  далеко  бы не ушли.  И даже ставя самый
простой  биологический  эксперимент,  мы  бы  чувствовали  себя   столь   же
неуверенно,  как если бы  при  ходьбе  сознательно контролировали логическую
последовательность  сокращении  каждого мускула,  а при  говорении  - каждый
произносимый  звук.  Как  я  попытаюсь  объяснить   далее,  то  же  касается
применения  математики  и  статистики  к  проблеме  познания  жизни.  Логика
составляет   основу   экспериментальных   исследований  точно  так  же,  как
грамматика составляет основу языка. Однако мы должны научиться  пользоваться
ими  интуитивно,  ибо, как  правило,  у нас нет  времени для того, чтобы  на
каждом шагу осознанно применять законы логики.
     Весьма  соблазнительно привести логические доводы в  пользу  применения
логики  и   математики  к   науке,  но  гораздо   рискованней  указывать  их
ограниченность.  Однако   давайте  посмотрим   фактам  в  лицо.  Подавляющее
большинство наиболее выдающихся врачей-экспериментаторов  очень мало знакомы
как с формальной логикой,  так и с математикой. Формулирование биологических
законов  на языке математики, планирование экспериментов (в том  смысле, как
это   понимает   статистик),   характерная   для   профессионального  логика
неопровержимость доказательств и осознанное применение научной методологии в
том смысле,  как это понимает  философ,- все это сыграло не большую  роль  в
самых значительных открытиях за  всю историю медицины, чем знание акустики -
в сочинении величайших музыкальных произведений.
     И если интуитивные попытки  проникнуть  в тайны  Природы забываются, то
факты  сознательного  применения  логики  в  научных  открытиях  не   только
фиксируются как наиболее простые пути к достижению успеха, но  и попадают на
страницы  книг  и  учебников.  Именно   по   ним  и  учатся  наши  студенты.
Неудивительно, что этот путь они принимают за единственно возможный. Хорошей
иллюстрацией  сказанному  служит  описание  Гельмгольцем  своих  открытий  в
области математики: "Я сравниваю себя с путником, поднимающимся  в гору.  Не
зная дороги, он  медленно карабкается вверх и нередко вынужден  поворачивать
назад, поскольку  идти дальше нет сил. Потом - то ли по зрелому размышлению,
то ли потому, что просто повезло,- он  обнаруживает тропинку  и продвигается
по ней чуть дальше,  пока  наконец не  достигнет  вершины.  И  тут, к  стыду
своему, он  обнаруживает,  что  сюда  ведет  прекрасная  прямая  дорога,  по
которой,  сумей  он  вовремя и  правильно  сориентироваться, можно  было  бы
подняться без труда. В своих работах я, вполне естественно, ничего не говорю
читателю о  собственных  ошибках, а лишь описываю  тот уже проложенный путь,
следуя  которым  он  может  с  легкостью  достичь тех  же  высот" [цит.  по:
Кенигсберг, 14].  Троттер [35] также  подчеркивает  тот факт, что  открытий,
обязанных  своим  появлением логике,  а  не опыту, крайне  мало. Аналогичные
взгляды высказывались Пуанкаре, Планком, Эйнштейном.
     Что касается меня, то  я считаю,  что логика  для  Природы  то  же, что
экскурсовод для зоопарка. Ему в точности известно, где находится африканский
лев,  где  -  индийский  слон,  а  где  - австралийский кенгуру,  раз  уж их
отловили, привезли в зоопарк и выставили для обозрения. Охотнику же, который
выслеживал этих животных  в  местах естественного обитания,  такие знания не
нужны. Точно так же логика - это не ключ к тайнам упорядоченности Природы, а
своеобразный "каталог картинной галереи" в мозгу человека, где  хранятся его
впечатления о природных явлениях.
     Считается, что глубоко изучать  логику и математику необходимо  каждому
человеку независимо от рода  его деятельности, ибо это учит человека думать.
Я  в  этом  сомневаюсь. На  мой  взгляд, логика и  математика  способны даже
блокировать свободный поток того полуинтуитивного мышления, который является
основой основ научных  исследований в области медицины. Безусловно, изучение
формальной логики или математики учит, но учит тому, как думать о формальной
логике или о математике. Я же ратую за то, чтобы то время, которое уделяется
изучению  математики и логики как наиболее эффективным способам подготовки к
гистологическим   и   хирургическим   исследованиям,   посвящать   работе  в
гистологической лаборатории или хирургической клинике.




     По-моему,  у  ученого-медика есть  только  две  серьезные  причины  для
изучения основ логики,  но причины весьма достойные:  это красота, органично
присущая  законам мышления,  а  также  контроль  и  корректировка  нашей  по
преимуществу инстинктивной "лабораторной логики" во всех  тех случаях, когда
она уводит нас  в  сторону.  Именно  в  силу этих причин  мне хочется сейчас
обсудить  несколько   проблем,  связанных   с  применением  логики  (точнее,
полуинтуитивной   логики)   в   экспериментальной   медицине.  Я   попытаюсь
проиллюстрировать  некоторые  ключевые  схемы  мыслительной  деятельности  с
помощью  аналогии,  ибо  нам,  биологам,  приходится  скорее  иметь  дело  с
целостными комплексами живой материи, нежели с ее отдельными ингредиентами в
чистой  и гомогенной  форме. Полагаю, что  именно целостный  взгляд  на вещи
служит нам основным ориентиром в лабораторной практике.
     Та     полуинтуитивная     логика,     которой    пользуется     каждый
ученый-экспериментатор в своей повседневной работе,- это специфическая смесь
жесткой  формальной логики  и психологии.  Она  формальна в  том смысле, что
абстрагирует  формы  мышления  от  их содержания,  с  тем  чтобы  установить
абстрактные критерии непротиворечивости. А так как эти абстракции могут быть
представлены символами, то логика может быть также названа символической. Но
в  то же  время эта логика честно  и  откровенно признает, что ее понятийные
элементы,  ее абстракции в  отличие  от математики или  теоретической физики
являются в силу необходимости вариабельными и относительными.
     Следовательно,  строгие  законы  мышления  к ней  применять  нельзя.  В
размышлениях о Природе нам следует также отвести существенную роль интуиции.
Вот почему в  нашей  системе мышления психология должна быть интегрирована с
логикой.
     Ниже  перечислены наиболее важные проблемы,. с которыми предстоит иметь
дело этой полуформальной логике.

     1. Формулирование понятийных элементов.
     2. Классификация понятийных элементов в соответствии с их:
     а) характеристиками (признаками),
     б) причиной (этиологией).
     Формулирование новых вопросов относительно:
     а)  эволюции характеристик во времени (те  типы  понятийных  элементов,
которые  им  предшествуют,  и те типы,  в  которые они, по всей вероятности,
перейдут);
     б)  опосредования  причинно-следственных  связей (антецеденты,  которые
предшествовали  непосредственной причине, и консеквенты,  которые,  по  всей
вероятности, явятся результатом ее действия).
     Вспышка  интуиции, "озарение". Хотя  она и подготовлена предшествующими
операциями, но тем  не менее не может быть выведена из  них путем применения
формальной логики.

     Все это можно представить на диаграмме следующим образом:
     
     (1) Сформулированный понятийный элемент (например, артрит)
     (2а)  Отнесенный  к  определенному  классу  в  соответствии  со  своими
характеристиками (например, гнойный)
     (26) Отнесенный к определенному  классу в соответствии с вызывающей его
причиной (например, микробный)
     (3а)  Эволюция  характеристик  (например,  промежуточные  стадии  между
нормальным  суставом и су стало м, пораженным артритом; возможность развития
заболевания о будущем)
     (3б)  Опосредование   причинно-следственных  связей  (например,   каким
образом  микробы  проникли в сустав;  какова  вероятность того,  что  артрит
вызовет поражение во всем организме).
     Все это бессознательно смешивается с предыдущим опытом
     (4)   Вспышка   интуиции   (озарение)   (например,   совершенно   новая
интерпретация  некоторых  форм  артрита  как проявление  общего  заболевания
соединительной ткани).
     Обладая глубокими познаниями, трудолюбием и вооружившись логикой, можно
более или менее  осознанно  проложить путь от 1) к 3а) или 3б), т. е. именно
ту часть пути, которая представляет собой  развитие  ранее сформулированного
понятия.   Однако   только   вспышка   интуиции,   творческого  воображения,
происходящая в подсознании, способна  преодолеть  разрыв  между всем  кругом
рассматриваемых проблем и подлинным открытием 4). Такая вспышка интуиции как
наиболее  плодотворное научное  достижение составляет основу фундаментальных
исследований.







     Невозможно  понять  что-либо,  не  выразив  это  "что-либо"  с  помощью
известных элементов опыта. Именно поэтому даже самый  блестяще  образованный
человек,  не  будучи  специалистом, не  в  состоянии  до  конца постичь идею
кванта,  как ее  понимает  физик,  или разделить  восторг биолога  по поводу
открытия доселе непредсказуемого закона живой  материи. Вот что говорится об
этом в одной старой индийской сказке.
     Однажды слепой нищий спросил  своего  приятеля: - Скажи мне, что  такое
"белый"? На что это похоже? - Белый - это цвет,- ответил приятель.- Он похож
на снег, который лежит в горах.
     - Понятно,- сказал слепой.- Это холодный и мягкий цвет.
     - Нет, не совсем. Бумага тоже белая. - Тогда это тонкий и хрупкий цвет.
-  Совсем  не  обязательно.  Молоко  тоже  белое.  -  Значит,  он  жидкий  и
съедобный?- озадаченно спросил слепой.
     - Вовсе  нет,- терпеливо продолжал  объяснения его друг.- Белыми бывают
разные  вещи: и  облака, и зубы, и борода старика, кстати,  твои  глаза тоже
белые, потому что ты ими не видишь.
     -  Ну  что же...- вздохнул слепой.-  Это жестокий цвет. Наверное, лучше
всего мне и не пытаться понять, что это такое.
     И  действительно, даже имея  прекрасное  зрение,  мы никогда  не  видим
ничего абсолютно белым. Самый чистый снег, как и самая высокосортная бумага,
имеет какой-нибудь оттенок  или отблеск,  искажающий их совершенную белизну.
Борода  старика, зубы человека, стакан молока отстоят  от  такого идеала еще
далее.  Белизна есть  абстрактный элемент  мысли;  для  нашего повседневного
опыта  она не имеет особого  значения,  и тем не менее  обойтись  без  этого
понятия  было бы нелегко. В реальной жизни мы сталкиваемся с вещами, которые
могут быть более или менее белыми, но если нам нужно описать белую кошку, то
нет  никакой необходимости и даже возможности описывать каждую шерстинку или
же пытаться определить условия  освещения;  хотя и  говорят, что "ночью  все
кошки серы",  всем будет  понятно,  что  имеется  в виду.  Человеческий мозг
устроен таким образом, что отказывается оперировать мыслями до тех пор, пока
они не облечены в более  или менее четкую индивидуальную форму  - понятийные
блоки. Просто  удивительно,  сколько путаницы  было  вызвано  неспособностью
понять три следующих простых факта.
     1.  Обращаться  с  мыслями адекватным  образом  (изолировать, измерять,
смешивать,  продавать)  можно только тогда, когда  они,  подобно  жидкостям,
помещены в отдельные емкости.
     2. Мыслительные  блоки  заключают  в себе предшествующий  опыт, который
может  обновляться  только в  пределах  одной упаковки.  Мы  не  в состоянии
осмыслить то,  чего  никогда ранее не воспринимали  и что отличается от  уже
известного нам.
     3.  Мыслительные блоки, или  понятийные элементы, связаны друг с другом
весьма  свободно, и содержимое их неоднородно. Они  не являются чем-то вроде
водонепроницаемых отсеков,  жестко отграничивающих чистую воду от всего, что
ее окружает. Их содержимое всегда слегка варьирует по количеству и качеству,
загрязнено по составу.
     Вот и  все, что можно сказать в этой связи. Не  стоит обращать внимание
на  все  эти  несовершенства,  их  следует принять  такими,  как  они  есть,
поскольку  без них невозможны  никакие  формы  мышления.  Беда в  том,  что,
забывая об  этих  несовершенствах,  мы  подчас  совершаем серьезные  ошибки,
приводящие нас к периодическим приступам неуверенности в себе, а философов -
к пессимизму и неверию в могущество мысли.
     Вот почему  нам надлежит со  всем тщанием рассмотреть вопрос о том, как
образуются,  классифицируются  и  применяются  в  научных исследованиях  эти
понятийные элементы.
     1.  ДЛЯ  ПОНИМАНИЯ СЛЕДУЕТ  ПРЕЖДЕ ВСЕГО  РАСПОЗНАТЬ  КЛАССИФИКАЦИОННЫЕ
ЭЛЕМЕНТЫ. Как мы могли убедиться, понимание  есть установление связей  между
распознаваемыми элементами  природы. Чем  больше  мы  установили связей, тем
глубже  наше понимание. Поэтому, какой бы  объект мы  ни изучали,  мы прежде
всего интересуемся,  из  каких более  мелких  элементов  состоит  понятийный
элемент и соответственно  в какую систему он  сам  входит как  составляющий.
Отсюда  степень подлинной  научности исследования  прямо пропорциональна той
точности, с которой определяются составляющие понятийные элементы.
     Если объектом  нашего  исследования является  человек,  нам  необходимо
прежде  всего  попытаться определить те  элементы,  из  которых  он  состоит
(органы,  клетки,   химические  вещества,  из  которых  строится  его  тело,
элементарные  представления  и   побуждения,  которыми  руководствуется  его
разум),  затем  классифицировать   и  эти  элементы,  и  человека  в   целом
относительно других элементов природы.  Только  такой процесс формулирования
элементов  и  их  классификации способен  привнести  в наши  мысли  порядок.
Разделяя  элементы по признаку  подобия, а  также  распределяя их  некоторым
закономерным образом, мы изучаем их структурные  и  причинные связи. В  свою
очередь   только   изучение   этих   закономерностей  дает  нам  возможность
воздействовать  на Природу по своему желанию. И наконец, только установление
таких   взаимосвязей  в   рамках   одной   системы   дает  нам   возможность
конструировать  теории,  способные  предсказывать   вероятностное  поведение
дотоле неизученных систем, обладающих  сходными структурными или каузальными
элементами.
     Если  мы хотим получить  информацию о деятельности почек  человека, нам
следует прежде всего раскрыть составляющие  их элементы (клетки и химические
вещества) и  ту роль,  которую играет  основной элемент -  почка - в системе
других элементов (органов) человека. Далее, по данным сравнительного анализа
мы выясним,  что по  своим основным показателям человеческая почка  мало чем
отличается  от  почек  других животных.  Поэтому,  определив  реакции  почки
больного  животного  на  лекарственный  препарат,  можно   с  большой  долей
вероятности   предсказать   состав   препарата,  излечивающего   аналогичное
заболевание человека.
     2.   БИОЛОГИЧЕСКИМ   ЭЛЕМЕНТАМ  ОБЯЗАТЕЛЬНО  ПРИСУЩА  НЕОПРЕДЕЛЕННОСТЬ.
Существенным   недостатком,   препятствующим   определению   тех  или   иных
биологических элементов, является их неопределенность.
     Биологические  элементы  никогда  не   существуют  в  чистом   виде.  В
рассматриваемый   биологический   элемент   неизбежно   вторгается   другой.
Независимо  от  способа  определения  элемента  в  нем всегда  имеется нечто
принадлежащее другому элементу. Можно вскрыть тот или  иной орган и дать ему
какое-либо  имя. Пусть он  получит название  "почка". И  тем не менее моча в
протоках,  кровь  в сосудах  и даже сами сосуды  в  строгом смысле  слова не
являются почкой. Правильнее  было бы рассматривать  их как  составные  части
таких элементов, которые носят название "моча", "кровь" и "сосуды", ибо  они
имеют куда большее  сходство с аналогичными  элементами  вне  почки,  чем со
структурами, непосредственно составляющими почку. То же самое можно  сказать
и  по  поводу  соединительной  ткани,  нервов,  всех  химических  элементов,
образующих почку. Что же тогда есть собственно почка?
     Дело в том, что происходит и обратный процесс: изучаемый  биологический
элемент сам с такой же неизбежностью вторгается в другой. Если рассматривать
некий  кровеносный  сосуд, входящий  в почку  как  часть  этого  органа,  то
возникает естественный вопрос:  в  каком же месте он  становится  собственно
почкой? Если тот или иной химический  элемент входит в  состав почки, где же
конкретно происходит соответствующее изменение? Каковы границы биологических
элементов? И если уж продолжать, где  пролегает моя собственная граница? Что
главным образом  составляет меня самого? Может  быть, кончики ногтей на моих
пальцах? Но  ведь они мертвы и бесполезны. Или,  быть может, наполняющий мои
легкие воздух,  без которого я  бы умер? Но  если окружающий меня воздух  не
есть составляющая меня  материя, то где именно он становится  частью меня? В
моем носу,  в  легких, в крови или  в  клетках? Кроме  того что  границы  не
определены, они к  тому же взаимопересекаются. То же относится к пограничной
линии между  одушевленной  и  неодушевленной  Природой.  Каким  образом  мне
удалось бы что-то  узнать о  себе  самом,  если не определить  сколь  угодно
произвольным способом хоть какую-то демаркационную  линию между  собственной
персоной и остальным миром?
     3. СЛОЖНОСТЬ  ОЦЕНКИ  БИОЛОГИЧЕСКИХ  ЭЛЕМЕНТОВ,  а) Оценка по аналогии.
Оценка по аналогии основывается на  предположении,  что  если  два или более
объекта согласуются друг  с другом в некоторых отношениях, то они, вероятно,
согласуются  и в других отношениях.  Метафора  -  это  риторическая  фигура,
которая  путем аналогии наводит  на мысль о таком сходстве. Любые  обобщения
находятся  в  зависимости от  установления аналогий между объектами, которые
ранее не обнаруживали никакого сходства.

     Магическое  в основе  своей  метафорично.  Как  и сны.  Как и  подлинно
художественная деятельность.  В конце  концов  теоретическая  наука  - это в
основе своей упорядоченное использование метафоры.
     А. Рапопорт

     Метафора - это  отличительный признак гения, ибо способность образовать
хорошую метафору есть способность распознать сходство.
     Аристотель

     Первоначально термин "аналогия" применялся  исключительно для выражения
количественных отношений.
     Например, отношение между  двумя и четырьмя аналогично  отношению между
восемью  и  шестнадцатью,  и  в  настоящее  время  в  математике  такой  тип
количественных  отношений  чаще  всего  называется  "пропорцией".  Однако  у
Аристотеля  мы   уже  находим  применение  этого  термина  для   обозначения
качественных отношений, как это принято сейчас.
     Установление   аналогий  составляет  основу  всякого   объяснения.   Мы
полагаем,  что  объяснение состоялось,  если нам удалось  продемонстрировать
сходство  нуждающегося в объяснении  объекта с  чем-то уже знакомым.  Именно
посредством  аналогии  можно  ввести  новый  факт  в  сетевую  структуру уже
имеющейся сокровищницы информации.
     Опасность рассуждений по аналогии состоит в том, что две пары терминов,
которые мы сравниваем между  собой, всегда в некоторых отношениях отличаются
друг от друга, следовательно, связывающий их логический вывод обоснован лишь
в  определенных  пределах.  Нам  будет легче понять, что подразумевается под
гормонами, если  сравнить  последние с  химическими переносчиками  сигналов,
посылаемых  железами  внутренней секреции для влияния  на какой-либо  орган,
находящийся   на   периферии.   Мы  сразу   же  представляем   себе  гормоны
передвигающимися по определенным маршрутам  и вызывающими должный  эффект не
прямо,  а косвенно, путем передачи  "инструкций".  В  этом  смысле  аналогия
крайне полезна, ибо  способствует не только пониманию, но  и  предсказанию с
некоторой долей  вероятности  тех  или  иных  характерных  свойств  действия
гормонов,  поскольку  нам  известно,  что   имеется  ряд   сходных  свойств,
характеризующих  в  целом  действие  переносчиков  сигналов. И тем  не менее
никогда  нельзя с  уверенностью  предсказать,  насколько далеко  может  быть
распространена  аналогия.  Переносчики  сигналов  нуждаются  в подкреплении,
гормонам  же это не  требуется.  Такого рода непредсказуемость  ограничивает
полезность  аналогий,  однако без них не обойтись, когда нам нужно объяснить
новое понятие,  то есть  передать  его в уже  известных  терминах.  Аналогия
способна  предполагать, на ней строятся все гипотезы  и  теории,  но  она не
может ничего доказать.
     б) Несущественное нарушает порядок.  Когда вы  печатаете на машинке, вы
при  желании  можете любое слово сделать неразборчивым:  для этого не  нужно
ничего  стирать,  достаточно  просто  забить  это  слово  буквой "X".  Такое
несущественное добавление искажает буквы,  обессмысливая напечатанный текст.
Нечто подобное наблюдается и в Природе.
     Есть  старый  анекдот  о  человеке,  который  пил  каждый  день,  но  в
понедельник - виски с содовой, во вторник - джин  с содовой, в среду - ром с
содовой и т. д. Поскольку каждый раз после выпитого он, естественно, хмелел,
то пришел  к выводу,  что  причиной опьянения была  содовая. Когда известный
несущественный  фактор сопровождает  неизвестный существенный,  такого  рода
ошибки  случаются  довольно  часто,  что   при   проведении  фундаментальных
исследований  трудно  обнаружить.  В  разд.  "Заблуждения"  приводится   ряд
примеров такого  рода ("Молчащий маркер", с. 309, и "Несущественные факторы,
вводящие в заблуждение", с. 311). В описанных случаях ошибка обычно является
результатом того, что  из двух  агентов (или целей), которые трудно отделить
один  от  другого,  один  инертен,  однако его легко  обнаружить  ("молчащий
маркер"), в  то время  как другой активен,  однако не поддается обнаружению.
Получается, что  наличие активного  фактора можно  выявить только при помощи
инертного  маркера, который и  принимается  ошибочно за  причину, лежащую  в
основе наблюдаемых явлений.
     в)  Несовместимые  на  первый   взгляд  теории   о  взаимосвязях  между
элементами могут  оказаться  в равной степени  правильными.  Теория  подобна
гиду: она ведет нас от  одного  известного факта к  другому.  Следовательно,
теория  служит  подспорьем  при  запоминании фактов,  а путем  экстраполяции
закономерностей  во  взаимосвязях  между фактами она  даже дает  возможность
делать предсказания  по  поводу того,  где именно с  наибольшей вероятностью
будут найдены представляющие для нас интерес новые факты.
     Предположим, у  подножия высокой  горы расположены  два селения: одно к
северу,  другое -  к  югу  от  нее. Никто  из жителей этих  сел  никогда  не
поднимался на гору и не видел ее с противоположной стороны. Жители и одного,
и  другого  села были уверены,  что имеют  прекрасное  представление об этой
горе, по крайней  мере о  той ее  стороне,  которая  им  видна. Однако  если
северный  склон  скалист  и бесплоден,  то южный утопает  в цветущих лугах и
лесах.    Соответственно   два   представления    жителей   сел    абсолютно
противоположны. Доведись им встретиться друг  с другом где-нибудь вдалеке от
родных  мест и  заговори они каждый о "своей горе", им бы никогда и в голову
нс пришло, что они говорят об одном и том же месте. Такого рода путаница--не
редкость  в  экспериментальной  медицине,  и  именно  с  ней  связаны  самые
ожесточенные споры.
     Гистолог,   изучающий   сердечную  мышцу  после  импрегнации  серебром,
отчетливо  увидит  даже  самые  мелкие  ответвления  сердечных нервов, но не
обнаружит гликоген; его коллега,  применяя окраску кармином по методу Беста,
легко обнаружит гликоген, но не увидит нервных окончаний. Если оба гистолога
намеренно пользуются различными  методиками, то, вероятнее всего, между ними
не  возникнет  никаких серьезных  разногласий. Нередко,  однако, намереваясь
применить одну и ту же методику, гистологи сами не знают, что они по-разному
готовят растворы. В этом случае каждый из них будет убежден, что его коллега
увидел мираж.




     Всякий  эксперимент  на  животных  является,  в   сущности,  упрощенной
моделью, на которой проверяется, существуют ли те или иные взаимосвязи между
биологическими объектами, причем несущественные детали не учитываются. Точно
так  же  поступает  архитектор  или  инженер,  создавая  упрощенную  модель,
представляющую собой в уменьшенном масштабе ту сложную структуру, которую он
намеревается  построить.  И тот и  другой знают по  опыту,  что  проще всего
постичь общие  законы, регулирующие  поведение  сложных  машин и механизмов,
если система  свободна  от несущественных  элементов. В  этой связи, как мне
кажется,  следует  еще раз вернуться  к указанным  выше трем видам  типичных
ошибок, возникающих  при формулировании  и оценке  биологических  элементов.
Воспользуемся для этого сравнительно простой механической аналогией
     Хотя  этот блок и  состоит из множества элементов, по своему составу он
значительно проще даже самого примитивного живого существа.
     
     Если смотреть  на  блок  спереди (с  чего и начались  исследования), он
производит  впечатление  ровной  и  плоской поверхности. Затем с применением
грубых  инструментов  выясняется, что внутри него проходит жирная пунктирная
вертикальная  линия.  После  того   как   ее  положение  четко  установлено,
выясняется  следующий  факт:  этот   объект  состоит  из  двух  вертикальных
прямоугольников.     Дальнейшее     совершенствование     исследовательского
инструментария  позволило выявить, что в каждом из ранее  открытых элементов
содержится по четыре узких  вертикальных прямоугольника, очерченных линиями.
Становится   очевидно,  что  первое  впечатление   было   ошибочным   и  что
рассматриваемая  поверхность  состоит  из  восьми симметричных  элементарных
частей.
     Однако  при   последующем  изучении  был   применен   прибор,   который
регистрировал  лишь  широкие наклонно-штриховые  линии. Стало  быть,  первое
впечатление  в  целом  было  правильным,  и  поверхность блока действительно
состоит из  восьми частей,  но  они  вовсе  не равны между  собой, во всяком
случае  все они  структурированы еще в одном направлении  - более  или менее
горизонтальном. Странные расхождения, не правда ли?
     Впоследствии,   когда  появилась   техническая   возможность  перенести
исследования в  глубь  блока,  та  группа  специалистов,  которая  применяла
детекторы пунктирных линий, и та группа,  в чьем распоряжении были детекторы
точечных линий, сошлись во мнении, что рассматриваемая  структура состоит из
восьми  идентичных  вертикальных  пластин. Однако специалисты, работающие  с
детектором наклонно-штриховых линий, продолжали настаивать на том,  что блок
состоит  из восьми не равных между собой и почти горизонтально расположенных
пластин.
     Скрупулезная  проверка  этих  точек  зрения, проведенная в  дальнейшем,
позволила  выявить,  что  понятие  "элементы"  в  данном случае неприменимо,
поскольку  все  названные  линии прерывистые,  и,  таким  образом, все,  что
расположено  вдоль  их границ, не может  быть классифицировано с достаточной
точностью.
     Не будем продолжать это обескураживающее  повествование.  Так или иначе
из него явствует, что в зависимости от выбранной точки зрения и инструментов
исследования (или  органов чувств)  наше  представление  об объекте меняется
разительным  образом.  Рассматривая  один  и тот  же  куб,  например,  можно
представлять его  себе состоящим из элементов различного вида;  эти элементы
частично накладываются друг на друга, но ни об одном из  них нельзя сказать,
что он более истинен, чем все остальные. Все элементы рассматриваемого блока
истинны.  В  ходе  дальнейших  углубленных  исследований   можно   со   всей
очевидностью  продемонстрировать,   что  с  помощью  все  более  совершенных
инструментов имеется возможность обнаружить в самых мелких из описанных нами
элементов еще  меньшие  субэлементы.  И  в то же  время  весь  блок целиком,
подобно  кирпичу в стене здания, представляет собой просто-напросто  один из
элементов  еще  более  крупной  системы.  Обнаружить  это   удается  лишь  в
результате  изучения  окружающего пространства, проведенного на расстоянии и
без каких-либо увеличительных приборов.
     Мораль этой истории такова: может случиться  так, что сразу  несколько,
казалось бы, несовместимых между собой теорий могут оказаться истинными.
     Рассматриваемый ранее блок не состоит из неравных наклонных пластин или
равных  вертикальных пластин  - он  состоит  из неравных  наклонных и равных
вертикальных пластин.
     Следует  подчеркнуть, что все  элементы частично накладываются  друг на
друга,  материал,  образующий  наклонные  пластины,  входит  также в  состав
вертикальных пластин, следовательно,  ни об  одной молекуле  нельзя сказать,
что она в большей степени принадлежит одной системе пластин, нежели другой.
     Таким образом, выясняется, что несущественность искажает порядок:  если
мы, предпринимая  попытки обнаружить закономерности  расположения  наклонных
пластин, станем обращать внимание на другие линии, мы отклонимся в сторону и
собьемся с пути.
     Все столь очевидным образом противоречащие друг другу исходные теории в
равной мере верны; четкость окончательной формулировки заключается в простом
их объединении. Чем больше связей мы устанавливаем, тем лучше мы "понимаем".
Что же  касается значимости, то  для меня самым  значимым  и важным является
факт, благодаря  которому все эти наблюдения стали возможными,- установление
объекта как такового. Подведем некоторые итоги:
     1. Невозможно строго определить границы элементов, поскольку,  каким бы
образом мы ни пытались  это сделать, границы  образованных разными способами
элементов всегда будут частично перекрываться.  Кроме  того,  демаркационные
линии  между  двумя  сопредельными  элементами  обычно  бывают  нечеткими  и
недостаточными.
     2. Детали, несущественные с определенной точки зрения, имеют  тенденцию
искажать ту упорядоченность, которая могла бы проявиться в этом случае.
     3. Сразу несколько на первый взгляд  противоречивых теорий, описывающих
одну  и ту же  структуру, могут оказаться  верными  в  том  случае, если при
оценке строения этой структуры они исходят из различных критериев.
     4.   Тем  не  менее  для   понимания  структуры  совершенно  необходимо
определить  ее  элементы,  поскольку  "понимание"  как  раз  и заключается в
осознании той роли, которую играют элементы структуры как части целого.
     5. Аналогичные  проблемы характерны  и  для биологических  систем, хотя
постичь эти проблемы гораздо труднее ввиду бесконечно большей сложности этих
систем.  При определении  биологических  элементов необходимо  принимать  во
внимание не только их форму, различия  в  химическом составе, цвете, запахе,
температуре, консистенции,  электрическом  заряде,  времени возникновения  и
исчезновения, но, увы, и бесчисленное количество других факторов.




     Говоря об аналогии с блоком понятий, мы подразумеваем, что все элементы
блока непременно являются смежными и соприкасаются  между собой. На самом же
деле те  предметы, которые пространственно  близки между. собой, могут  быть
совершенно не связанными  друг  с  другом (на моем столе лежит  бутерброд  с
ветчиной,  который имеет  очень мало общего со случайно оказавшимся рядом  с
ним флаконом кортизона).  И в то же время пространственно удаленные друг  от
друга предметы (к примеру,  все  имеющиеся  на свете порции кортизона) могут
быть фактически  идентичными.  Эти  рассредоточенные  по  всему свету порции
сливаются в единое понятие "кортизон" и связываются в целое в нашем сознании
с помощью нитей,  составленных из имеющихся у нас мысленных представлений об
их качественных признаках.
     На  нижеследующем рисунке  объекты представлены в виде  пронумерованных
узлов  (кружков),  доступные  наблюдению признаки этих  объектов  -  в  виде
различных  жирных линий, а  имеющаяся  в нашей  памяти  информация  об  этих
признаках  и  представления  о  них  -  в виде тонких соединительных  линий.
Способность  отделять  объекты  один  от   другого  зависит  от  способности
воспринимать различия характеризующих их признаков.
     
     1. Предположим, первоначально исследованы только узел 1 и 3. В качестве
первого  шага мы  просто  отмечаем, что оба узла содержат жирные  и точечные
линии. До тех пор  пока об  этих  узлах нет  дополнительной информации,  они
представляются нам во всех отношениях тождественными.
     2.  Последующее  изучение количественной  стороны вопроса показало, что
узел 1 полностью содержит жирную и точечную линию, тогда как в узел 3 жирная
линия   входит   не   полностью.   В   результате   появляется   возможность
дифференцировать  узел  1  и  3 на  основании  количественных различий в  их
структуре.
     3.  После этого подвергается изучению  вся окружающая эти узлы область,
однако  применяются инструменты,  способные обнаруживать только  жирные  или
только точечные линии.  Детектор  жирных линий  выявляет дополнительные узлы
(8, 2 и  7), в  то время как детектор точечных линий зарегистрирует узлы 5 и
6. Этими открытиями обозначается новый аспект исследования, в соответствии с
которым все  узлы, содержащие жирные  линии, содержат также и точечные линии
(8,  2, 1,  3, 7), однако  не все узлы с точечными линиями содержат также  и
жирные линии (5, 6).
     4.  В  дальнейшем,  когда  будут  разработаны  инструменты, при  помощи
которых можно обнаруживать линии с поперечной насечкой и линии, составленные
из клеточек и из звездочек, станет очевидным, что узел 7 отличается от узлов
1  и 3, а  узел  5 отличается  от узла 6. В  то же время окажется  возможным
обнаружить узел 4, поскольку он содержит линию с поперечной насечкой.
     Открытие   новых   объектов   будет  зависеть  от   нашей   возможности
распознавать дополнительные характерные признаки.
     5. Если будет создан детектор для выявления пространственного положения
узлов,  то появится новый аспект исследования. Нам  станет известно, что все
узлы, содержащие жирные  линии (8,2,1,3,7), расположены вдоль горизонтальной
прямой, тогда как ни один из находящихся в стороне от этой  прямой  узлов не
содержит жирной линии. Этот  факт дает  нам возможность высказать гипотезу о
том, что новые узлы, содержащие жирную линию, скорее всего  будут  найдены в
результате скрининга, проводимого в  направлении, совпадающем с воображаемым
продолжением прямой, соединяющей узлы 8 и 7.
     Помещенный  здесь  простейший  рисунок  служит  иллюстрацией  тезиса  о
значении классификации в  качестве предварительного  условия  формулирования
плодотворных  гипотез  - таких  гипотез, которые, основываясь на  аналогиях,
дают  возможность  делать  достаточно вероятные  предсказания.  Кроме  того,
рисунок  демонстрирует всю относительность  понятий элемента  или категории.
Можно рассматривать  "узел  1"  как  категорию, которая  объединяет жирную и
точечную линии, расположенные определенным образом, но и "жирная линия" сама
по себе - это также понятийный элемент или отдельная категория в том смысле,
что  она  объединяет  в  себе  соответствующие  элементы  независимо  от  их
местонахождения.
     Ничто   в  Природе  не  может  быть  охарактеризовано  с  исчерпывающей
полнотой. Как бы ни были обозначены составляющие Природу элементы, их доселе
неизвестные  характеристики выявляются с помощью новых методов  исследования
(например, с использованием  усовершенствованных инструментов).  И  в  то же
время  характеристики,  присущие одному  элементу,  могут  быть в дальнейшем
обнаружены в другом. Отсюда следует, что  применительно к природным явлениям
никакое  сочетание  индуктивных  и  дедуктивных  умозаключений  не  способно
привести   к  безусловно  значимым   выводам.  Это   положение  не  касается
абстрактных   умозаключений  (например,  в  области  математики),  поскольку
абстрактные  элементы могут быть охарактеризованы исчерпывающим образом. 2 -
это только 2, и ничего  более. Ничто не может быть "слишком 2" или "примерно
2", и  сколько бы ни продолжались исследования,  ни  в  каком 2  не  удастся
обнаружить ничего такого, что сделало бы его качественно отличным от другого
2.
     Под  "пониманием"  мы  имеем в  виду  процесс закрепления  информации в
понятийных  цепочках нашей памяти. Чем больше мы  обнаруживали связей  между
новым  и  прежним опытом,  тем сильнее ощущение, что это новое нам  понятно.
Однако  понимание никогда  не бывает полным, так  как мы всегда воспринимаем
лишь  одно звено цепочки понятий и, следовательно, понимаем мир не более чем
фрагментарно [Селье, 24).




     В основе всех великих открытий,  когда-либо  сделанных человеком, лежит
смелая догадка.
     Исаак Ньютон

     Меня   прежде  всего   обвиняют   в   том,   что  я  вышел  за  границы
экспериментальных доказательств. Я  отвечаю, что это качество вообще присуще
людям с научным складом ума, по крайней мере в  том, что касается физических
исследований. Создание любой известной теории - света, теплоты, магнетизма и
электричества - подразумевает выход за эти границы.
     Кельвин{36а}

     История   науки  со  всей  убедительностью   доказывает,   что  истинно
революционные  и  значительные достижения проистекают не из эмпиризма,  а из
новых теорий.
     Джеймс Б. Конант




     Познавать, не размышляя,- бесполезно; размышлять, не познавая,- опасно.
     Конфуций

     Бесполезно заниматься наблюдением фактов и  их регистрацией, не пытаясь
их как-то  теоретически  оформить; однако и чистые  рассуждения без малейших
попыток установить их практическую применимость зачастую приводят  к опасным
заблуждениям. Прошло более 2500 лет с тех пор, как была высказана эта мысль,
но в разные времена в разных частях света предпочтение отдавалось то фактам,
то теориям.  В настоящее время  в странах Северной Америки мы сталкиваемся с
абсолютно  неоправданным доверием  к фактам, преувеличением их  значимости и
как  следствие  этого пренебрежением теорией и интерпретацией фактов. Причем
этот процесс зашел так далеко,  что большинство медицинских журналов  просто
отклоняют работы, представляющие собой  значительные  и новые  теоретические
разработки,  но  не содержащие  новых  фактов.  Наряду с  этим  редакционные
коллегии  этих журналов готовы принять  любую статью, если в ней описываются
факты,  даже без определения  их  значимости. Предубеждение  против "чистого
теоретизирования"   стало  в  биологических  науках  столь  распространенным
явлением, что многие исследователи, описывая фактический материал, намеренно
подчеркивают  в качестве  самооправдания, что они  и  не пытаются предлагать
интерпретацию обнаруживаемых фактов. А что стоят факты без их истолкования?
     В  этом  можно  было  бы  усмотреть  реакцию на  бесплодное  применение
диалектики  средневековыми  схоластами,  которые  были  настолько  поглощены
"гимнастикой  ума",  что не  считали нужным  проверять  достоверность  своих
теорий.  Нет сомнения, что высчитывать, сколько ангелов может поместиться на
кончике  иглы,  бессмысленно,  но  не   менее   бессмысленно  определять   с
бесконечной точностью средний диаметр клетки.
     Безусловно,  какой-нибудь  случайный  факт  может  иметь   определенное
сиюминутное  применение,  даже  если  его  суть не  ясна.  Но  поиск  наугад
практически без шансов  на успех  едва ли можно считать наукой. Не так давно
одно  широко  известное   учреждение  распространило  анкету  под  названием
"Интеллектуальная безнравственность". Пункт 4 этой анкеты гласил: "Обобщение
с выходом за рамки имеющихся данных". Банкрофт вполне  резонно спросил, а не
правильнее  ли было бы сформулировать пункт 4 так: "Обобщение без  выхода за
рамки имеющихся данных".
     Мы  уже  говорили   (с.  128)  об   основных  характеристиках   научных
достижений.  Здесь  же  ограничимся указанием на  то, что  гипотезы, которые
нельзя проверить  путем наблюдения, столь, же бесполезны, как и  наблюдения,
которые не поддаются интерпретации в рамках  какой-либо  теории. Кроме того,
любая  гипотеза,  которую  невозможно  проверить на  практике доступными  на
сегодняшний день методами, может  быть  завтра  подтверждена  методами более
совершенными, и  тот факт, который сегодня не поддается интерпретации, будет
понятен какое-то время  спустя. Однако на сегодняшний день и такие гипотезы,
и такие  факты бесполезны.  И  если  им  действительно суждено  впоследствии
обрести смысл, свою признательность мы  выскажем  не тому  человеку, который
впервые обнаружил эти факты, а тому, кто сумел дать им адекватное толкование
(разд. "Что такое открытие?", с. 113).
     Значимость фактов и  теорий взаимозависима: если женщине хочется носить
нитку  жемчуга, едва ли  можно определить, что более  важно  в этом случае -
нитка или жемчужины. Причина, по которой  эта проблема так часто неправильно
понималась,  состоит  в  том,  что  построение теории  представляется  более
творческим процессом,  чем простое наблюдение  фактов, поскольку  считается,
что  реальный  факт обладает некоторой самостоятельной ценностью, совершенно
не зависящей  от его интерпретации. Это мнение ошибочно. Любая теория -  это
связь  между  фактами,  она  связывает  факты  воедино  и  приводит   нас  к
установлению новых.
     Много  недоразумений возникает  от  неправильного употребления терминов
"гипотеза", "теория"  и  "биологическая истина".  Гипотеза  -  это  догадка,
теория  -  это  частично  доказанная догадка,  биологическая  истина  -  это
антинаучное преувеличение, постулирующее  возможность полного доказательства
теории,  то есть положение, не  существующее в биологии. Давайте в  биологии
вместо  слова  "истина"  будем  использовать  термин  "факт",  поскольку  он
происходит от  латинского "factum"  ("дело" или "действие")  и подразумевает
только действие - доказательство наличия чего-либо.
     Существует поговорка: никто  не верит в гипотезу,  кроме  того, кто  ее
выдвинул, но все верят в эксперимент, за исключением того, кто его проводил.
Люди  готовы  поверить  "экспериментальным данным"  -  фактам,  полученным в
процессе эксперимента,  но  сам экспериментатор глубоко осознает  искажающее
влияние  тех  мелочей,  которые  могут повлиять на чистоту эксперимента. Вот
почему  сам первооткрыватель нередко бывает  менее уверен в  своем открытии,
чем другие.  И наоборот,  человек,  выдвинувший какую-то  идею, эмоционально
привязан к  ней,  а  потому  меньше  других  склонен  проявлять  критическое
отношение к плодам своего ума.
     Необходимо точно знать, когда  следует отказаться от концепции, которую
ничем  нельзя  подтвердить.   Если   гипотеза  недостаточно  согласуется   с
наблюдениями, не  отказывайтесь от нее  ни слишком  рано, ни слишком поздно.
Большинство исследователей с легкостью расстаются с гипотезами, высказанными
другими людьми, если первые же эксперименты не подтверждают эти гипотезы, и,
напротив,  проявляют  завидное   упорство   в  попытках  найти  какие-нибудь
доказательства в пользу  излюбленных ими идей. Однако если  у нас есть новая
гипотеза, способная заменить старую, с последней легче расстаться.




     Один  из  основных  принципов,  вытекающих  из изучения  истории науки,
состоит в том,  что  свержению теории  способствует только лучшая  теория  и
никогда - просто противоречащие ей факты..
     Джеймс Конант

     Каждый  раз,  когда экспериментальные  данные противоречат существующей
теории, это означает новый успех, так как в этом случае  в теорию необходимо
внести изменения и коррективы.
     Макс Планк

     Даже  такая теория,  которая соответствует не  всем  известным  фактам,
представляет  собой определенную ценность, если она соответствует  им лучше,
чем  любая другая. Неверно,  что "исключения  подтверждают  правило", однако
вовсе необязательно исключения опровергают правила. Иногда те факты, которые
первоначально  казались несовместимыми с теорией,  по мере  появления  новых
фактов начинают постепенно находить свое естественное место в ней. В иных же
случаях   сама  теория   оказывается  достаточно  гибкой  и   с  готовностью
приспосабливается   к  новым   наблюдениям,   кажущимся  парадоксальными   и
несовместимыми  с ней.  "Самая  лучшая  теория  та, которая, основываясь  на
наименьшем количестве предпосылок, объединяет наибольшее количество  фактов,
ибо  она  наилучшим  образом соответствует тому,  чтобы  ассимилировать  еще
большее  количество  фактов  без  ущерба  для  своей собственной  структуры"
[Селье, 23].
     Существует  огромное различие  между  бесплодной  и ошибочной  теорией.
Бесплодная  теория  не  поддается экспериментальной  проверке.  Таких теорий
можно сформулировать сколько угодно,  но они  никоим образом не способствуют
пониманию природы вещей, их итог - бессмысленное словоблудие.  В то же время
ошибочная теория может быть  чрезвычайно  полезной, ибо, если она достаточно
разработана,  это поможет  спланировать такие  эксперименты, которые  смогут
заполнить  значительные пробелы в  нашей системе  знаний. Факты должны  быть
правильными,  теории  должны  быть  плодотворными. Если  "факт"  неверен, он
бесполезен, иначе говоря, это просто Не  факт,  а вот ошибочная теория может
оказаться лаже  более полезной, чем правильная, если она более плодотворна в
том смысле, что ведет к новым фактам.
     Разработка  Вассерманом реакции на  сифилис является блестящим примером
ценности ошибочной  теории. В силу технических причин  оказалось невозможным
приготовить чистую культуру спирохет, вызывающих сифилис. И тогда  Вассерман
использовал  в  качестве  антигена  (вещества,  необходимого   для  "реакции
связывания комплемента", по которой диагностируется сифилис) экстракт печени
мертворожденных  детей, матери которых были больны сифилисом,  ибо, как  ему
было  известно, такая  печень богата  спирохетами.  Этот  экстракт  оказался
прекрасным  диагностическим  препаратом, хотя  впоследствии было обнаружено,
что никакой необходимости  использовать печень  больных сифилисом  нет,  для
этих целей  вполне  приемлема  печень здоровых  людей. Более того,  не менее
активные антигены можно приготовить  даже из органов других животных. Нам до
сих пор неизвестно, почему эти антигены дают реакцию связывания комплемента,
хотя  достоверно  известно, что  Вассерман ошибался, используя печень именно
больных сифилисом. И  тем не менее вполне  вероятно, что мы бы до сих пор не
располагали  каким-либо   серологическим  тестом   для   диагностики   этого
заболевания, если бы  не  ошибочная и  все же  чрезвычайно плодотворная идея
Вассермана [Беверидж, 2].
     Только  в  совершенно  исключительных  случаях  новая  смелая концепция
выдерживает  испытание  временем,  не   подвергаясь  каким-либо  изменениям.
Вспоминая,  как  развивались  его взгляды  на эволюцию, Ч. Дарвин писал: "За
исключением  [теории образования] коралловых рифов,  я  не могу вспомнить ни
единой  первоначально  составленной мною гипотезы, которая не была бы  через
некоторое время отвергнута или сильно изменена мною" [7, с. 150].
     Но  это не принципиально. Как мы  увидим далее, в разделе "Заблуждения"
(с. 285), даже такая теория, которая постулирует нечто прямо противоположное
истине, может оказаться чрезвычайно полезной.
     Настоящий ученый в  равной степени  заинтересован как в доказательстве,
так и в опровержении его теории; если теория действительно ценная,  было  бы
одинаково важно продемонстрировать как ее истинность, так и  ее ошибочность.
Когда  в   процессе  эксперимента   Ф.  Мажанди{36б}   получил   результаты,
противоположные ожидаемым,  он восхищенно воскликнул: "Я  предвидел наиболее
вероятный и  логически оправданный  факт,  который мог  бы представить  себе
всякий другой.  А  произошло прямо противоположное! Итак, я открыл абсолютно
новое явление, важность которого  пропорциональна  его неожиданности"  [цит.
по: 16].




     Сколько чепухи  говорится  об индукции и дедукции! Одни объявляют  себя
приверженцами индукции,  другие  -  дедукции,  тогда  как истинное призвание
исследователя, такого, например, как Фарадей, состоит в том, чтобы соединить
их.
     Джон Тиндаль

     Слова  "индуктивный" и "дедуктивный" были бы  вполне приемлемы, если бы
мы пришли к  единому мнению о  том,  что  они  означают.  Большинство из нас
назвали  бы Бэкона  приверженцем  метода  индуктивного  рассуждения.  Однако
Меллор{36в} утверждает,  что Фрэнсис Бэкон отдавал предпочтение дедуктивному
методу, индуктивному  же -  Исаак  Ньютон. Меллор  рискует  утверждать,  что
использованный Аристотелем метод был вновь открыт  и сформулирован Фрэнсисом
Бэконом  в  "Новом  Органоне".  Доведись  Ф.   Бэкону  услышать   это,   он,
по-видимому, был бы немало удивлен.
     Уайлдер Д. Банкрофт

     Индукция - это способ мышления от отдельного к общему, от детализации к
обобщению.  Дедукция же  - это способ мышления от  общего  к частному или от
всеобщего   к   отдельному.   Нередко   догматически  утверждается,  что   в
естественных науках допустимы лишь дедуктивные  рассуждения, в то время  как
индуктивное  мышление  следует  оставить  философам.  Указывается  также  на
бесплодность дедуктивных рассуждений,  поскольку они не способны  привести к
чему-либо новому.  Должен признаться,  что  всегда  относился  к обеим  этим
точкам зрения как к чрезвычайно близоруким в  теоретическом  отношении - они
никогда  не  применялись  и  никогда не  смогут  быть  применены  в практике
биологических исследований.
     Хочу снова  проиллюстрировать использование индуктивных  и  дедуктивных
рассуждений на примере реальной  проблемы,  с которой я  столкнулся в  своей
работе.
     Дезоксикортикостерон - это накапливающий  натрий  гормон  надпочечника,
или   "минералокортикоид".    Мы    обнаружили,   что    при    определенных
экспериментальных  условиях  он   тормозит   противовоспалительное  действие
кортизола.  Другой  минералокортикоид,  соединение   "S"  Рейхштейна,  также
тормозит  это действие. Данный факт  был  подтвержден целым  рядом  опытов с
использованием набора минералокортикоидных гормонов. Опираясь на проведенные
наблюдения, мы путем индуктивного рассуждения  пришли  к обобщению, согласно
которому минералокортикоиды подавляют соответствующие свойства кортизола.
     После  того как был открыт "естественный  минералокортикоидный"  гормон
альдостерон,  мы  решили выяснить, какими  фармакологическими свойствами  он
может обладать. Лишь тогда нам удалось обратиться к дедуктивному рассуждению
и осуществить  переход  от общего к частному. Мы  допустили,  что  поскольку
альдостерон - тоже минералокортикоид,  то разумно  было бы  ожидать, что  он
обладает  свойствами  антикортизола. Опираясь  только на это  допущение,  мы
приняли   решение   проверить  имеющиеся   у  нас   несколько   миллиграммов
альдостерона именно на это действие а  не проверять бесчисленное  количество
других свойств, которыми он мог бы  обладать. В полном соответствии  с нашей
гипотезой    оказалось,     что     альдостерон    является     антагонистом
противовоспалительных гормонов.
     Последовательное пошаговое  применение обоих способов мышления  сначала
было  необходимо  для  того,  чтобы  выдвинуть   "теорию  антагонистического
действия  кортикоидов",  а  затем  для  того,  чтобы  проверить,   будет  ли
"естественный  минералокортикоид"  обладать  предсказуемыми  свойствами.  Но
можно   пойти   еще  дальше.  Именно   подобное  сочетание  индуктивного   и
дедуктивного  способов  мышления привело  нас даже  к  постулированию  связи
кортикоидов с клиническими проявлениями ревматических заболеваний. Мы пришли
к   этому   выводу   только   на   основании   опытов   по   лечению    крыс
дезоксикортикостероном,  причем более  чем за  6  лет  до  того, как  первый
страдающий ревматизмом пациент получил кортизон.
     Применение дедуктивного и  -индуктивного способов мышления  в  биологии
имеет определенные ограничения. Чем меньше число  отдельных  наблюдений, тем
больше  опасность  неправильных  обобщений. Данное обстоятельство  в  равной
степени  ограничивает  применение  как  дедуктивного,   так  и  индуктивного
способов мышления. Когда  первоначально не связанные между собой  наблюдения
организуются в определенную область науки,  индукция и дедукция следуют друг
за другом и зависят друг от друга, подобно тому как при ходьбе мы поочередно
шагаем  то  левой, то правой  ногой, и утверждать, что одна  из  них  важнее
другой, было бы нелепо.
     Возражение  против  индуктивного  способа  мышления  на  деле  означает
излишнее доверие к всеобщим законам. Для того чтобы вызвать  доверие к себе,
обобщение должно  строиться  на максимально возможном количестве наблюдений.
Однако  обобщения,  сформулированные  на основе  ограниченного числа данных,
имеют  столько же шансов проявить  себя  в  качестве  универсального закона,
сколько оказаться подспорьем при правильном построении дедуктивных выводов в
новых  конкретных  условиях.  Разумеется,  такие дедуктивные рассуждения  не
могут быть приравнены к доказательству;  их основная  роль сводится к  тому,
чтобы выделить из  бесконечного числа возможных  экспериментов  те немногие,
которые  стоит  провести.  Я  вполне  допускаю,  что  ученым,   привыкшим  к
абстрактному мышлению, подобные соображения покажутся наивными, однако, судя
по медицинской литературе, на практике они часто недооцениваются.
     С  помощью чистой  логики  можно  только установить,  тождественны  два
объекта или нет. Однако, если последовательно придерживаться этого принципа,
можно  прийти  к  оценкам  количественных,  качественных  и  даже  причинных
отношений.  И индуктивный,  и  дедуктивный  методы мышления  просто  создают
условия  для  сравнения  и  сопоставления частного  и общего. Поэтому  я  не
усматриваю между ними принципиального различия. Для  меня обратный силлогизм
-  это  все еще  силлогизм.  Я  могу  сказать: "Все  бусины  на  нитке  Х  -
металлические; эта бусина - на  нитке X,  следовательно,  это  металлическая
бусина".  Или  же:   "Эта  бусина   на  нитке  X;  все  бусины  на  нитке  Х
металлические,   следовательно,  эта   бусина   металлическая".   Фактически
экспериментальная   работа  основывается  не  на  простых,  а   на  условных
силлогизмах.   Мы    говорим:    "Если    все    глюкокортикоиды    являются
противовоспалительными кортикоидами и если кортизон - это глюкокортикоид, то
кортизон является  противовоспалительным  кортикоидом". В  биологии  жесткие
правила логики неприменимы, поскольку ни большая, ни меньшая посылки никогда
не будут доказаны.




     Я уже говорил, что всякое  суждение строится на  простом сравнении двух
объектов, с тем чтобы установить, имеется ли между ними какая-либо связь. Мы
должны выяснить, тождественны ли они, но ответить нам могут только "да"  или
"нет". Природа не болтлива, она просто утверждает либо отрицает. Наша задача
-  правильно формулировать  вопросы.  "Что  такое стресс?"  На  этот  вопрос
Природа  не может ответить "да" или  "нет", следовательно, это бессмысленный
вопрос.
     Когда мы  спрашиваем время от  времени: "Что будет, если...?" или  "Что
находится там-то и там-то?" Природа безмолвно предъявляет нам некую картину.
Но она никогда не объясняет.  Руководствуясь только собственным инстинктом и
опираясь  на  весьма  ограниченные возможности  нашего  мозга,  нам  удается
наконец  сформулировать  достаточно  четкие и разумные  вопросы, на  которые
Природа в состоянии дать ответ на своем понятном, но безмолвном языке знаков
и  картин. Из мозаики таких  ответов  вырастает понимание. Как формулировать
вопросы. чтобы  мозаика стала осмысленной, решает сам ученый.  Поразительно,
что этого не понимают многие ученые, в том числе биологи.
     Если надо  узнать, зависит ли функция  роста  организма от определенной
эндокринной  железы, последняя удаляется хирургическим  путем  из  растущего
организма молодого подопытного животного. Если рост останавливается, ответом
будет  "да". Если надо  узнать, является ли некая  экстрагированная из  этой
железы субстанция гормоном роста, она вводится тому же животному, и в случае
если это животное вновь начинает расти и развиваться, то ответом опять будет
"да". Именно эти знаки и подает Природа. Если нужно знать, что содержится  в
жировой   ткани,   окружающей  почку,  ткань  рассекается  и  обнаруживаются
надпочечники. Чтобы узнать форму, размер  или структуру этой  железы, на нее
достаточно посмотреть;  более детально  ее исследуют под микроскопом. Именно
эти  картины и  предъявляет  Природа.  Если  же  теперь спросить: "Что такое
надпочечники?"--ответа не будет. Это неправильно поставленный вопрос, ибо на
него нельзя ответить языком знаков либо картин.
     Бэкон писал: "Человеку дано либо объединять вещи, либо разъединять их".
То же  справедливо  и в  отношении  теоретических построений.  Мы можем лишь
членить  сложные   явления  Природы  на   элементы  и  сравнивать  элементы,
составляющие одно явление, с элементами, составляющими другое явление. Такой
путь ведет к построению очень сложных картин, однако полученная в результате
бесчисленных  вопросов  (и ответов типа  "да"  -  "нет")  составная  мозаика
создает впечатление  простого  приближения к  оригиналу.  Насколько  сложные
картины могут быть созданы с  помощью бесчисленных комбинаций ответов "да" -
"нет",  можно  продемонстрировать   с  помощью  электронного  мозга.  Задача
исследователя - четко ориентироваться в том, что именно  нужно сравнивать, с
какой точки зрения, как сопоставлять между собой однотипные элементы и каким
образом   организовать    из    простых   ответов   максимально   насыщенную
информационную цепочку.




     Теории  - это нити, которые связывают  имеющиеся факты, а поскольку все
биологические элементы  определены не строго и  к тому же взаимопересекаются
(как  в  блоке понятий на с.  259), то  разработать однозначные и неизменные
связи  между  фактами,  такие  связи,  которые  никогда  не  нуждались бы  в
пересмотре,  в  медицине  невозможно.  Когда  наш  разум,  подчиняясь  своей
внутренней структуре, автоматически  передвигается  от одной точки к другой,
так  что факты едва ли  не задевают друг друга, мы  достигаем "самоочевидных
истин",  не   нуждающихся  ни   в   теоретическом,  ни  в  экспериментальном
доказательстве (например, "2+2=4"  или "вывод,  опирающийся на использование
силлогизма,  истинен"). Чем шире пробел,  который должна заполнить теория, и
чем более  косвенные  доказательства мы используем,  тем сложнее предсказать
выводы, которые будут получены. Возвращаясь к аналогии  с  цепочкой понятий,
можно  установить, что чем длиннее нить, которой мы  должны воспользоваться,
чтобы  соединить два узла, тем  вероятнее, что  с  добавлением  новых  нитей
положение одного  из узлов  изменится или же будут обнаружены  промежуточные
узлы. Исследователь в  этом  случае никогда не  знает, с  чем  ему предстоит
столкнуться. В то  же время  чем больше узлов  и чем устойчивее их положение
(что подтверждено тщательными перекрестными проверками связей между узлами),
тем  надежнее  сама  теория,  описывающая  окружение всей  цепочки.  Другими
словами, хорошая теория должна объединять наибольшее число фактов простейшим
(кратчайшим) из возможных способов.
     В  сущности, все биологические  теории могут уложиться в  следующие три
категории:  1)  теории образования элементов,  2) теории классификации и  3)
теории причинности.




     Термином  "биологический  элемент" мы  воспользовались для  обозначения
любого явления жизни, которое можно истолковать как  некую целостность.  Это
может быть действующий фактор, объект воздействия или какое-либо их свойство
(цвет, возраст). Комплексы - это объединения  более мелких элементов, однако
сами они одновременно  представляют собой  элементы более крупных  структур.
Клетки являются элементами печени,  печень представляет собой элемент целого
организма, а организм есть элемент в рамках вида. Выделение  элементов - это
просто удобная абстракция.  Подобно  алгебраическим  символам, биологические
элементы  дают  возможность  оперировать  сходными  объектами, как  какой-то
целостностью,  как  бы  собирая  их  в  одну  упаковку.  Вместо  того  чтобы
перечислять  все  составляющие  элементы,  достаточно   просто  назвать  всю
упаковку,  как  если  бы она  была  чем-то  элементарным, неизменным и четко
выделенным из окружающего мира. Разумеется, ни один биологический элемент не
является таковым, однако, сообщив, к примеру, что  "содержащая крахмал  пища
вызывает ожирение", мы фиксируем самое  существенное. Мы опускаем  при  этом
такие  детали: ожирение  вызывает не  всякая крахмалистая пища,  не  в любых
количествах и не у всякого.
     На протяжении всей известной нам истории  человечества, зафиксированной
в  документах,  перфекционисты  не   прекращали  нападки  на  самый  принцип
образования элементов, но,  как  ни крути, без таких элементов в биологии не
обойдешься. Биологический элемент, как и любой другой элемент Природы, имеет
только статистический смысл:  когда мы говорим,  что от крахмала полнеют, мы
имеем  в  виду,  что  в большинстве  случаев  большинство  людей  полнеют от
крахмала;  когда  же мы говорим, что  беременность длится девять месяцев, мы
имеем в виду, что у большинства  женщин  беременность длится  приблизительно
девять месяцев.
     Объединяющая теория действует подобно  магниту. Она выбирает однотипные
элементы из случайного распределения разрозненных фактов и  объединяет  их в
одну  удобную упаковку, с тем  чтобы  эти  элементы можно было использовать,
передавать в процессе обучения либо хранить в памяти.




     Классификация - самый древний и самый простой научный метод.
     Она  служит  предпосылкой   всех   типов   теоретических   конструкций,
включающих  сложную процедуру установления  причинно-следственных отношений,
которые  связывают классифицируемые объекты.  Без классификации мы не смогли
бы   даже  разговаривать.  В   самом  деле,  основу  всякого  нарицательного
существительного (человек, почка,  звезда) составляет узнавание стоящего  за
ним класса объектов. Определить некий класс объектов (например, позвоночные)
- значит  установить те существенные  характеристики  (позвоночник), которые
являются общими  для  всех составляющих  этот  класс  элементов.  Тем  самым
классификация предполагает выявление тех меньших элементов, которые входят в
состав большего элемента (самого класса). Все  классификации основываются на
обнаружении той  или  иной упорядоченности. Наука  занимается  не отдельными
объектами  как  таковыми,  а обобщениями, т. е. классами и теми  законами, в
соответствии  с  которыми  упорядочиваются  объекты,  образующие класс.  Вот
почему  классификация представляет  собой  фундаментальный процесс. Это, как
правило, первый шаг в развитии науки.
     Мы уже говорили о том, что наилучшая теория классификации - та, которая
объединяет наибольшее число фактов самым простым из возможных способов.
     
     Представим это графически. На рисунке изображен изначальный беспорядок,
открывающийся  перед исследователем при обнаружении явно не связанных  между
собой элементов. Семь  из них  имеют нечто  общее: все  они  содержат черные
линии. Назовем их "классом с черными полосами", с тем чтобы отличать от всех
других объектов,  которые не  содержат черных линий. В рамках данного класса
можно различать  также  подклассы с точечной и черной полосами,  клеточной и
черной полосами и просто с черной полосой. В результате остался единственный
объект  (No  3),  не  соответствующий  ни  одному из  названных  подклассов,
поскольку  он  содержит  сразу две  черные  полосы,  одну  точечную  и  одну
клеточную.  Подобная  классификация  строится не  на теории,  а  на  простом
наблюдении.
     Столкнувшись  с  аналогичной ситуацией при  изучении  явлений  Природы,
наблюдатель, возможно,  попытался бы свести  все объекты в  единую  систему,
исходя из их размера,  формы и структуры. Он мог бы сформулировать допущение
(гипотезу),  согласно  которому  он  открыл новые  принципы  упорядоченности
отдельных  объектов. Предприняв  ряд  попыток  объединить их,  он, возможно,
отыщет  некий  способ  их организации,  соответствующий  гипотезе,  согласно
которой  все  эти  объекты  характеризуются  тем,  что  естественным образом
располагаются по двум параллельным линиям.
     Если  наблюдатель  достаточно  решителен,  он даже выявит  определенную
последовательность в переходе от большого круга (No 5) до малого эллипса (No
1),  а также вторую систему: большой квадрат (No  7) преобразуется в меньшую
фигуру с закругленными углами (No 6).
     
     В результате подобного расположения рассматриваемых объектов выявляются
некоторые новые виды упорядоченности.  Например, согласно данным  измерений,
максимальный диаметр последовательных объектов верхнего ряда  уменьшается по
мере движения слева направо на величину, равную в точности меньшему диаметру
(т. е. ширине) фигуры No 1.  И, более того, все объекты  в обоих рядах можно
теперь  соединить между  собой  прямыми  линиями (точечными,  клеточными или
черными),   представляющими   собой   проекции   внутренней,  "естественной"
структуры объектов-элементов.
     И   все   же   данная    классификация    не   может    быть   признана
удовлетворительной. Элемент No 3,  содержащий и точечную, и клеточную линии,
не  соответствует  сколько-нибудь  естественным  образом ни  одной  из  двух
последовательностей, а  линия, соединяющая верхний  и нижний ряды,  выглядит
искусственной:   рассматриваемые    элементы   не    содержат    предпосылок
существования  столь  длинной ломаной линии (соединяющей элементы No 3 и  No
6),  как  это  постулируется  в  указанном  на  рисунке  их   гипотетическом
расположении. И наконец,  легко заметить, что несколько элементов  не  могут
быть   расположены    вертикально,    поскольку    полосы   в    них    идут
горизонтально{36г}.   Данная   гипотеза   не   предполагает   сколько-нибудь
упорядоченной  связи  между  элементами,  и  все  же,   как  ни  плоха  наша
классификация (мы не знаем, можно ли считать ее ошибочной), она обнаруживает
некоторые неожиданные закономерности.
     Но  вот  следующий  наблюдатель,  намереваясь  внести  больше  порядка,
разместил все элементы в одну линию.
     
     Эта  картина,  пожалуй,  несколько  проще.  Прежде   всего  соблюдается
естественный  порядок номеров от 1 до 7. Но один элемент, а именно No 3, все
еще   создает  некоторый   беспорядок,  номера   элементов   по-прежнему  не
расположены  строго  вертикально, соединяющие  линии все еще  содержат чисто
гипотетические  изгибы (существование которых ни в коей  мере не вытекает из
наблюдаемых  свойств самих элементов), а внезапное несоответствие размера  и
формы элементов No 5 и No 6 выглядит искусственным.
     И  тогда  третий наблюдатель классифицирует рассматриваемые элементы по
совершенно новой системе, располагая их все в виде буквы Y.
     
     Такая   классификация   имеет   очевидные   преимущества   перед  всеми
остальными.  Она  соединяет  и  упорядочивает  все  семь элементов  наиболее
простым   способом,   используя   минимальное  количество  идеально   прямых
соединительных линий (допущений), причем все  они соответствуют естественной
структуре самих элементов.
     В  этом  случае гипотеза становится  теорией,  в  особенности если  она
обладает предсказательной силой. Последняя  могла бы проявиться, например, в
следующем: вполне можно было бы  ожидать, что, изучая область, лежащую влево
от элемента No 1, мы обнаружили бы еще  меньшие  по размеру эллипсы с черной
полосой или что в  правом верхнем углу  от  элемента No  5 появились бы  еще
более крупные круги с точечными и черными линиями.
     Если   теория   получает  подтверждение  такого  рода,  то   она  может
способствовать  формулированию  новых  гипотез.  Так появляется  возможность
предположить,  что  все  рассматриваемые  элементы  имеют  общий  "порядок",
располагаясь слева  от  элемента  No  1  (теория эволюции),  или же  что все
элементы проявляют  тенденцию  к  упрощению - превращению во  все меньшие по
размеру эллипсы  с  единственной черной  полосой  наподобие  элемента  No  1
(теория  развития  в  сторону  упрощения). Как  и для  любой  чистой  теории
классификации,  подтверждением   нашей   теории   могут  служить   лишь   те
закономерности, которые она создает, включая и способность  ее предсказывать
будущие   закономерности   (например,   где   следует    ожидать   появления
дополнительных элементов и каких  именно). Данная теория  не  делает попыток
вскрыть  причинно-следственные  отношения   между  элементами,  однако   она
обеспечивает основание для этого шага, который, как правило, предпринимается
на  более  поздних  стадиях исследования. Сама по себе  упорядоченность  уже
предсказывает  наличие  причинно-следственных  связей.  К  примеру, если мы,
изучая явления Природы, заметили, что те или иные  элементы  организованы по
принципу уже известной нам Y-образной модели, мы  могли бы  ожидать, что под
действием  некоторых  локальных  факторов  в  направлении  ветвей  фигуры  Y
появились черные, точечные или клеточные линии. В  то же время можно было бы
также  ожидать, что  наличие  во  внутренней структуре таких линий заставило
рассматриваемые элементы принять Y-образную форму.
     Для   больщей  очевидности  приведем  реальную   биологическую  задачу.
Исследователей  давно интересовал  вопрос: как  связаны  между собой  кости,
хрящи и  соединительные  ткани? При  изучении  под микроскопом  самых разных
взятых  наугад  участков  скелетной структуры  будут  видны  следующие  типы
клеток:
     
     Строение  этих  клеток явно  имеет  некоторые общие характеристики: все
они, в  частности, содержат центральное ядро темного цвета. Однако  во  всех
иных  отношениях  они  полностью  различны:  одни клетки  маленькие,  другие
большие, одни изолированы,  другие  образуют  группы; оболочка одних  клеток
гладкая, а другие имеют ответвления или  заключены в плотные  капсулы. Такое
отсутствие упорядоченности способно ввести в  заблуждение, и для преодоления
его нет  иного  пути,  кроме  как  осуществить исследования, которые в итоге
позволили бы провести классификацию всех этих типов клеток так, как показано
на следующем рисунке:
     
     По  мере  движения  слева  направо   мы   прежде  всего  отмечаем,  что
"недифференцируемые"  клетки  соединительной ткани увеличиваются  в  размере
вплоть до  третьей стадии (середина  Y-образной структуры), после чего число
их  увеличивается путем деления, и они  становятся дифференцированными: либо
закругленными  инкапсулированными  клетками  хряща  (верхняя   ветвь),  либо
клетками  костей - удлиненными и узкими, с развитыми  ответвлениями  (нижняя
ветвь).  И  наконец,  по  мере  продвижения  к  концам  ветвей,  на  которых
изображено по четыре клетки, мы наблюдаем под микроскопом типичные полностью
развитые клетки хряща (верхняя ветвь) или костей (нижняя ветвь).
     Подтверждением   гипотезы,   на   основании   которой   была   получена
классификация, служат: 1) итоговая упорядоченность рассматриваемых элементов
(непрерывность их переходных стадий развития при движении слева направо); 2)
способность к прогнозированию (на каком бы участке ни были обнаружены клетки
хряща  или  костей,  всегда  имеется  возможность указать  предшествующие им
недифференцированные клетки соединительной ткани); 3) плодотворная гипотеза,
являющаяся    следствием   имеющейся   упорядоченности   (эволюция    клеток
соединительной ткани в клетки хряща или костей, роль местных факторов в этой
трансформации). Такие гипотезы становятся теориями в том случае, если  путем
непосредственных наблюдений  удается доказать, что подобная  эволюция  может
иметь  место и что  вызывать ее  способны локальные (например,  химические и
механические) факторы.
     Эти  два  примера  (один абстрактный, а  другой конкретный) показывают,
какую помощь  способна  оказать  простая  классификация  при  формулировании
теории,   выявляющей   закономерности    и    обладающей   способностью    к
прогнозированию.  Однако  большинство полезных биологических  теорий связаны
непосредственно с причинностью.




     Одних наблюдений над явлениями Природы явно недостаточно, чтобы вскрыть
причинно-следственные  связи.  Последние могут  быть выведены  исключительно
путем  анализа закономерных  связей между конкретными физическими событиями,
относящимися к прошлому и будущему.
     Если  бы  в  биологии  удалось выделить  логически строгие элементы, то
построение  теорий причинности могло бы превратиться в  стандартный процесс,
осуществляемый  математическими  методами.  Основы  такого метода изложены в
классическом  труде  Дж.  Буля  "Исследование законов  мышления" [3]. Данная
работа  исходит  из   допущения,   что   алгебра  символических   процессов,
разработанная Дж. Будем в качестве инструментария для выполнения вычислений,
окажется  достаточно адекватной и  для  выражения любых  мыслительных актов.
Так, в работе Дж. Вуджера "Техника построения теории" [38] каждое наблюдение
и  каждый   акт  рассуждения  обозначены  простым  символом;   в  результате
правильность  того  или  иного  вывода  может быть  проверена путем движения
вспять по цепочке,  составленной из предшествующих и последующих событий, на
которые  опирается этот вывод.  Подобный анализ  законов мышления средствами
символической логики является одним  из  величайших достижений человеческого
интеллекта. И  тем не менее, как  я  уже неоднократно отмечал,  применимость
таких   методов   в  биологии  чрезвычайно   ограниченна,   поскольку  между
биологическими элементами невозможно установить четкие  границы. Обозначение
их  посредством  символов  ведет к неоднозначности и, как  ни парадоксально,
создает ложное  впечатление точности и определенности. В результате мы порой
забываем,  что вывод, верный с точки зрения символических преобразований, не
обязательно распространяется на объекты, обозначенные с помощью символов.
     Простая  система  символов  способствует  пониманию методов  построения
теорий  причинности.  Однако  мы  ни  на  минуту  не  должны  забывать,  что
использованные символы - как и слова человеческого языка - достоверны лишь в
статистическом смысле. Слово "собака" может служить символом имеющихся у нас
представлений о  собаках  не  потому,  что все собаки абсолютно тождественны
(это означало бы, что  все сказанное об одной  собаке  истинно и в отношении
других  собак), а потому, что большинство собак  во многих отношениях сходны
между  собой.  Следовательно  - и  это  статистически вероятно,- все данные,
полученные при изучении одной собаки (или, еще лучше, многих собак), верны и
для большинства других особей этого вида (разд. "Принцип аналогии", с. 240).
     Всестороннее  обсуждение философских  аспектов причинности  в  связи  с
принципом  неопределенности Гейзенберга не входит в задачу этой  книги. Но с
каких бы позиций ни понималась причинность, без тех или иных предположений о
причинных  связях  между предшествующими событиями  и последующими событиями
научные исследования как таковые были бы невозможны. Человеческий разум не в
состоянии охватить сложные явления и  оперировать ими, если составляющие  их
части не связаны между  собой  отношениями  причинности. Первостепенная цель
науки - упорядочение и упрощение. Просто распознавать бесчисленные природные
явления  бесполезно,  если  мы не способны в случае  необходимости  мысленно
воссоздать их, пройдя сквозь лабиринт всех возможных связей.
     Ариадна, дочь критского  царя Миноса, влюбилась в  Тесея. Чтобы  помочь
ему выйти из  лабиринта, где он  убил  Минотавра, она дала ему клубок ниток.
Даже если причинность способствует  пониманию связи между явлениями в той же
степени, как и  нить  Ариадны, мы без ее помощи не смогли  бы  выбраться  из
лабиринта  бесчисленных  связей, так  же  как  Тесей  из  своего  лабиринта.
Возможно,  причинность - не более чем  свойственная  нашему  разуму привычка
связывать постоянно повторяющиеся  события  отношением причина -  следствие.
Биолога  же не  так  беспокоит эпистемологическое обоснование  этого способа
мышления, как связанные с ним опасности ошибок.
     В  следующем  разделе,  "Заблуждения",  мы   проанализируем  допущенные
биологами ошибки, связанные с неумением различать post hoc ("после этого") и
propter hoc ("вследствие этого").  Приведу  в этой связи любопытный,  хотя и
вымышленный пример, который я услышал  несколько лет назад от одного из моих
студентов.  Жители  Марса  наблюдают  за жителями  Земли  с  помощью  мощных
телескопов.  Они  видят,  что   на   красный  свет   светофора  все   машины
останавливаются,  а  когда  загорается  зеленый,  они начинают движение. Ряд
ученых-марсиан  пришли  к  выводу,  что хотя  машины  землян  очень мощные и
скоростные, тем не  менее красный свет действует на них  парализующе. Однако
вскоре эта версия подверглась  нападкам со стороны ученых, утверждавших, что
именно  зеленый  свет   вызывает   движение  машин.   И   вот   теперь   все
астрономические  исследования  марсиан  направлены  на то,  чтобы определить
временные соотношения между  изменением света  и движением машин и выяснить,
таким  образом, что  есть  причина, а что - следствие. В действительности же
никакой причинной связи между цветом светофора и функционированием двигателя
автомашины не существует... или нам следует признать, что она есть,. хотя бы
косвенно?




     Природа, насколько может, говорит нам явную ложь.
     Чарльз Дарвин

     В логике заблуждения, как  правило, делятся  на материальные (ошибочное
утверждение  о  каком-либо   факте),   вербальные  (неправильное  применение
терминов) и  логические,  или формальные (некорректное выведение следствия).
Согласно известной классификации, предпринятой Аристотелем  в  "Органоне", а
именно в работе "О софистических опровержениях", существует восемь  основных
типов заблуждений{37}.
     1. От привходящего--когда привходящий  факт принимается за существенный
(например, данный гормон белый, вывод - все гормоны белые).
     2.   Secundum   quid   ("следует    из    общего".--лат.)-    ошибочное
распространение  общего  правила на  частный случай, и  наоборот, без  учета
изменяющихся  обстоятельств  (например,  если  стресс  вызывает  дегенерацию
вилочковой  железы, то у  крысы  с удаленными  надпочечниками стресс  должен
повлечь за  собой такую же дегенерацию. На самом деле стресс воздействует на
вилочковую железу  через надпочечники, поэтому его действие  блокируется при
их удалении).
     3.  Неверные заключения - особый  способ убеждения  за  счет отвлечения
внимания  на какой-либо  посторонний факт  (например, вместо  доказательства
ложности теории--нападки на ее приверженцев).
     4. Предрешение  основания  - выдвижение в качестве доказательства того,
что  само  требует  доказательства,  выбор  таких посылок,  которые  заранее
предопределяют  вывод еще не доказанных посылок  (например, отрицание довода
на том основании, что он "ненаучен", что также нужно доказать).
     5.  Ошибка  следования -  рассуждение от последовавшего  события  к его
условию  (например,  удаление   паращитовидной   железы  вызывает  судороги,
следовательно,  судороги  указывают  на  отсутствие  гормона  паращитовидной
железы).
     6. Non sequitur ("не  следует"--лат.)--обоснование заключения исходя из
недостаточного или ложного факта (например, холод является стрессором, холод
вызывает  дрожь, следовательно, дрожь  является неспецифическим  проявлением
действия всех стрессоров).
     7.  Post  hoc  ergo  propter  hoc  ("после  этого - значит,  по причине
этого"--лат.)--если  изменение  появляется   после  воздействия  какого-либо
фактора,  оно   должно  быть  обусловлено  этим  фактором  (например,   если
эксперимент  удался весной, но не  удался осенью, его успех зависит от смены
времен года).
     8.  Ошибка  совмещения множества  вопросов  - когда несколько  вопросов
неправомерно  объединяются в один (например: "Почему кортизон является самым
полезным  из  всех кортикоидов?" В данном  случае  утверждение  о полезности
кортизона вводится "контрабандой" как доказанный факт).
     Такая  систематизация  всех  возможных ошибок,  сводящая их  в конечное
количество  групп,  весьма  соблазнительна,  но  она сама таит в себе  явную
ошибку: кроме того что  группы взаимно  перекрывают друг друга, сама по себе
классификация  ошибочных  толкований и  их наименование  мало  чем  помогают
ученому в его повседневной работе. Клод Бернар заканчивает свой классический
труд "Введение в изучение экспериментальной медицины" словами:  "Когда такие
философы, как Бэкон или же более близкие к нам по времени, предлагали  общую
систематизацию  правил научного исследования,  это было очень заманчиво  для
всех, кто знаком с наукой лишь издали,  но для опытных  ученых, так же как и
для  тех, кто намеревается  посвятить себя науке, такие  предложения  лишены
смысла, ибо, подразумевая в вещах ложную простоту, они вводят в заблуждение;
кроме  того,  они  обременяют  ум  массой  туманных и  ненужных предписаний,
которые  следовало бы поскорее забыть всякому, кто  хочет всерьез заниматься
наукой и стать настоящим экспериментатором" ( 1895).
     И  тем не менее логические ловушки подстерегают ученого на каждом шагу,
и мне хотелось бы предостеречь его от наиболее типичных из них.
     Я  не претендую на то, что сумею дать такую классификацию  заблуждений,
где  они  не будут  перекрывать друг друга и где  БУДЕТ дан их исчерпывающий
перечень. Просто я хочу описать те ловушки, в  которые я лично  попадал  или
чуть  не  попал.  Как  говорят  французы,  "L`homme  averti  en  vaut  deux"
("Предупрежденный стоит двоих").
     Заранее  оговорюсь,  если  эти  заметки  попадут в  руки читателя, мало
знакомого  с  моей областью  интересов, я  бы посоветовал ему  просто  бегло
просмотреть последующие  страницы  или же  перевернуть  их,  ибо обдумывание
способов  преодоления  ловушек  потребует  определенных  усилий.  Я  мог  бы
придумать  нужные мне примеры, но если уж  эти записки и обладают каким-либо
достоинством в  сравнении с  привычными теоретическими работами по логике  и
психологии, то как раз  тем, что они целиком основаны на личном опыте. Как я
уже  говорил, в высшей степени абстрактные  законы мышления мало применимы к
нуждам  практической  научной работы. В отличие от них  способы  преодоления
типичных ловушек, использованные в конкретной  области  исследования, вполне
можно распространить на другие сферы знания и даже на повседневную жизнь.
     Поразительной характеристикой ошибок, которые  совершали  даже наиболее
выдающиеся ученые,  является их наивность. И все же мои примеры реальны. Все
они  взяты  из истории биологии  и  действительно были  совершены.  опытными
профессиональными  учеными. Большинство из этих ошибок объясняется тем, что,
когда   мы  смотрим  на  предмет   с  определенной  точки  зрения,   у   нас
вырабатываются   определенные   психологические   преграды,   препятствующие
восприятию  этого  предмета  в  другом  ракурсе. Наше  понимание  зависит от
прошлого опыта, но  в той  же  степени, в  какой  наши воспоминания помогают
мыслительному  процессу,  они  могут  и  тормозить  его.  В  нашем  сознании
образуются "белые пятна". Все  необычное мы воспринимаем как  невероятное, в
то  время  как именно необычное  и  является  богатейшим  источником великих
открытий.



     Это наиболее распространенная ошибка в  биологических экспериментальных
исследованиях.  Каждый   знает,  что   если  мы  хотим  изучить   какое-либо
воздействие,  то  для  сравнения  нам  необходимы  контрольные  объекты,  не
подвергавшиеся  этому  воздействию.  Однако  в  реальных  экспериментах  для
обеспечения осмысленных границ сравнения  могут понадобиться и  другие формы
контроля.  Например,  если  мы  хотим  установить   специфическое   действие
вводимого  путем  инъекции препарата, то соответственно контрольным объектом
будет не  такое животное, которому  не  делали инъекций, а  такое,  которому
сделали аналогичные инъекции вещества - растворителя препарата, исследуемого
на   экспериментальном    животном.   Таким   образом    устраняются   любые
неспецифические воздействия  как  раствора, так и самой процедуры  инъекции,
которые являются потенциальным источником ошибок.
     Необходимость  подобных  видов  контроля,   как  правило,  не  вызывает
сомнений, а вот более скрытые источники  ошибок  нередко упускаются из виду.
Например, если испытываемый препарат является мочегонным, обезболивающим или
просто   высокотоксичным   веществом,   необходимо    провести   контрольные
воздействия,  вызывающие   равнозначные   мочегонный,   обезболивающий   или
токсический эффекты, прежде чем наблюдаемое изменение можно будет  приписать
изучаемому препарату как специфическое.
     Я особенно остро осознаю потребность в контроле такого типа, ибо берусь
утверждать,  что без него концепция стресса  никогда  бы не возникла.  Когда
проводимые  нами  инъекции формальдегида вызвали гипертрофию надпочечников и
атрофию  тимуса,  было слишком  соблазнительно  заключить, что  эти  эффекты
обусловлены формальдегидом. На  самом деле все было и так, и не  так. Верно,
что  формальдегид  вызывает  названные  изменения,  но  такие  же  изменения
вызывает  и  ряд  других факторов,  таких,  как атрофии,  морфин, адреналин,
холод, жара  и  любой другой  стрессор.  Поэтому  утверждение,  из  которого
следовало бы, что гипертрофия надпочечников и атрофия вилочковой железы суть
характерные  результаты  действия формальдегида,  подобно тому как анестезия
является типичным результатом действия эфира,  было бы  ошибочным. Мы  знаем
теперь,  что  стресс,  вызванный формальдегидом - точно  так  же как и любым
другим фактором,- приводит к увеличению надпочечников и к атрофии тимуса. Но
для  того  чтобы  подтвердить  такую  формулировку,  нам  пришлось  провести
огромное множество контрольных опытов, в том  числе показать,  что различные
факторы,  во  всех  прочих   отношениях  не   связанные   с   формальдегидом
(воздействие  других препаратов,  травмы,  изменения  температуры), вызывают
такие  же  изменения  и  что формальдегид  обусловливает их  пропорционально
другим своим воздействиям в качестве стрессора.



     Мы  так привыкли к тому, что большие дозы  эффективнее малых,  что  наш
разум  плохо  подготовлен  к  восприятию  наблюдений,  противоречащих  этому
правилу. Нередко исследователь, потерпевший неудачу  при попытке подтвердить
результаты работы своего коллеги,  с жаром  заявляет, что он не смог сделать
этого, "хотя"  и  применял  дозы,  во  много раз  превосходящие  те, которые
использовались его предшественником.
     Некоторое время  назад  нам  удалось  обнаружить, что  мужской  половой
гормон, тестостерон, вызывает  атрофию  надпочечников.  Это  положение  было
оспорено  другими  исследователями - они  не получили такого  же  изменения,
"хотя"  вводили в  несколько  раз большее  количество тестостерона,  чем мы.
Повторение этих экспериментов  показало, что наблюдения наших  критиков были
верными. Но столь же  верными были  и  наши. Специфическое воздействие этого
соединения состоит в  том,  что в  малых  дозах тестостерон вызывает атрофию
надпочечников, в то время как его большие дозы обусловливают их гипертрофию.
По-видимому,  воздействие тестостерона в качестве стрессора пересиливает его
специфическое   воздействие   в   качестве   гормона,   ведущее   к  атрофии
надпочечников. Именно эта  работа  впервые  привлекла наше внимание  к очень
распространенному  в  фармакологии   явлению,   которое  мы  назвали  "закон
пересекающихся кривых  "доза  -  эффект"".  В рамках  этого  закона получили
объяснение многие очевидные парадоксы фармакологии.
     В эндокринологии принято  считать, что, если неочищенная вытяжка железы
может  быть  разделена  на  две  фракции, обладающие  качественно  различным
действием,   то  это   служит  доказательством   того,   что  первоначальный
неочищенный препарат содержал две активные составляющие, которые различались
по химическому составу  и которые теперь отделены друг от друга. В отношении
таких желез (как, например,  гипофиз  и плацента), вырабатывающих  различные
гормоны, эта аксиома была и продолжает оставаться  основой каждой дискуссии,
касающейся  предполагаемого открытия новых гормонов. И при всем  при том она
ложна, и вот каким образом мы это доказали.
     Если приготовить раствор, содержащий в определенной пропорции  (скажем,
1:1) два химически чистых,  но фармакологически  антагонистических  гормона,
то, давая один  и тот же раствор в малых и  больших дозах, мы можем получить
качественно  различные  (а  иногда и диаметрально  противоположные) эффекты.
Давно известно,  к  примеру,  что фолликулоид  или  "эстрогенное" соединение
(например, эстрадиол)  вызывает  у крыс ороговение влагалища, в то время как
соединение  желтого  тела  (например, прогестерон)  - выделение  слизи. Если
малые дозы эстрадиола, как раз достаточные, чтобы вызвать ороговение, даются
совместно  с  высокими  дозами  прогестерона,  эффект  ороговения  полностью
устраняется  вторым  соединением и  влагалище начинает  выделять  слизь.  Мы
показали, впрочем, что  раствор, содержащий в фиксированной пропорции  смесь
эстрадиола и прогестерона, в низких дозах вызывает ороговение, а в высоких -
выделение   слизи.  По-видимому,  очень  малые   дозы  эстрадиола   способны
производить  практически максимальный  эффект, который не устраняется малыми
дозами прогестерона.  Но по мере  того как дозы обоих соединений возрастают,
блокирующее действие прогестерона постепенно начинает преобладать, поскольку
интенсивность его  продолжает возрастать по мере увеличения дозы, в то время
как противоположное действие эстрадиола не усиливается.
     Чтобы   продемонстрировать   широкую   применимость   этой   концепции,
рассмотрим еще один пример из другой области эндокринологии. Хорошо известно
что у крыс с  удаленными надпочечниками развитие экспериментально вызванного
воспаления    может    быть    приостановлено    с    помощью    обладающего
антивоспалительным  действием кортикоида  (например,  кортизола) и что такое
ингибирование   воспалительного   процесса   в   свою   очередь  блокируется
способствующим воспалению  гормоном (например, дезоксикортикостеронацетатом,
или  ДКА). Однако  можно  приготовить смесь,  содержащую оба  этих гормона в
некоей заданной пропорции, и  тогда ее малое количество будет стимулировать,
а  большое  ингибировать  воспаление.  Действительно, если  теперь разбавить
часть  этого  раствора,  то  воспалительному действию  разведенного раствора
можно  воспрепятствовать  одновременным  введением более  концентрированного
исходного    раствора.   Это   явление   опять-таки   объясняется    законом
пересекающихся кривых "доза - эффект", как это показано на рисунке.
     
     Заметим, что эффект действия ДКА резко возрастает,  но быстро достигает
постоянного  уровня  при  величине дозы, обозначенной  "1".  Эффект действия
кортизола  возрастает  медленнее,  но  в итоге достигает  значительно  более
высокого плато  при  дозе "2". Эти кривые подходят  также и для  иллюстрации
ранее упомянутого антагонизма между  эстрадиолом и прогестероном, с той лишь
разницей,  что  при  этом  "мишенью" является  не воспаление,  а  ороговение
влагалища.
     Следует  помнить,  что  закон  пересекающихся  кривых "доза  -  эффект"
обусловлен  не   взаимной   химической  нейтрализацией  двух  соединений,  а
противодействующими взаимосвязями между двумя фармакологическими свойствами.
Вот  почему  он  может проявляться даже  в различных дозах одного и того  же
соединения,  если  последнее  обладает  двумя  независимыми  и  потенциально
антагонистическими  фармакологическими  свойствами. Тестостерон  как  раз  и
является  таким соединением, поскольку он вызывает ороговение  влагалища при
низких дозах и выделение  слизи - при высоких.  Мы также видели, что в  силу
аналогичных причин тестостерон вызывает атрофию надпочечников при  низких, а
гипертрофию - при высоких дозах.
     Из сказанного может сложиться  впечатление,  что явление пересекающихся
кривых "доза - эффект" способно ввести  в  заблуждение только в  том случае,
если  фармакологические  свойства одного  препарата  противоречат  свойствам
другого. В действительности же  это явление может даже порождать качественно
новые   эффекты.  Например,  как  видно  из   вышеприведенного  рисунка,  ни
воспалительные,  ни  противовоспалительные  свойства  кортикоидной  смеси не
являются  однозначными в  точке пересечения; таким образом, одно из действий
этой смеси  избирательно устраняется  из  общей картины.  А поскольку другие
свойства  ДКА  и  кортизола не являются  взаимно противоречивыми  (например,
согласно  рисунку,  влияние  кортизола  на  отложение гликогена  в печени не
подавляется ДКА ни при каких  дозах), постольку их другие  действия (скажем,
поддержание кортикоидами жизнеспособности при недостаточности надпочечников)
взаимно  усиливаются.  Легко  представить себе,  что исследователь,  имеющий
несколько  пробирок,  содержащих только  эти два стероида  в одной и  той же
пропорции, но с различной концентрацией раствора, может прийти к заключению,
что во всех пробирках  содержатся совершенно различные гормоны в чистом виде
или по крайней мере ряд гормонов в различных пропорциях.
     Я рассмотрел явление  пересекающихся  кривых  "доза -  эффект" довольно
подробно, поскольку оно представляет собой наиболее распространенную причину
ошибок в  тех  областях  науки,  которыми  я  занимаюсь,-  эндокринологии  и
исследовании стресса.



     Аналогичная проблема возникает  в том случае, когда  различные действия
одного и того же фактора проявляются не одновременно.
     Приведем   пример   из   наших  исследований   по  стрессу   и   общему
адаптационному  синдрому. Переход между  тремя типичными  стадиями  синдрома
(реакция  тревоги,  стадия  устойчивости  и  стадия  истощения)  не  резкий:
наблюдается некоторая размытость  границ и  определенные признаки проявления
двух стадий. Справедливость сказанного не зависит от  того, каким стрессором
вызван синдром, поэтому нижеприведенный рисунок может послужить иллюстрацией
расходящихся кривых "время - эффект" при стрессе вообще.
     
     Мы видим, что  кривые, описывающие  соответственно  тенденцию к  отеку,
липиды надпочечников,  устойчивость к стрессу и вес  тимуса, не пересекаются
одновременно при  смене стадии реакции тревоги стадией устойчивости  и затем
стадией истощения. Это  объясняется различной  степенью  "инерции" у  разных
"мишеней" стресса.
     Очевидно, если любой агент вызывает  такие расходящиеся кривые "время -
эффект" в разных "мишенях",  то общий вид реакции может оказаться совершенно
различным в  двух  экспериментах  просто  потому, что  они были закончены  и
подвергнуты анализу в разное время. Разумеется, степень развития синдрома  в
целом к данному моменту  времени зависит также от множества прочих факторов,
которые  нелегко  контролировать  и даже распознавать  (например,  состояние
питания, дозировка  и скорость  поглощения  вводимого вещества  - стрессора,
влияние не поддающихся контролю загрязнений, температура окружающей среды).



     Предположим,  наблюдения  показали,  что как  стимул S,  так  и  гормон
эндокринной  железы Т  могут  действовать на "мишень"  Т1.  В  таком случае,
несомненно, теория,  утверждающая,  что только  Т способен воздействовать на
Т1, будет явно ложной. Но если проблема сформулирована именно таким образом,
весьма  соблазнительно   счесть  вышеупомянутое  утверждение  самоочевидным.
Однако оно оставляет без  внимания  возможные осложнения, обусловленные тем,
что  передача  осуществлялась через Т. Хотя  любой эндокринолог знает, что в
конечном  счете всякое стимулирующее  воздействие "гландулотропных" гормонов
гипофиза на железы передается именно таким образом, тем не менее на практике
эта ошибка весьма распространена.
     Ложность вышеприведенной и, казалось бы, не вызывающей сомнения аксиомы
становится очевидной при рассмотрении следующей схемы:
     
     Хотя, как показано  на схеме, S может очевидным  образом воздействовать
на  Т1,  однако  столь же справедливо  было бы  утверждать,  что только Т  в
состоянии воздействовать  на  Т1, поскольку S оказывает действие на конечную
"мишень" именно через эту передаточную станцию.
     В  нашем  институте  мы  столкнулись  с  данной  проблемой  с  связи  с
воспроизведением  одного  почечного  заболевания,  нефросклероза, с  помощью
метиландростендиола   (МАД).   Как   я  ранее   показал  в   систематических
экспериментах с  несколькими сотнями стероидов, нефросклероз вызывают только
те  из  них,  которые  обладают  минералокортикоидной  активностью.  Поэтому
обобщение, согласно  которому  нефросклеротическое действие  тесно связано с
минералокортикоидным эффектом, представлялось оправданным.
     Затем  один  из  моих  бывших  студентов,  Флойд  Скелтон,  опубликовал
чрезвычайно интересную статью, в  которой он показал, что МАД также вызывает
нефросклероз. Это соединение представляет собой тестоид, или мужской половой
гормон.   Оно  определенно   не  обладает   никакими   минералокортикоидными
свойствами,  более того, ему  вообще не свойственна кортикоидная активность.
Даже в химическом  отношении  оно совершенно отлично от всех  гормонов  коры
надпочечников.
     Этот   факт  интриговал  нас  в  течение  известного  времени,  пока  в
сотрудничестве с  Эрнесто Сальгадо мы  не  обнаружили, что МАД не  оказывает
нефросклеротического  действия на крыс с  удаленными надпочечниками, хотя на
его  тестоидное  действие  (стимуляция  мужских вторичных половых признаков)
удаление надпочечников не влияет.
     Таким образом, стало очевидным, что, хотя удаление надпочечников никоим
образом не препятствует действиям, характерным для МАД, оно не позволяет ему
вызывать  нефросклероз. Объяснением этому  явлению, по всей видимости, может
служить  то обстоятельство,  что  нефросклеротическое  действие МАД является
следствием  какой-то "ошибки  обмена" в  самой  коре  надпочечников; под его
влиянием клетки коры вырабатывают преимущественно минералокортикоидоподобные
гормоны.



     Эта   ошибка    нередко   вызывается   явлением,   которое   я   назвал
"обусловливание"  -  зависимостью  определенного  действия  от  изменяющихся
факторов. Здесь типичен  следующий ход рассуждений: если стимул  S действует
на  мишень  Т1  только  в присутствии  эндокринной железы Т, то  чрезвычайно
вероятно,  что S воздействует на  Т1 через Т. Еcли затем можно показать, что
гормоны железы Т действуют на Т1 (в том же смысле, в каком S воздействует на
Т1  в  присутствии  Т), то  можно считать практически  установленным,  что S
действует на Т1 через посредство Т (как показано на предыдущей схеме).
     Это заключение также ложно, как видно из следующей схемы:
     
     Очевидно,   при   данных  условиях   S   может  воздействовать   на   Т
непосредственно  по  пути  Р,  но  это  действие  может  проявиться  лишь  в
присутствии  гормонов  Т.  В  этом  случае  мы говорим,  что Р обусловливает
гормональное действие Т, но сам по себе действенным не является.
     Изучение кортикоидов дало  нам бесчисленные примеры взаимосвязей такого
типа.  Скажем,  у  крысы  с  удаленными  надпочечниками  в  отличие   от  не
подвергавшихся   этой   операции  крыс  воздействие  стрессором   (например,
формалином, холодом) не вызывает  резкой временной  дегенерации тимуса. В то
же время кортизол обусловливает дегенерацию тимуса даже у крысы с удаленными
надпочечниками и  подпороговые дозы кортизола (которые  сами по себе были бы
неэффективными)   могут  оказаться   эффективными  за   счет  одновременного
воздействия  стрессоров даже в отсутствие надпочечников. В  подобных случаях
можно  сказать, что  стрессоры обусловливают  или  повышают чувствительность
"мишени" (тимуса) к кортизолу. Практически то же самое взаимодействие  между
стрессорами   и    кортизолом   было   подтверждено   для   катаболического,
противовоспалительного и многих других действий этого стероида.
     Существует   несколько   разновидностей  этого   типа   взаимодействия.
Например,  определенная реакция Т (на предыдущей схеме) может не иметь места
ни под влиянием гормонов  железы Т, ни под влиянием стимула S, если железа Т
отсутствует.  В подобных  случаях реакция может быть все-таки  получена  при
одновременном воздействии и гормонов Т, и стимула S.
     Подходящим   примером,   с  которым  я  столкнулся   в  процессе  своей
собственной   работы  по  изучению  кортикоидов,   является  воспроизведение
почечного   поражения,  называемого  нефросклерозом,   посредством  ДКА.   У
нормальной  крысы, получающей диету с малым  содержанием натрия, практически
невозможно   вызвать  нефросклероз  с  помощью   ДКА.  Умеренное  увеличение
потребления   хлорида  натрия  само  по   себе  также  не  способно  вызвать
нефросклероз  при  данных условиях. Однако одновременное  воздействие ДКА  и
малых  добавок  в   пищу  хлорида  натрия   неминуемо  приводит  к  сильному
нефросклерозу.



     Общий  принцип  наиболее  распространенной  ошибки,   случающейся   при
"разветвлении  путей" между стимулом  и "мишенью", иллюстрируется  следующей
схемой:
     
     Предположим, что,  когда действие стимула впервые подверглось изучению,
все первоначальные исследования оказались посвященными его воздействию на Т1
Т2 и  Т3.  Большие усилия  были  затрачены на  определение того,  как именно
действует  S,  и  в   результате  для   каждой  из  трех  "мишеней"  было  с
определенностью   установлено,   что  все  действия   осуществляются   через
посредство передаточной точки Т. С течением лет способность S воздействовать
только  через Т приобрела характер классического примера и вошла в учебники.
Если теперь  обнаружится,  что  S  действует  также и  на  "мишень"  Т4,  то
искушение предположить, что и в этом случае воздействие опосредуется все той
же  передаточной  точкой, будет очень велико.  на самом деле S  все же может
осуществлять свое  воздействие напрямую. (как показано на рисунке) или через
какую-либо  передаточную точку,  отличную  от  Т,  но  к настоящему  времени
существует психологический  барьер,  препятствующий  даже рассмотрению такой
возможности.
     Мы столкнулись  с этой конкретной  проблемой в связи с нашей работой по
изучению прямого воздействия препаратов АКТГ.  Когда мы начали исследование,
считалось  общепринятым,  что АКТГ действует лишь путем стимуляции выработки
кортикоидов  надпочечниками, поскольку все его  известные эффекты могли быть
устранены удалением надпочечников. Затем оказалось, что даже самые очищенные
препараты АКТГ стимулируют препуциальные  железы  у крыс.  Эти  образования,
будучи  вторичными  половыми  признаками,  регулируются  половыми  железами.
Поэтому мы повторили свою работу на кастрированных животных, чтобы проверить
возможность   опосредования   через   половые  железы.   Подобного  действия
продемонстрировать  не удалось,  поскольку АКТГ сохранил свою активность и в
отсутствие половых желез. Поэтому мы с уверенностью предположили,  что имеем
дело  с обычным, то  есть опосредованным  надпочечниками,  действием  самого
АКТГ, а не с действием примесей, стимулирующих половые железы.
     Потребовалось  известное  время,  прежде  чем  мы  пришли  к  выводу  о
необходимости проверки того, действительно  ли это конкретное действие  АКТГ
Зависит  от присутствия  надпочечников.  В  итоге,  когда эксперименты  были
повторены на животных с удаленными  надпочечниками, мы обнаружили,  что, как
ни странно, эффект стимуляции  препуциальных  желез в отличие от всех других
известных  эффектов действия данного гормона не  устраняется этой операцией.
Таким   образом,  мы  установили,  что  сам  АКТГ  (или  какое-то  вещество,
присутствующее  даже  в  самых  очищенных  препаратах  АКТГ)   оказывает  на
надпочечники прямые  воздействия. Оглядываясь назад, осознаешь, что проверка
идеи об опосредующем действии надпочечников в общем-то элементарна. И тем не
менее ни  в одной из множество статей, описывающих  стимуляцию препуциальных
желез АКТГ,  не  было  никаких  данных об  опытах на  животных  с удаленными
надпочечниками.  Считалось  очевидным,  что  АКТГ  может  лишь стимулировать
процесс  выработки кортикоидов,  что другие возможные его действия просто не
проиходили в голову.
     К сожалению, занимаясь воспроизведением нефросклероза с помощью больших
доз СТГ, я опять  допустил ту  же  ошибку.  Бесчисленными наблюдениями  было
твердо  установлено, что СТГ  не действует посредством  надпочечников  ни на
какой ранее изученный вид  ткани. Когда мы  выяснили, что у  соответствующим
образом  сенсибилизированных  крыс  большие  дозы   СТГ  способны   вызывать
нефросклероз, вопрос о возможности опосредования надпочечниками долгое время
даже не приходил  мне в голову. В конце концов, правда, мы рассмотрели такую
возможность и обнаружили, что у животных с удаленными надпочечниками никакие
дозы СТГ  нефросклероз не вызывают. В этом отношении даже проведение терапии
с  применением  различных кортикоидов не  может компенсировать отсутствующий
надпочечник.  Очевидно,  нефросклеротическое  действие  СТГ  (или  какого-то
вещества,  неотделимого   от  СТГ  и  потому  присутствующего  во  всех  его
соединениях) опосредуется надпочечниками.
     Так  называемая  теория  обратной  связи  при  секреции  АКТГ во  время
стресса, которая  была  столь  популярна всего  лишь  несколько  лет  назад,
основывалась на том же самом заблуждении.  Сначала со  всей  определенностью
было установлено что во время реакции тревоги гипофиз выделяет АКТГ, который
в  свою  очередь  стимулирует выработку  кортикоидов.  В  то  же время  было
известно, что  кортикоиды  создают  "компенсаторную  атрофию"  надпочечников
посредством  сокращения  выделения АКТГ  гипофизом. Очевидно, здесь мы имеем
дело с механизмом  обратной  связи. С учетом всего этого соблазнительно было
предположить,  что  во.  время стресса выделение АКТГ стимулируется  тем  же
самым  механизмом,  то  есть потребление  кортикоидов  возрастает  вплоть до
возникновения состояния  функциональной  кортикоидной  недостаточности.  Эта
недостаточность может затем стать стимулом для увеличения выработки АКТГ.
     На  самом  деле   фактических   свидетельств  увеличенного  потребления
кортикоидов с последующей кортикоидной  недостаточностью на  стадии  реакции
тревоги  не   существует.  На  практике  концентрация  кортикоидов  в  крови
значительно возрастает  во время стресса. Несколько  лет назад  мы  показали
также, что даже  у животных, которым  вводились  чрезмерно  завышенные  дозы
различных  кортикоидов,  стресс  все же мог  стимулировать надпочечник.  Эти
результаты привели  нас  к  выводу о  том, что уровень  кортикоидов в  крови
регулирует   выделение   АКТГ  только   на   околофизиологических   уровнях.
Фактической предпосылкой  нормальной реакции  стресса является необходимость
хотя бы частичного выключения этого  механизма  обратной связи.  В противном
случае   не  было   бы  характерного   значительного   увеличения  выработки
кортикоидов.   Тем   не   менее   психологический   барьер,   препятствующий
рассмотрению  альтернативных  вариантов, был столь  значителен,  что  теория
"обратной связи" оставалась в ходу в течение ряда лет.



     Очевидно, что многие проблемы, которые мы до сих пор  рассматривали под
разными названиями,  в определенной степени перекрывают друг друга. Впрочем,
как я уже  говорил, я  описывал эти заблуждения  не столько для того,  чтобы
дать  их четкую классификацию,  сколько для того, чтобы представить их в том
виде,  в каком они  сами себя обычно  проявляют.  Избегать подобных  ловушек
будет значительно проще, если познакомиться с их способами маскировки.
     К  примеру,  та  заслуживающая  особого внимания  мыслительная  ошибка,
которую  у  себя  в  лаборатории мы  называем "дутый  авторитет  обобщающего
названия",  до известной степени перекрывается  ошибками "разветвляющихся" и
"альтернативных путей".  Мне все же кажется, что было бы  неплохо специально
ее  рассмотреть и  соотнести с  тем,  какое  значение  приобретает  проблема
обобщающих  названий.  Ибо  не секрет,  что  слишком  часто непосредственным
источником   ошибки   фактически  является  сам  используемый   термин.  Для
иллюстрации используем следующую схему:
     
     Рассматриваемая  "мишень" (изображенная в  виде  столбчатой структуры в
центре  рисунка)  обладает  рядом   общих  характеристик.  Это  единственная
причина, по  которой  мы  может  пользоваться единым  обобщающим  названием,
скажем "Т-столбик", вместо того чтобы всякий раз перечислять все  его части,
от Т1 до  Т8.  Такие  общие  характеристики  не  обязательно обусловливаются
анатомическим сходством частей,  они могут иметь чисто функциональную основу
(скажем,  почти   повсеместно  встречающиеся  клетки  ретикулоэндотелиальной
системы тем не менее реагируют как единое целое).
     Подобные  обобщающие  названия  удобны,  но  они  могут  и  вводить   в
заблуждение. На примере  нашей схематической модели  предположим, что  некий
исследователь доказал путем  наблюдения семи составляющих Т-столбик  частей,
что S стимулирует развитие Т-столбика при воздействии на части Т1 - Т7, а S1
препятствует такому развитию при  воздействии  на части Т2 - Т7. Предположим
далее, что к тому времени, как он получил эти результаты, его запас стимулов
S1 исчерпался. В подобном случае велико искушение заявить,  что, конечно же,
действия и S, и S1 на Т1 и Т8 также будут взаимно нейтрализовать друг друга.
Дело  в том, что  мы  привыкли думать об S  как о единственном стимулирующем
факторе  (широкая общая  часть стрелок  на  рисунке  слева), а об  S1--как о
единственном препятствующем факторе, или ингибиторе (гребенчатая общая часть
стрелок справа). На самом же деле, если рассмотреть схему более внимательно,
то окажется, что как S, так и S1 действуют на Т1 стимулирующим образом, в то
время как на Т8 S оказывает стимулирующее влияние, а S1 - вообще никакого. В
данном случае использование трех обобщающих названий (и  понятий), а именно:
S как стимулятора,  S1 как ингибитора и Т как "мишени", оправданно и удобно.
Но  при  этом данные  общие  обозначения сами  по  себе  становятся  главной
причиной  того  психологического  барьера, который мешает  видеть  возможные
исключения, имеющие место в отдельных точках (а именно в Т1 и Т8).
     В  качестве реального примера возьмем  первичные  и  вторичные  мужские
половые признаки. Они  представляют  собой  составную мишень, включающую ряд
совершенно различных в структурном отношении  тканей  (семенники и  борода у
человека, рога у оленя, гребень у петуха  и т.  п.).  Мы называем  их единым
обобщающим  названием  "мужские половые  признаки",  поскольку,  несмотря на
различия в их внешнем виде, функциях и расположении, они характерным образом
развиты  у особей мужского, а не женского пола. Далее, эти признаки  в целом
подвержены  стимулирующему влиянию тестоидных "мужских"  гормонов (например,
тестостерона) и ингибируются фолликулоидными "женскими" гормонами (например,
эстрадиолом).  Это в свою очередь  приводит нас к мысли о том, что точно так
же  целая  группа  других  мужских   гормонов   действует  как   стимуляторы
(андростерон, метилтестостерон), а женские гормоны (эстрон, эстрадиол) - как
ингибиторы.   Рост  петушиного   гребня   и  в  самом   деле   стимулируется
тестостероном,   андростероном   и   метилтестостероном,   а    сдерживается
эстрадиолом,   эстроном  и   эстриолом.   После  того   как   при   изучении
многочисленных других  мужских  половых  признаков  было  отмечено  подобное
взаимное противодействие, понятие гормонального антагонизма в  половой сфере
настолько  прочно  укоренилось  в  нашем  сознании,   что   мы  не  замечаем
исключения. А ведь  молочные железы  самца крысы стимулируются обоими типами
гормонов, в  то время как препуциальные железы стимулируются  тестоидами, но
не подвержены ингибирующему влиянию фолликулоидов.
     Выявление  подобных  исключений неизбежно  побуждает некоторых критиков
оспаривать  разумность  использования  обобщающих названий  для  совместного
рассмотрения различных частей изучаемой  "мишени" или для всего разнообразия
индивидуальных  действий стимулов. Подобный  критический настрой  совершенно
неоправдан. Если  судить  по  рассмотренному выше примеру, то обходиться без
понятия  "мужские  половые  признаки"  или  же  "мужские  гормоны"  было  бы
неудобно,   несмотря  на  исключительное,   необычное  поведение   некоторых
составных  частей,  к  объединению  которых  тяготеет  обобщающее  название.
Очевидно,  было  бы невозможно, скажем, перечислить  все известные (а вообще
говоря, и  все еще не  открытые) мужские  гормоны каждый раз, когда мы хотим
сказать,  что  определенный орган  стимулируется  не  только  тестостероном,
метилтестостероном и андростероном, но и, насколько известно, всеми мужскими
гормонами. Так уж устроен человеческий  мозг, что в  мыслительных  процессах
почти всегда  используются символы,  которые  действуют  в  качестве кратких
обозначений целых  классов  родственных  сущностей. В  противном  случае  мы
погрязли бы в массе деталей, с которыми нам приходится иметь дело.  Решение,
сотоит  не в том, чтобы отказаться от обобщающих  названий, а в  том,  чтобы
понять их ограничения и  не наделять абсолютным авторитетом, которым они  не
обладают. Хорошее обобщающее название сослужит нам добрую службу, но лишь  в
том  случае,  если  мы осознаем, что  оно  относится  к  исходным,  но не  к
идентичным вещам.
     В  процессе моей собственной работы по изучению коры надпочечников  мне
пришлось  столкнуться   с  несколько  иной   проблемой.  Предлагая   термины
"минералокортикоид" и  "глюкокортикоид" для двух основных  классов  жизненно
важных   эффектов  гормонов  коры   надпочечников,  я  настойчиво  стремился
подчеркнуть, что одно и то же химическое соединение может проявлять оба вида
активности,  хотя  и  в  разной  степени.  Таким  образом,  этими  терминами
предполагалось обозначать эффекты, а не химические соединения.
     Обширные  экспериментальные  данные впоследствии подтвердили тот  факт,
что эти эффекты не  одинаковы и во многих отношениях взаимно противоположны.
К   тому  времени   удобства  ради  стало  обычным  делом  применять  термин
"минералокортикоиды" или "глюкокортикоиды", если  соответствующие соединения
проявляли  активность   преимущественно   одного  или  другого   типа.  Это,
несомненно,   оправдано   и   согласуется   с   общепринятым   употреблением
эндокринологической терминологии. Никто не усомнится в разумности  называния
кортизона  "кортикоидом", хотя он  и  обладает  небольшим  маскулинизирующим
действием  (способствует   росту  волосяного  покрова  -   так   называемому
гирсутизму),  и  точно  так  же  никто не  станет  отвергать  в применении к
кортизону   термин    "мужской    гормон",   поскольку   кортизон   обладает
соответствующим  действием.  Тем не менее за прошедшие годы более пятидесяти
авторов  заявили,   что  разделение  между  минерале-  и   глюкокортикоидами
недопустимо,  поскольку  для  некоторых   соединений  характерны  оба   этих
действия. Тот факт,  что  наша классификация была  почти  единодушно принята
большинством исследователей, совершенно ясно показывает,  насколько полезны,
а  может  быть  даже и незаменимы,  такие обобщающие  названия; следует лишь
иметь  в виду, что входящие  в один и тот  же класс  объекты похожи,  но  не
идентичны.
     Другая  ошибка   экстраполяции,  которая  не   так  давно  появилась  в
публикациях,  основывалась  на  следующем рассуждении:  резерпин выводит  из
сердца  катехоламины  и  в  то  же  время  предохраняет  от  некоторых  форм
кардионекроза. Значит, кардионекрозы зависят от  присутствия катехоламинов в
сердце.  на самом  же  деле  предварительное  воздействие  любого  стрессора
препятствует   возникновению  этих  кардионекрозов,  а  резерпин   -  мощный
стрессор.  При этом  специфичность  действия  резерпина  и  его  влияние  на
сердечные катехоламины никогда не испытывались.
     Возможно, наиболее распространенная из совершаемых ошибок экстраполяции
состоит в неправомерном  предположении, что, зная эффективную дозу препарата
на  килограмм  живой  ткани  одного  вида  животных,  можно определять дозу,
необходимую   для  создания   аналогичного  эффекта  у   других  видов.  Ход
рассуждений при этом  бывает примерно таким: доза кортизона, необходимая для
достижения  определенного эффекта у  крысы весом 100  граммов, 1 миллиграмм.
Значит,  у  человека весом в 70 килограммов для получения  такого же эффекта
надпочечники  должны  будут  выделить  дозу  кортизона в  700  раз  большую.
Поскольку   такое   огромное  количество  кортизона  в  принципе  выработать
невозможно, результаты этих наблюдений не могут быть применены в клинической
медицине.
     Дело  в том,  что в расчете на единицу веса  живой ткани  человек может
оказаться гораздо более (или  менее)  чувствителен, нежели крыса, к действию
какого-либо препарата. Фактически обобщение  по  показателю веса неприменимо
даже по отношению к молодым и старым особям в рамках одного и того же  вида.
В расчете на 1 килограмм веса тела ребенок гораздо чувствительнее к действию
морфина, нежели взрослый,  а  крыса гораздо менее восприимчива,  чем человек
любого возраста.



     Казалось бы, очевидно, что  отсутствующий фактор действовать  не может.
Однако, как ни странно, такое  допущение приводило и приводит к бесчисленным
ошибкам, многие из которых стали классическими и вошли в историю медицины.
     Вспомним, что на самом раннем этапе  развития современной бактериологии
Роберт Кох  сформулировал  свои знаменитые "постулаты",  выполнение  которых
необходимо  для  того,  чтобы  заболевание  могло  быть  приписано  действию
какого-либо   микроорганизма.  Первый   и  наиболее  существенный   постулат
заключался в том, что микроб должен выявляться в каждом случае заболевания.
     Воспользуемся   словами  самого  Коха:   "Полностью  удовлетворительное
доказательство паразитической природы заболевания может быть получено только
тогда,  когда нам удастся обнаружить  паразитические  микроорганизмы во всех
случаях   изучаемого   заболевания,  когда  мы,  далее,  будем  в  состоянии
продемонстрировать   их   присутствие   в  таких  количествах   и   в  таком
распределении,  что  все  симптомы заболевания  найдут,  таким образом, свое
объяснение,  и,  наконец,  когда  мы для  каждого  отдельного  инфекционного
заболевания   установим  существование  микроорганизма  с  ярко  выраженными
морфологическими признаками" [13].
     Последующие же работы показали, что очень часто проявления заболевания,
вызванного микробами, имеют место только после  того, как возбудителя уже не
удается выявить. В ряде случаев (ботулиновый токсин)  болезнь может поразить
человека, который никогда не был заражен самим микробом, но лишь употребил в
пищу продукт, содержащий токсины этого микроорганизма. И наоборот,  в высшей
степени  болезнетворные  микробы  могут  находиться  в  здоровых  носителях,
которые оказались устойчивыми к ним.
     Так  называемые  метакортикоидные поражения представляют  собой  другой
пример такого рода. Должным образом сенсибилизированные крысы,  подвергнутые
в  течение  сравнительно короткого периода времени  воздействию  больших доз
ДКА,  могут не  проявлять  никаких признаков нефросклероза,  гипертонии  или
узелкового периартериита в период гормонального воздействия  или  даже сразу
по  его прекращении. Но  спустя недели или месяцы после  окончания курса ДКА
все  эти  изменения  у  них  возникнут.  Таким  образом,  опять  мы  находим
проявления, первоначальная причина которых не была обнаружена в организме.
     Принцип действия этой ловушки может быть проиллюстрирован на  следующей
схеме:
     
     Здесь стимул S может воздействовать на "мишень" Т, избирая  прямой путь
Р.  Результаты воздействия - соответствующее изменение мишени Т не  могут не
проявляться, пока  стимул все еще присутствует в организме, но  тем не менее
они являются следствием этого  воздействия.  (Такая возможность в постулатах
Коха  не предусматривалась.)  При  этом  стимул  S  может  воздействовать на
"мишень"  Т1  и  вызывать в  ней  последующие  изменения, которые  оказывают
вторичное влияние на "мишень" Т в то время, когда первоначальный стимул  уже
отсутствует.  (Этим, по-видимому, объясняются "метакортикоидные"  сосудистые
поражения, вторичные по отношению к отсроченному нефросклерозу).
     Имеются  бесчисленные  дополнительные  примеры,  иллюстрирующие  данное
положение,-   это   отдаленные    последствия    рентгеновского   облучения,
анафилактической  сенсибилизации, эмоционального  потрясения,  полученного в
раннем  детстве,  и  практически  любого  случая,  оставившего  потенциально
травматический "шрам" в самом широком смысле этого слова.
     Теперь, по  прошествии времени, причинно-следственная связь между этими
стимулами и  их отдаленными  эффектами настолько  очевидна,  что  упоминание
данного источника  ошибок  может показаться  излишним. Но,  как явствует  из
истории медицины,  на практике аксиома  "чего  нет, то действовать не может"
столь распространена, что  это ввело в заблуждение даже  Роберта Коха. Такое
положение  задержало  развитие  медицинских  исследований и во многих других
отношениях.  Правильную   интерпретацию   причин   возникновения   различных
заболеваний,  связанных с  витаминной  недостаточностью, таких,  как  рахит,
пеллагра,  бери-бери,  цинга,  надолго задержали  бесплодные  поиски  явного
источника  этих  болезней - какого-либо яда.  Альтернативная  возможность  -
отсутствие  в  пище жизненно  важных  компонентов  -  представляется  вполне
естественной  сегодня в ретроспективе.  Но я настаиваю  на  том, что  только
гений  мог задуматься  над этим. Каким бы простым ни  казалось решение, факт
состоит в том, что оно не пришло в голову ни одному из выдающихся ученых, на
протяжении веков изучавших болезни, вызванные витаминной недостаточностью.
     Та же проблема неоднократно возникала в эндокринологии. Давно известно,
что различные яды  могут вызывать  судороги.  Когда  впервые была обнаружена
болезнь,   известная  теперь  как  паратиреоидные   судороги,  врачи   сочли
самоочевидным, что  характерные  для этого  заболевания  сильнейшие судороги
должны  быть  вызваны  каким-нибудь отравлением. Открытие того, что удаление
паращитовидных желез вызывает судороги, со всей очевидностью  наталкивало па
мысль  о  недостаточности каких-либо  элементов  в организме, но специалисты
были далеки от рассмотрения проблемы в таком ракурсе.  Годами они продолжали
поиски -некоего  вызывающего  судороги метаболического  яда, который  мог бы
вырабатываться  или в  недостаточной  степени обезвреживаться  организмом  в
отсутствие паращитовидных желез. Несмотря  на колоссальный объем выполненной
в  данном  направлении работы, эта  теория  доказала свою бесплодность,  ибо
никакого особого яда обнаружить не удалось. В то время никому не приходило в
голову, что эти судороги вызываются  не избытком чего-либо, а недостатком, в
данном случае недостатком кальция.
     Теперь в диетологии и эндокринологии  принято  считать, что  недостаток
чего-либо в организме есть возможная  причина заболеваний. И тем не менее мы
по  привычке  отгоняем  всякую  мысль  о   факторе   недостаточности  и  это
по-прежнему   тормозит   развитие  биологии.   В  моей  собственной  области
исследования основное  место принадлежит так называемому "первому  медиатору
стресса", гипотетическому агенту, инициирующему общий адаптационный синдром.
Предпринимались  бесчисленные  попытки  определить  какой-либо   токсин  или
метаболит  (гистамин, продукты расщепления  белка  и  др.), который  мог  бы
действовать  в  качестве первого  медиатора. Но наше предположение, согласно
которому  стресс  может  вызывать  истощение  какого-либо  жизненно  важного
метаболита  и  таким  образом  инициировать  защитные  явления,  никогда  не
принималось  всерьез.  Нам все еще  неизвестна  природа первого медиатора, и
поэтому   оба   варианта   решения   этой    проблемы   остаются   одинаково
перспективными.  Характерно,  однако,  что  ведутся активные  поиски  только
позитивного агента.
     Вот каковы  соображения, по  которым  опыт и здравый  смысл  имеют  для
биолога  приоритет  перед  глубоким  знанием  сложных   законов   логики   и
психологии.



     Вряд ли  кто-нибудь станет возражать, что  противоположности  настолько
отличаются друг  от  друга, насколько  это вообще возможно. Ни одна точка на
Земле   не   удалена   от   Северного   полюса   больше,   чем  его   прямая
противоположность -  Южный полюс. Если мы намереваемся охладить  предмет  до
возможно более низкой температуры, ничто  не  послужит этой  цели в  меньшей
степени, чем его нагревание до доступного нам предела.
     И  тем не менее здесь заключен известный парадокс. Несомненно, Северный
и  Южный  полюсы предельно  удалены  друг  от  друга,  но  во многих  других
отношениях они  очень  походят  друг на друга. Точно так же, если  мы  хотим
нагреть  или охладить  предмет,  нам  понадобится  знание  одних  и  тех  же
принципов терморегуляции. В целом изменения, вызываемые теплом, обладают той
же  природой,  что  и  вызываемые  холодом.  Они  противоположны  только  по
направленности.
     Почти любой пример, взятый  наугад, будет служить иллюстрацией близкого
сходства   противоположностей.  Негатив  фотографии,   зеркальное  отражение
картины предельно близки  к оригиналу. Если вы  отправитесь в путешествие по
поверхности земли в  западном направлении, то, чем быстрее будете двигаться,
тем скорее  окажетесь  восточнее пункта  своего  отправления.  Стереоизомеры
являются почти идентичными  противоположностями; множество параллелей такого
рода  можно  найти и в биологии. Анестезия и возбуждение могут  быть вызваны
различными дозами одного и того  же лекарства. Стимуляция сокращений мускула
и  паралич его могут быть результатом различной по силе механической  травмы
одного и того же нерва и так далее.
     Утверждение, согласно которому  противоположности весьма  сходны, стало
настолько самоочевидным, что  оно даже не требует дальнейшего  обсуждения. И
все же история  медицинской науки показывает,  что  однозначное  отношение к
проблеме  противоположностей   с   очень   большой   вероятностью  порождает
психологические миражи, способные вводить в  заблуждение величайших мастеров
искусства клинического наблюдения.
     Взять,  к   примеру,  Пьера  Мари,  впервые  наблюдавшего  пациентов  с
заболеванием, названным им "акромегалией". В конце XIX в. еще ничего не было
известно о связи  между гипофизом и ростом организма. У пациентов наблюдался
чрезмерный рост, в то время как гипофиз у них был замещен опухолевой тканью.
Вполне  естественно,  что Мари задумался  о возможности выработки  гипофизом
некоего  вещества,  сдерживающего рост,  поскольку  разрушение  этой  железы
приводило к  чрезмерному росту. В  свете более поздних трудов  самого Мари и
данных  современной  эндокринологии  эта  интерпретация  представляется  как
нельзя  более ошибочной.  И в  то  же  время будучи зеркальным  отображением
истины, она очень к  ней  близка В функциональном отношении гипофиз при этом
заболевании   не  разрушен,   а  замещен  сверхактивной  опухолевой  тканью.
Вероятно,  не раз при вскрытиях гигантов  и акромегаликов выявлялась опухоль
гипофиза, но понадобился гений  Пьера Мари{37а}, чтобы  предположить наличие
взаимосвязи между гипофизом и ростом организма.
     В этой  связи  опять хочу привести  несколько  примеров  из собственной
практики. ДКА оказался первым  кортикоидом,  который удалось синтезировать в
количестве, достаточном для систематических экспериментальных  исследований.
Поскольку его  избыток в  организме  приводил к разнообразным воспалительным
изменениям в соединительной ткани (периартериит, миокардит, артрит и т. п.),
мы  сделали  вывод, что  кортикоиды  способны  вызывать  предрасположенность
тканей к  воспалению  и что,  по-видимому, надпочечники играют  определенную
роль в возникновении различных воспалительных заболеваний.
     Несколькими годами  раньше я обнаружил, что  удаление надпочечников  не
уменьшает  способности  к  воспалению  и  что  противовоспалительный  эффект
стресса (например, при анафилактоидном воспалении) блокируется  при удалении
надпочечников.  Это  повлекло  за  собой  вывод  о  том,   что  при  стрессе
надпочечники обладают противовоспалительным  действием, но, когда дело дошло
до интерпретации экспериментов с ДКА, я, как ни странно, не сумел принять во
внимание  эти  более ранние результаты.  Родившаяся таким  образом  гипотеза
относительно действия  кортикоидов на воспалительные  процессы противоречила
истине не полностью,  а  только наполовину.  Формулировка гипотезы могла  бы
приобрести  гораздо  более   завершенный  вид,   если  бы  я  вспомнил,  что
противоположности  часто  бывают  не  так  уж далеки друг  от  друга  и  что
"авторитет" обобщающего названия "кортикоид" не следует преувеличивать. Лишь
позднее, когда мы учли  все это, стало возможным дополнить гипотезу и прийти
к  выводу о  том,  что  надпочечники могут  как  усиливать, так  и уменьшать
способность    к    воспалению    и    что    одни    кортикоиды    обладают
противовоспалительным действием, а другие - способствуют воспалению.
     Так   называемая  "теория  асбестовой   прокладки"  действия  кортизона
основывалась на  ложном  представлении  совсем иного рода; но она вела  свое
происхождение от того же  самого психологического  миража и связана почти  с
той же темой. Напомним, что вскоре  после того, как  кортизон стал  доступен
для  клинического использования, клиницистами  была сформулирована гипотеза,
согласно  которой  кортизон  потому столь  эффективен  при  самых  различных
воспалительных  заболеваниях, что он воздвигает  своего рода  "непроницаемый
барьер",   "асбестовую    прокладку"   между   потенциальным   патогеном   и
чувствительной  живой тканью. На  самом деле  противовоспалительные  гормоны
действуют   в  основном   за  счет   того,  что  препятствуют  возникновению
воспалительного гранулемного барьера, и главная жизненная функция последнего
состоит   в   том,   чтобы   отделить   ткани   от  раздражающих   факторов.
Противовоспалительные  гормоны  не  служат  препятствием  для  раздражающего
патогена, атакующего ткани. Наоборот, кортизон способствует разрушению ткани
(некрозу)  раздражающими факторами  (например, кротоновым  маслом), а  также
распространению  инфекций  (например,  туберкулеза).  Весьма неспецифический
положительный эффект  кортизона  при  множестве  воспалительных  заболеваний
вызван  именно  тем  фактом,  что  в  большинстве таких  случаев  образуется
избыточный  воспалительный  барьер  между  патогеном   и  тканью.  При  этом
воспаление и  есть та болезнь или  по  крайней мере то  основное болезненное
проявление, которое испытывает пациент.
     Когда  вам  доведется  формулировать   теорию,  помните   о   том,  что
противоположности  не  так уж далеки  друг  от  друга. И  потому попытайтесь
истолковать свои  данные с позиций, диаметрально  противоположных тому,  что
подсказывает вам первое побуждение.



     Эта  ловушка  в  основном  соответствует  "ошибке  от  привходящего"  в
аристотелевском "Органоне". Проблему неплохо иллюстрирует пример с фатальным
заблуждением того джентльмена, который решил больше не  пить содовой, потому
что  она  была  единственным  и  явно  общим   компонентом   всех  напитков,
доставлявших  ему  одни  неприятности,-  виски  с содовой, джина  с содовой,
бренди с содовой.
     Можно  рассказать и более  серьезную историю, повествующую  о  том, как
даже крупные  ученые попадают в простую западню логики. В течение многих лет
исследователи были уверены, что ультрафиолетовый свет убивает  бактерии лишь
в  присутствии свободного кислорода. Ошибочное представление сохранялось  до
тех пор, пока не была выявлена его  связь с  наблюдениями, которые  положили
начало  этому   заблуждению.  Для   доказательств   безусловной  зависимости
бактерицидного действия  ультрафиолета от  кислорода первые экспериментаторы
пользовались двумя методами: 1) они помещали изучаемую культуру в стеклянную
трубку, из  которой  выкачивался  воздух;  поскольку  известно,  что  стекло
поглощает все ультрафиолетовые лучи, кроме самых  длинноволновых, то, удалив
кислород,   экспериментаторы   одновременно   неумышленно   отсекали   своим
стеклянным  экраном активные  лучи; 2)  не  откачивая воздух, они направляли
ультрафиолетовые лучи на поверхность культуры на твердой  среде;  обнаружив,
что  в  этом случае стерилизуются только верхние слои  культуры, они решили,
что более глубокие ее слои защищены за счет отсутствия свободного кислорода.
Теперь мы, правда, знаем: активные лучи не могут глубоко проникать в  пленки
органической  материи - именно этим объясняется тот факт, что глубинные слои
культуры   не   стерилизовались.   В   настоящее  время   общеизвестно,  что
бактерицидное  действие ультрафиолетовых  лучей  одинаково эффективно как  в
отсутствие свободного кислорода, так и на воздухе.
     "Молчащий   маркер"   может   внести  путаницу   даже   в   определение
анатомических структур. Например, когда  хирурги прошлых поколений заметили,
что  удаление щитовидной железы приводит к судорогам, они  предположили, что
последние   обусловлены  недостаточностью  щитовидной   железы.   Дальнейшее
открытие паращитовидных желез,  однако, показало, что 1) удаление щитовидной
железы вызывает  судороги лишь в том случае, если одновременно  удаляются  и
паращитовидные  железы  (расположенные   внутри  и  вокруг  щитовидной);  2)
удаление  только паращитовидных желез вызывает судороги даже в  том  случае,
если  щитовидная осталась  незатронутой;  3)  после  удаления паращитовидных
желез  судороги могут быть  остановлены при  помощи  гормона  паращитовидных
желез,  но  не  с помощью гормонов  щитовидной железы.  Итак,  мы видим, что
возникновение судорог обусловлено  действием  большой и легко обнаруживаемой
щитовидной  железы, сыгравшей роль "молчащего маркера" в отношении активных,
но не так легко обнаруживаемых паращитовидных желез.



     При  обсуждении заблуждений, связанных  с  "альтернативными путями", мы
уже  коснулись  ошибок,  вызванных  пренебрежением множественными причинными
факторами возникновения  биологического изменения в исследуемом объекте.  Мы
видели,  как  скрытая   активность  агента   может   стать  явной  благодаря
одновременному  действию обусловливающих факторов. Мы говорили  о  том, что,
убедившись  в наличии изменения, вызванного тем или иным агентом, мы даже не
пытаемся  проверить,  является  ли он  единственным  (специфичным)  агентом,
способным  вызывать  это  изменение.  Исследование   стресса   основано   на
неудовлетворенности такого рода экспериментированием. Почти каждое известное
действие  стресса  уже  было  описано  ранее,  но описано  как специфическое
свойство  того или иного агента. Суть концепции стресса состоит в том, чтобы
подчеркнуть, что  определенные  изменения  (активизация  надпочечников, шок,
препятствие воспалению)  представляют собой неспецифические явления, которые
могут вызываться множеством факторов и множеством их сочетаний.
     Имеется  ряд заболеваний, которые развиваются только при  одновременном
наличии  нескольких  причинных  факторов.  Мы  назвали их  "плюрикаузальными
болезнями".  Различные  формы кардионекрозов, которые  могут  быть вызваны у
животных   совместным  воздействием   некоторых  электролитов,  стероидов  и
стрессоров,   развиваются  лишь   в  том   случае,   если   в   определенной
последовательности действуют два или более  фактора, которые сами по себе не
являются   активными.   То  же   справедливо   и  в   отношении  всех   форм
кальцифилаксии. Подобные условия трудны для изучения из-за сложности лежащих
в  их основе патогенных ситуаций. И  все же о существовании  плюрикаузальных
болезней  надо  знать, поскольку  они,  по  всей видимости, распространены у
человека, а поиски  "причины"  такой болезни в обычном смысле слова, то есть
поиски  единственного специфического обусловливающего фактора, в этом случае
бессмысленны.  К  сожалению,  мы  настолько  привыкли  считать,  что  каждая
отдельная  болезнь  должна  целиком,  или  по  крайней  мере  почти  целиком
вызываться одной-единственной конкретной причиной  (скажем,  особым микробом
или   ядом),   что   часто   пренебрегаем   вероятностью   плюрикаузальности
заболевания.
     Если какая-либо  болезнь  вызывается двумя факторами,  один из  которых
присутствует  повсеместно,  мы  обычно делаем  вывод, что  как раз  другой и
является  "причинным  фактором".  В XIX столетии считалось, что единственной
причиной  брюшного  тифа   являются  антисанитарные  условия.  В  то   время
вызывающие   его   микроорганизмы   присутствовали  повсеместно  и  развитие
заболевания целиком определялось условиями  санитарии. Поскольку большинство
болезней являются  "плюрикаузальными",  инфекционные заболевания  зависят не
только от присутствия  обусловливающего их  микроба, но  также и от  наличия
условий, необходимых  для его передачи от одного  носителя  к другому, и  от
факторов, влияющих  на  восприимчивость носителя  к  данному заболеванию.  В
подобных  случаях  мы  склонны  выделять  в  качестве "причины" тот  фактор,
который не присутствует повсеместно.



     При обсуждении ошибки,  названной "молчащий  маркер",  мы  говорили  об
опасности перепутать  несущественный фактор с  подлинной  причиной  (скажем,
содовую воду  с  алкоголем в качестве причины  интоксикации). Тут,  впрочем,
второстепенный фактор всего лишь  пассивно и безучастно сопровождает активно
действующий причинный фактор. А  все  несущественное  затуманивает картину и
вносит еще большую путаницу.
     Примером  такого  рода  может служить открытие  гормона  -  антагониста
инсулина  - глюкагона. Когда препараты инсулина только появились,  они имели
тенденцию  слегка повышать  содержание  сахара  в  крови, прежде чем вызвать
характерное   его  падение.  Это  первоначальное  возрастание  приписывалось
действию инсулина до  тех пор,  пока  не представилась возможность  отделить
повышающий  содержание  сахара  в крови  фактор -  глюкагон от  снижающего -
инсулина. Стало  очевидно,  что в этих препаратах инсулина  именно  глюкагон
способствовал повышению содержания сахара  в  крови, а сам  инсулин выступал
просто в качестве маркера действия препаратов, вообще влияющих на содержание
сахара в крови.
     Японскому  ученому Ногучи{38}  удалось  выделить  спирохету  у  больных
лептоспирозной  желтухой,  после  чего  он заключил,  что  желтую  лихорадку
вызывали  спирохеты.  Эта  легко  объяснимая  ошибка  существенно  задержала
изучение желтой лихорадки и в силу традиционного для японцев понимания чести
привела Ногучи к самоубийству [Беверидж, 2].
     Джон  Хантер{39}  заразил  себя   гонореей,  с  тем  чтобы  установить,
отличается ли  эта  болезнь от сифилиса. К несчастью,  использованный им для
самозаражения  материал  содержал  возбудители  сифилиса.  В  результате  он
заболел  и  той  и  другой  болезнями  одновременно, из  чего  извлек ложное
убеждение  (господствовавшее в течение долгого  времени), что обе  они  суть
одно и то же [Беверидж, 21].
     Я  до  сих пор помню  ту растерянность, которая охватила меня, когда  я
впервые посмотрел через микроскоп на препарат селезенки. Я не мог разглядеть
ничего из  того,  что  должен был  увидеть.  Со  слов  профессора  мне  были
прекрасно  известны различные структурные элементы,  образующие человеческую
селезенку, но видел я миллионы крохотных  синих  и красных  точек, в  полном
беспорядке перемешанных между собой. Дело в том,  что в, селезенке так много
белых и  красных клеток  крови  и они настолько  рассредоточены  в ней,  что
разглядеть  во всем этом  имеющийся порядок довольно трудно. Упорядоченность
организации  соединительной ткани  и сосудов  спрятана от неопытного  глаза.
Единственным средством,  которое может  помочь  "прозреть", похоже, является
практика, практика и еще раз практика...



     Эту    чрезвычайно   распространенную    ошибку,    которую   допускают
медики-исследователи, можно проиллюстрировать на следующем примере.
     Каждая из  пяти групп животных подвергается различному  воздействию, но
только в одной из них в исследуемом органе - "мишени" - наблюдается заметное
изменение.  Причем  в этой группе  данное  изменение имеет  место  у каждого
отдельного  животного,  и   не  может  быть  никаких  сомнений  относительно
статистической  значимости  различий между этой  группой и всеми остальными.
При  таких  обстоятельствах  экспериментатор  скорее  всего   заключит,  что
причиной изменения является именно то воздействие, которому подвергалась эта
Группа. ОДНАКО  это серьезное заблуждение, ибо  наблюдаемое  изменение могло
быть вызвано другим фактором.
     Заблуждения такого типа чрезвычайно распространены, до их, как правило,
трудно  обнаружить.  Например,  при  использовании в эксперименте  небольших
подопытных животных (крыс, мышей) обычно вся группа, подвергающаяся одному и
тому же  воздействию, содержится вместе; следовательно, вероятность  влияния
на них "фактора клетки", то есть чего-то такого, что свойственно той клетке,
в которую они помещены, довольно  высока. Так,  от одного  животного ко всем
другим может передаться какая-либо инфекция. Одна особенно агрессивная особь
может передраться с соседями по клетке и помешать их хорошему самочувствию и
питанию.  Может  оказаться  неисправной  бутылочка  с  водой.  Металлическая
решетка, которая служит полом в большинстве обычных клеток, может проржаветь
и   вызвать  травматические   повреждения  животных,   что   будет  ошибочно
приписываться экспериментальному воздействию. Животным, содержащимся в одной
клетке, по халатности могут сделать не ту инъекцию и т. д.
     Возможность  подобной .ошибки настолько  очевидна, что  читатели,  быть
может, сочтут  ее обсуждение излишним. И  все же мне хотелось бы отметить (а
молодые, исследователи могут извлечь из этого пользу для себя), что при всем
моем опыте редко выдается  хотя бы  месяц, когда я  не был  бы одурачен этой
зловредной ловушкой  в  том или ином ее проявлении. По счастью, я прибегаю к
самым  тщательным мерам предосторожности, дабы быть уверенным,  что подобные
источники ошибок удастся обнаружить еще  до того,  как полученные результаты
будут  восприняты  в качестве  следствия  проведенных  экспериментов.  Явные
различия обладают достоверной значимостью, но они не обусловлены ни одним из
факторов, перечисленных в условиях эксперимента.
     Чтобы  избежать такого рода ошибок, экспериментатору всегда  необходимо
лично наблюдать за подопытными животными. Кроме того, каждый  опыт  по  мере
возможности должен повторяться  несколько раз - хотя бы на  маленькой группе
животных.  С   математической   точки  зрения  группа  из   тридцати   крыс,
одновременно подвергавшаяся какому-либо воздействию,- это то же самое, что и
шесть  групп  по пять крыс, на  которых  в  разное время проводился такой же
эксперимент.   Истинно   же   биологическая   значимость   второго  варианта
эксперимента  неизмеримо  выше.  Маловероятно,  чтобы  при  одном  и  том же
воздействии, которому подвергались крысы, содержавшиеся  в  разных клетках и
наблюдавшиеся в разное время, шесть  раз подряд была совершена какая-либо из
вышеупомянутых случайных ошибок.
     Трудноуловимыми источниками ошибок могут оказаться не только клетки для
животных, но и моральный климат в лаборатории, и привычки лаборантов. У меня
выработалась  такая  боязнь "групповой порчи эксперимента", что я совершенно
идентичным образом оборудовал два этажа нашего института с тем, чтобы каждый
эксперимент  мог быть повторен  с  участием двух  совершенно различных групп
сотрудников,  работающих   в  разных  местах.  С  тех  пор  как  мы  сделали
обязательным такое дублирование, мы с удивлением заметили, насколько часто в
двух  экспериментах,   выполненных  совершенно   аналогичным   образом  и  с
величайшим тщанием, получаются тем не менее различные результаты.
     Разумеется,  существует  множество других причин, которые не  дают  нам
забывать правило: подействовать может совсем не то, чем вы воздействовали. К
примеру,  введенное  соединение   в  результате  обменных  процессов   может
измениться по своему составу, так что наблюдаемые эффекты в действительности
вызываются уже другим  веществом  (эксперименты  с  МАД,  описанные  ранее).
Инъекция   какого-то   препарата   нередко  вызывает   значительное  местное
раздражение  и  подкожное  воспаление,  так что изменения  в соответствующем
органе вполне могут возникать в результате этого местного  повреждения, а не
из-за специфического фармакологического свойства введенного вами препарата.
     Тем, кто  сомневается, что опытный экспериментатор может стать  жертвой
столь  очевидных  ловушек,   советую  просмотреть  обширную   литературу  за
последние  несколько  лет  по   изучению  на  крысах   противовоспалительных
препаратов. Мы весьма тщательно проделали эту работу и  повторили многие  из
опубликованных экспериментов, применяя различные популярные у исследователей
препараты этого класса. Результаты получились совершенно неожиданные.
     В  большинстве  из  опубликованных  работ  применялись три  стандартные
методики   ("анафилактоидное  воспаление",   вызываемое  яичным  белком  или
декстраном, "формалиновый  артрит" и  "гранулемная  сумка"), разработанные в
нашем институте в качестве индикаторов воспаления.
     Испытываемые противовоспалительные препараты вводились подкожно. Весьма
любопытно,  что большие  лозы этих препаратов чаще всего были токсичными или
оказывали  сильное местное раздражающее действие  на  соединительную  ткань,
вызывая обширное  местное  повреждение  с  последующим  системным  стрессом.
Правда,  все   эти  испытания  продолжались  сравнительно  недолго,  поэтому
некротизированная ткань  в образовавшихся абсцессах не  выходила наружу. Вот
почему  повреждение ткани легко  может пройти  незамеченным.  Тем не  менее,
повреждение  ткани  бывает настолько  обширным,  что наступающий  вследствие
этого  сильный  стресс  (шок)  может  подавить  воспаление  на  определенном
расстоянии от места инъекции, причем даже у адреналэктомированных животных.
     Это  не  означает, конечно,  что  применявшиеся препараты  не  являются
противовоспалительными  -  некоторые  из  них, без  сомнения, обладают  этим
свойством, однако из-за  использованной методики проведения эксперимента его
не удалось выявить, так как противоположное свойство препарата маскировалось
куда более сильным эффектом системного стресса. Здесь опять-таки наблюдаемое
изменение  вызывалось не данным  исследуемым  агентом,  а вторичным побочным
действием  такого  фактора,  как  конкретный способ осуществления  подкожной
инъекции.



     Как  правило,  чем  меньше  "промежуточных  станций"  между  агентом  и
"мишенью",  тем более определенным  получается  результат  и тем  легче  его
воспроизвести.  Из  этого правила,  однако,  имеется  много  исключений.  Но
следует  иметь  в  виду,  что  биологическая  "цепная  реакция"  может  быть
остановлена, если на ее пути  (и  прежде всего--в любом из  особо "уязвимых"
звеньев "цепочки") возникнут помехи.
     Самые четкие результаты обычно получаются при прямом действии агента на
"мишень". К  примеру, стимуляция петушиного гребня путем местного применения
тестостерона--самый надежный способ возбудить рост  этого образования даже у
больной или искалеченной  в  результате  удаления  различных  органов птицы.
Петушиный гребень растет также после  инъекций  тестостерона в  другие части
тела,  но для этого  требуются  большие  дозы,  к  тому же такой реакции  на
тестостерон  могут  помешать присутствующие  в  организме  антагонистические
гормоны.  Подобным же образом усиливают рост петушиного гребня стимулирующие
функцию половых желез гормоны  гипофиза,  но их эффект еще более опосредован
и, следовательно, еще менее устойчив.  Гормоны  гипофиза  могут  действовать
только  за  счет  стимуляции   выделения   семенниками  тестостерона;  любое
серьезное нарушение деятельности  этой  железы - в  особенности  кастрация -
блокирует действие гормонов.
     Кумулятивные ошибки влияют не только на  передачу стимулов в организме,
но также  и на убедительность  сложных рассуждений, поскольку  исключения из
постулированного  правила  могут  оказывать  воздействие   на  каждое  звено
мыслительной  цепочки.  Например, не  так  уж  велика  опасность  того,  что
окажется некорректным  утверждение: "Удаление паращитовидных  желез вызывает
судороги ввиду недостаточности гормона паращитовидных желез". В то  же время
наличие целого  ряда  исключений  может отрицательным  образом  повлиять  на
достоверность  вывода,   если  мы  скажем:  "Удаление  паращитовидных  желез
вызывает  судороги,  потому  что в отсутствие  гормона паращитовидной железы
содержание  кальция  в  крови  падает,  а  в  отсутствие  кальция  некоторые
ферменты,  необходимые для  мышечных сокращений, не в состоянии осуществлять
свои функции  должным образом". Удаление паращитовидных  желез действительно
вызывает падение содержания кальция в крови, но при этом также увеличивается
уровень фосфатов  и  происходит  множество  других  изменений  в  протекании
обменных  процессов,  а  они  могут повлиять  на  мышечные сокращения.  Хотя
ферменты играют важную роль  в судорожных мышечных  сокращениях,  но  в этом
участвуют  также и другие факторы, кроме того, расстройство нервной  системы
тоже,  по  всей  вероятности,  оказывает   влияние  на  судороги,  вызванные
удалением паращитовидных желез. Поскольку искажения, вызванные исключениями,
которые  могут  встретиться  в  любом  звене сложной  мыслительной  цепочки,
проявляют  тенденцию к накоплению, то в биологии  развернутые диалектические
рассуждения редко представляют собой большую ценность. Самая простая теория,
которая  может  объяснить то  или  иное  явление,-  это и есть самая  лучшая
теория, даже если она не берется объяснить все.



     Ошибки в  планировании  или  процедуре проведения  эксперимента  играют
определенную  роль  почти  в  каждом  заблуждении,  но здесь  не  место  для
обсуждения  чисто  технических  аспектов методологии. Достаточно  будет двух
примеров,  чтобы пояснить, каким образом скрытые простые  ошибки  в методике
могут  привести к  путанице в интерпретации результатов. В  первых  работах,
описывающих   результаты   исследований   надпочечников,   были  в  изобилии
представлены  противоречащие  друг  другу данные о  значении  этих желез для
разнообразных  жизненных  функций.  Находились  исследователи,  которые даже
утверждали,  что  для  некоторых биологических видов надпочечники  не так уж
необходимы. Выяснилось, что  у определенных разновидностей  крыс и  кроликов
имеются   маленькие   дополнительные  надпочечники,  расположенные  в  самых
различных  и  непредсказуемых  местах в  брюшине,  в том числе и  достаточно
далеко  от  двух  обычных  желез.  Если  удалены  только  эти последние,  то
дополнительные   железы   гипертрофируются    и   обеспечивают    нормальную
жизнедеятельность организма.
     Неполное  удаление нормальных надпочечников  свидетельствует  просто  о
плохой технике экспериментальной работы, но если вам не удалось удалить едва
различимый  вспомогательный   надпочечник,   который   может   располагаться
практически в любом месте брюшной полости,- это неизбежно приведет к ошибке,
которая  останется  незамеченной   даже  при  вскрытии.  Значит,  необходимо
выбирать такие разновидности  подопытных животных, у которых  дополнительных
надпочечников нет.
     Один  незабываемый  казус  в  моей  собственной  работе  был  связан  с
технической  ошибкой,  обнаружить  которую, несмотря  на  ее  примитивность,
оказалось    не   так    просто.   Несколько   лет   назад,   докладывая   о
противовоспалительных   гормонах   перед   очень   большой   аудиторией   на
Международном  терапевтическом  конгрессе   в   Риме,  я  упомянул  методику
"гранулемной  сумки",  разработанную  мной  для количественного исследования
воспалений.  Напомню  вкратце  ее  суть.  Крысе  под  кожу  вводится немного
воздуха,  а  затем  образовавшаяся  воздушная сумка  заполняется  вызывающим
воспаление веществом, например однопроцентным раствором кретонового  масла в
оливковом масле. Раздражитель, войдя в контакт с состоящей из соединительной
ткани стенкой воздушной сумки, вызывает  воспаление, причем жидкие и твердые
продукты  воспалительного  процесса  могут  быть количественно  определены в
строго   воспроизводимых   условиях.   Воспалительная  жидкость   (экссудат)
накапливается   в   полости,  объем  которой   можно  измерить,   а  твердая
воспалительная тканевая преграда (гранулема), образующаяся из соединительной
ткани стенки сумки, может быть взвешена.
     Я  с   большой   тщательностью  разъяснил   преимущества  этого  теста.
Последовавшая  за  этим  дискуссия  открылась  весьма  лаконичным замечанием
одного специалиста,  заявившего, что, в точности  повторив мои эксперименты,
как я описал их, он убедился в бесполезности этого теста.
     Как  только  вводится  кротоновое  масло,  утверждал  он,  кожа  просто
разрушается  вследствие  некроза, так  что жидкость выходит  наружу  и сумка
становится инфицированной.
     На таких больших собраниях дискуссии уделяется  очень мало времени, так
что  мне  необходимо  было  как можно быстрее продумать  возможные  варианты
ошибок, которые мог допустить  мой оппонент;  эффект, который  его замечание
произвело на аудиторию, был весьма впечатляющим. Я спросил,  с  каким  видом
крыс  он  работал, сколько кротонового  масла  он  им  вводил,  было ли  оно
растворено  в  однопроцентном   отношении  и  так   далее.  Он  с  некоторым
раздражением  заверил меня,  что  внимательно  читал мои работы  и  во  всем
досконально следовал моим предписаниям.
     Отведенное для дискуссии время подходило к  концу, и я уже был близок к
тому, чтобы  сдаться, когда в отчаянии задал  еще  один,  последний  вопрос,
какого  рода масло  он  применял в качестве растворителя. Не обладало ли оно
какими-то  особо  раздражающими  свойствами? "О нет,-  ответил  он,- как раз
наоборот!  Дабы  быть  уверенным,   что  растворитель  не   будет  оказывать
раздражающего действия, я просто смешал  кротоновое  масло  с водой". Теперь
все стало  ясно. Дело  в том, что кротоновое масло не растворяется в воде, а
просто  плавает  на ее поверхности,  поэтому  кожа  крысы  вошла в контакт с
концентрированным  кротоновым маслом.  Кроме  того, в отличие  от оливкового
масла вода почти сразу же абсорбируется из  места инъекции, так  что в сумке
не   остается   ничего,   кроме    концентрированного   кротонового   масла.
Неудивительно,  что кожа  разрушилась!  Данное  объяснение вызволило меня из
чрезвычайно затруднительного положения,  но,  должен признаться, мне никогда
бы  не  пришло в  голову спросить,  не  использовалась  ли  вода  в качестве
"растворителя"  для не растворяющегося  в воде  кротонового масла.  Ошибка в
методике была вскрыта лишь случайно.
     Подобные  случаи,  как  и  многочисленные  примеры,   упоминавшиеся  на
предыдущих  страницах,  показывают,   что  в   реальной   практике   простые
оплошности,  вызванные  рассеянностью, небрежностью или  недостатком  опыта,
гораздо более распространены и опасны, нежели логические ошибки, возникающие
из-за недостатка интеллекта или незнания фундаментальных  законов  мышления.
Нет нужды доказывать,  что всем следует знать о нерастворимости  кротонового
масла в воде; моему критику это было известно  так  же хорошо, как и мне. Но
факт  остается  фактом:  он  не  посчитал  это  сколько-нибудь  существенным
обстоятельством.



     Когда  я   был   мальчишкой,  на  меня  произвело  сильное  впечатление
знакомство  с парадоксами  Зенона, греческого  философа,  который  считается
отцом  диалектического   метода   мышления.  Наиболее   известным   примером
умственной  акробатики, способным  любого поставить  в тупик,  является  его
знаменитая апория  "Ахиллес и черепаха". Суть  ее  сводится  к состязанию  в
беге: если черепаха стартует первой, Ахиллес никогда не сможет  ее  догнать,
ибо, пока он покрывает расстояние от места  старта  до того места, где в тот
момент   находилась  черепаха,   та  успевает  переместиться   на  некоторое
расстояние, и пока Ахиллес его преодолеет, она уйдет еще вперед, и так далее
до бесконечности. Следовательно, Ахиллес никогда не нагонит черепаху.
     Теперь я должен сделать два признания: 1) в мою бытность ребенком  я не
сумел самостоятельно обнаружить ошибку в этом рассуждении; 2) вспомнив вчера
эту историю, я опять не смог найти в ней ошибку. Правда, впервые услышав ее,
я  сразу же понял объяснение учителя. По-видимому, в данном  отношении  я не
поглупел, так как, подглядев вчера аналогичное объяснение  в книге, я  опять
его понял. Ошибка здесь кроется в путанице между "бесконечностью"  возможных
делений  на  части  конечного  расстояния,  как  утверждается  в  логической
посылке,  и  той "бесконечностью", о которой говорится в  логическом выводе,
тоже  связанном с  этим  расстоянием.  По существу, это просто семантическая
ловушка.
     Должен также  признаться,  что  профессиональному  ученому  в  какой-то
степени  унизительно осознавать,  что  он  не  в состоянии  найти  ошибку  в
рассуждении, которое  во всем  мире используется в качестве  обязательного и
стандартного умственного  упражнения для школьников. Но  я люблю  учиться на
своих ошибках и поэтому попытался  проанализировать возможные причины своего
фиаско.
     Даже  после  того  как  мне  объяснили ошибку  и  я ее понял, я не  был
удовлетворен  решением.  Зенон  был  великим  философом, а все-таки  не смог
обнаружить ошибку в своем  парадоксе. И  у меня  есть тайное подозрение, что
мой  школьный  учитель   тоже   не  сам   ее  нашел.  Разумеется,   какой-то
профессиональный философ все-таки отыскал решение, иначе откуда оно попало в
книгу?  Мне неизвестно, кто был этот философ, возможно Аристотель, поскольку
он любил поговорить о  парадоксах Зенона. Но кто бы это ни был, я сомневаюсь
в  том, что ему удалось бы преуспеть в медицине. Биологу  из опыта известно,
что быстродвижущиеся  объекты перегоняют объекты,  движущиеся  медленно.  Он
настолько уверен, что  Ахиллес догонит черепаху, что просто не в состоянии с
должным  энтузиазмом  озадачиться тем,  как  это Зенон  ухитрился  сам  себя
запутать.  Быть может, биологу такое безразличие в  целом простительно,  ибо
если он станет тратить  свою энергию на решение  апорий Зенона, кто же тогда
будет изучать биологию черепахи?



     Надеюсь, мне удалось показать читателю,  что гораздо проще избежать тех
заблуждений, которые могут помешать биологу в его повседневной  работе, если
руководствоваться  здравым смыслом и  опытом, а  не  полагаться во  всем  на
глубокомысленные  логические размышления. Поэтому я отобрал для специального
рассмотрения серию опасных  ловушек,  иллюстрирующих печальные, но правдивые
истории об ученых, угодивших в них (в большинстве случаев это был я сам).  В
конечном счете все эти разнообразные заблуждения распадаются на три  группы,
которые можно  было бы  назвать: 1) "мираж  -- нечто  увиденное перевернутым
вверх ногами"; 2) "зеркальное отражение" и 3) "отвлекающие уловки". Вот  вам
мой совет в связи с этим.
     Учитесь сосредоточиваться  -  невзирая ни  на  какие уловки, западни  и
миражи - сначала на выборе темы, достойной исследования, а потом, когда ваша
работа закончена,- на оценке ее истинного значения.
     Помните, очень  легко попасть в  ловушку и не  заметить того, что  ясно
предстанет перед вами, но
     в перевернутом виде:
     
     отраженным в зеркале:
     
     или с крохотной отвлекающей уловкой
     
     и тогда вы упустите его
     .
     Все  эти  слабости  аналитического  аппарата  нашего  мозга  уже  давно
известны психологам, но, подобно другим, более приятным слабостям плоти, они
продолжают "нарушать порядок", ибо противостоять искушению трудно. Для этого
одного  знания  недостаточно. Если  только страшная участь  тех из нас,  кто
попался  в  эти ловушки, послужит  предостережением  для других,- мы обретем
право сказать: "Нет мы пали не напрасно!"







     Образование  создало огромное  количество людей,  способных  читать, но
неспособных определять, что достойно чтения.
     Джордж Тревельян

     Но вот уже много лет, как я не могу заставить себя  прочитать ни  одной
стихотворной строки поэзии; недавно  я попробовал  читать  Шекспира, но  это
показалось мне невероятно, до отвращения скучным. Я почти потерял также вкус
к живописи и  музыке. Вместо того чтобы доставлять мне удовольствие,  музыка
обычно  заставляет меня особенно напряженно думать о том, над чем я в данный
момент работаю.  У меня  еще сохранился некоторый  вкус к красивым  картинам
природы, но  и  они уже  не приводят меня в  такой чрезмерный восторг, как в
былые годы. С другой стороны, романы, которые являются плодом фантазии, хотя
и фантазии  не очень высокого порядка,  в течение уже многих  лет служат мне
чудесным  источником  успокоения и удовольствия, и я часто благословляю всех
романистов.  Мне прочли  вслух  необычайное  количество романов, и  все  они
нравятся мне, если они более или менее хороши и имеют  счастливую развязку,-
нужно было  бы, издать закон, запрещающий  романы с печальным концом. На мой
вкус,  ни один роман нельзя считать первоклассным, если  в нем нет  хотя  бы
одного  героя,  которого  можно по-настоящему полюбить, а если  этот герой -
хорошенькая женщина, то тем лучше.
     Эта  удивительная  и  достойная  сожаления  утрата  высших эстетических
вкусов тем более поразительна, что книги по истории, биографии,  путешествия
(независимо от  того, какие  научные  факты в  них  содержатся) и статьи  по
всякого рода вопросам по-прежнему продолжают интересовать меня. Кажется, что
мой ум стал какой-то машиной, которая перемалывает большие собрания фактов в
общие  законы, но я не в состоянии понять, почему это должно было привести к
атрофии одной  только  той  части  моего  мозга, от  которой зависят  высшие
эстетические вкусы.
     Чарльз Дарвин

     Классика - это нечто такое,  что каждый хотел  бы прочесть, но никто не
хочет читать.
     Марк Твен





     Какое количество специальной  литературы вам следует читать, зависит от
изучаемого вами предмета  и от  вашей личности, а в конечном счете только от
вашей личности.
     Создается   впечатление,   что   ученый,   интересующийся  сравнительно
небольшой,  строго  ограниченной   областью  исследования,  должен  охватить
меньшее количество литературы, нежели его коллега, изучающий обширную  тему.
Но  в науке нет  небольших,  ограниченных областей  - есть только небольшие,
ограниченные  ученые. В  природе  каждая область  сливается  с соседними,  и
только  от вас  - и в значительной  степени от вашей  способности к чтению -
зависит, где именно пройдут границы ваших интересов.
     В  1937  г., когда  впервые  было описано  анафилактоидное  воспаление,
охватить всю мировую литературу по этому предмету было  совсем нетрудно - ни
одной публикации  не  существовало. Теперь, спустя более чем  четверть века,
все еще  имеется  лишь  около пятисот  статей, специально  посвященных  этой
реакции. Ученый, который в 1937 г. решил бы заняться этой  темой,  при таком
небольшом  числе публикаций за столь многие  годы  наверняка не испытывал бы
затруднений в том,  чтобы постоянно следить за ними. Даже хорошо "переварив"
только  пятьсот  статей, он  смог бы  рассчитывать на  получение собственных
интересных результатов. Но  его  потенциальные возможности как исследователя
наверняка увеличились  бы  в  огромной степени, если  бы он следил  также за
смежными   областями  исследований.  С   течением  времени  выяснилось,  что
анафилактоидное воспаление  может вызываться различными агентами.  Возникают
следующие  вопросы:  каковы  существенные  фармакологические  свойства  этих
"анафилактоидогенов",  какие  общие   химические  или  физические   свойства
объясняют их своеобразное воздействие? Ответ такой: в органах, находящихся в
состоянии  шока  и  подвергшихся  воздействию  анафилактоидогенов,  серьезно
повреждены тучные клетки. Сразу же возникает другой вопрос: что еще известно
об этих тучных клетках? Ответ на этот вопрос  вынуждает нас заняться поиском
литературы, и  глубина этого поиска доходит  до того момента, когда сто  лет
назад  Эрлих  открыл   тучную  клетку.  Мы   выясняем,  что   тучные  клетки
вырабатывают гистамин, серотонин и гепарин, и начинаем гадать, не  играют ли
эти соединения  определенную роль в анафилактоидном воспалении. Какова связь
между  анафилактоидным  воспалением  и   анафилактическим  шоком  или  между
анафилактическим шоком и другими реакциями повышения чувствительности?
     Цепочке вопросов, поднимаемых одним-единственным новым наблюдением, нет
конца, и  поскольку  "судьба улыбается  только  дерзающему",  чем  больше вы
знаете,  тем   больше   вероятность   того,   что  вы   откроете  что-нибудь
значительное.  Чем больше вы  знакомитесь с литературой,  не имеющей прямого
отношения к вашей специальности, в том числе с философской и художественной,
тем более обостряется ваша способность к значимым открытиям.
     Однако точно так же, как в лабораторной работе чрезмерные приготовления
к  открытию  порождают  своеобразный  "технический  фанатизм"   (бесконечное
усовершенствование  исследовательской аппаратуры, но не самих исследований),
так и  неуемное  стремление  к  повышению своей эрудиции,  совершенствованию
своего интеллекта превращает человека в "книжного червя", "кладбище знаний".
На практике  чрезмерная  эрудиция  порой  становится  серьезным препятствием
творческой деятельности. Как здесь не вспомнить о простаке, который не знал,
что этого сделать нельзя, и потому сделал это!
     В изучении литературы всегда должна существовать граница между "слишком
мало" и "слишком много". В отличие от мнения большинства психологов я твердо
убежден в том, что человеческий мозг располагает ограниченным  пространством
для запоминания  информации, которое быстро переполняется, по крайней мере в
той его части,  где информация еще извлекаема. После заполнения этой области
каждый  новый факт, который вы туда "запихиваете",  выталкивает какой-нибудь
другой факт на задворки, откуда  его можно извлечь на свет божий только  при
значительном  усилии. В моей памяти, например, один иностранный язык может с
успехом замещать другой.
     Я  довольно  прилично говорю по-испански и  по-итальянски, но если  мне
приходится читать серию лекций на итальянском, мой испанский "ускользает" от
меня и восстановить его можно  только практикой. Точно так же "ржавеет"  мой
итальянский, если  я слишком много пользуюсь  испанским. (Забавно, но это  в
меньшей  мере  касается  языков, принадлежащих  к разным  языковым  группам;
например, чтение  лекций  по-русски  не причиняет ни  малейшего вреда  моему
венгерскому и немецкому, но наносит ущерб чешскому.)
     При чтении, так же как при поглощении пищи, чувство насыщения находится
в  прямой  зависимости  от аппетита  - поглощать  литературу  можно только в
строгом соответствии со своими возможностями. При первом появлении симптомов
"переедания"  следует   немедленно  остановиться.   К  счастью,  запоминание
информации можно значительно облегчить с. помощью некоторых приемов, которым
человек обучается на протяжении жизни. Вот некоторые из них.
     Не старайтесь запоминать то, что вам в ближайшее время не понадобится,-
запомните  только,  где  это  можно отыскать. Если вы  в  данный  момент  не
работаете  с  гистамином, например,  а  вам попалась  на  глаза  статья  или
монография по этой тематике, просто пролистайте  материал, чтобы определить,
заслуживает ли он внимания. Если да, то  сделайте соответствующую пометку  в
своей картотеке. Если через неделю или десять лет  вам понадобятся материалы
по гистамину, то, обратившись к соответствующему  разделу картотеки, вы. без
труда найдете нужную работу.
     Я настойчиво рекомендую делать такого рода  пометки и  записи не только
для  запоминания публикаций, но и  почти во всех случаях  жизни. По  крайней
мере  в  нашем  институте  мы  всегда  носим   в  нагрудных  карманах  своих
лабораторных халатов  записные  книжки и  карандаши,  с  тем чтобы  в случае
необходимости сделать нужную запись, не  прерывая основной работы. Например,
во время наших  ежедневных обходов может появиться  запись  о  необходимости
заказать  какой-либо  препарат,  проверить фразу в рукописи,  начать тот или
иной  эксперимент или  пополнить свои знания  по какому-то предмету; хранить
всю эту информацию мы доверяем  записной  книжке,  чтобы  иметь  возможность
использовать ее в  будущем.  Она  более надежно  хранит информацию, чем  наш
мозг, и к тому же без ущерба для других занятий.
     Либо  читайте,  либо  перелистывайте  материал, но не  пытайтесь читать
быстро. Сейчас во всех американских учебных заведениях обучают  скорочтению.
Считается, что это экономит время, но я опасаюсь, что это "экономит" также и
знания. Возможно,  я несколько  субъективен, поскольку сам читаю  безнадежно
медленно.   Однако,  поговорив  со  своими   коллегами,  я   обнаружил,  что
большинство из них жалуются на тот же недостаток - неумение быстро читать. А
может быть, это вовсе не  недостаток? Если текст меня интересует, то чтение,
размышление  и  даже  фантазирование  по  этому поводу  сливаются  в  единый
процесс,  в  то  время как вынужденное скорочтение не только не способствует
качеству  чтения, но  и  не  приносит  чувства  удовлетворения,  которое  мы
получаем,  размышляя  о  прочитанном.  С  таким  же  успехом   мы  могли  бы
рассчитывать на увеличение музыкальных  способностей человека, предложив ему
прослушивать  магнитофонные  записи со  скоростью, в  пять  раз  превышающей
нормальную. Вот  мой  совет: никогда не  пытайтесь  читать  быстрее, чем  вы
считаете  нормальным  для  себя, всегда отводите время  для размышлений  над
прочитанным и на аналогичные темы. Для меня чтение - это своеобразный каркас
для  размышлений об основной  работе и о  будущих  экспериментах. Никогда не
скажешь себе: "Ну, теперь думай  об интересном  эксперименте". Идеи приходят
сами  по себе  по  мере того,  как  вы соединяете  чьи-то  мысли  со  своими
собственными, неторопливо читая чужой текст.
     Но в то  же время, если  вы хотите быть на  уровне последних достижений
(или по крайней  мере держать на этом уровне свои картотеки), вам необходимо
предаваться  массированному  чтению.  Это  уже  совершенно  иной  умственный
процесс:  вы  просто  перелистываете  страницы в поисках информации, которая
может оказаться полезной. Берете новый текст, например, и просто знакомитесь
с его заглавием. Если оно не  дает  вам  достаточной информации, вы  читаете
аннотацию. Затем, если описываемая методика представляет для вас интерес, вы
обращаетесь к разделу  "Материалы и методы". Но  никогда не пытайтесь быстро
прочесть весь текст. Все, что в нем есть важного, можно в течение нескольких
секунд перенести  в каталожную карточку  с  помощью простых условных знаков,
которые вы всегда сможете расшифровать в случае необходимости.
     Вот  такому  типу  массированного чтения мы  учим  наших  библиографов,
которые систематически обеспечивают поступление в библиотеку института самых
свежих публикаций.  И они  используют  эти навыки с немалой пользой.  Кстати
сказать,  большинство из них  даже не являются врачами и от  них  не следует
ожидать профессионального владения всеми навыками, которые необходимы нашему
научному  персоналу. Они работают с  текстом особым образом - примерно  так,
как  это  нужно   при   подготовке  предметных  указателей.  Их  составители
приобретают поразительную  способность выявлять ключевые слова, не делая при
этом  ни  малейших  попыток понять  текст.  Чтобы обучиться этому искусству,
возьмите  какой-нибудь  журнал  и  попробуйте  просмотреть  страницу  сверху
донизу,  прикрывая  текст  каталожной  карточкой  и  перемещая  ее  по  мере
просматривания.  Подобную  операцию можно  научиться делать очень быстро, не
теряя  ни  одного  ключевого  слова,  подлежащего  индексации.  Можно  также
повысить чувствительность восприятия к определенным  наиболее важным словам,
и они  будут избирательно  фиксироваться  в  вашей голове  по мере просмотра
текста. Некоторые  библиографы  проделывают  эту  операцию  и без  карточки,
пользуясь  методом  "диагонального  чтения" - из левого  верхнего  в  правый
нижний угол страницы.
     Кроме указанных видов чтения, я бы рекомендовал внимательно прочитывать
последние издания,  учебников по предметам, не связанным  непосредственно  с
вашим собственным.  Учебники, как  правило,  содержат квинтэссенцию наиболее
важных и надежных фактов в достаточно широкой области, и потому они являются
превосходным  средством  поддержания  общей  научной  культуры  специалиста,
работающего в той  или  иной  ограниченной области  медицины. В  этом случае
наиболее   рациональным  будет  диагональное   чтение,  за  исключением  тех
разделов, которые представляют для вас интерес,- их следует читать не спеша.




     Относительно  чтения  неспециальной  литературы   не  существует  общих
рекомендаций.  Большинство  ученых  читают   примерно  то  же,  что   и  все
образованные  люди.  К  сожалению,  научная работа  -  столь  всепоглощающее
занятие, что многие  исследователи попросту не  читают ничего, кроме научных
текстов. Некоторые не читают даже газет.  Правда, есть  и такие, кто вечером
берет с собой в постель в качестве успокаивающего  или снотворного детектив.
С большим удивлением я узнал, что некоторые величайшие ученые нашего времени
на  досуге не читают ничего, кроме детективных романов. Я и сам пытался этим
заняться,  но  безуспешно.   Разумеется,  среди   ученых  есть  и  страстные
почитатели  поэзии   и   классики,  но  какой-либо   связи   между   научной
квалификацией ученого и его литературными вкусами мне обнаружить не удалось.
     Огромную  воспитательную роль,  особенно  для  молодых  исследователей,
нередко играют биографии  великих  ученых и художественные  произведения  на
темы науки.  Я  никогда  не  забуду  тот  колоссальный  эмоциональный заряд,
который  я   получил  после  прочтения  биографин  Луи  Пастера,  написанной
Валлери-Радо{40},  сочинения  Клода Бернара, в  котором  тот  излагает  свой
принцип изучения  экспериментальной медицины и  которое  является.  по  сути
дела, его  научной автобиографией, или романа  Синклера  Льюиса "Эрроусмит".
(Из бесед с коллегами я вынес  убеждение, что эта  последняя книга послужила
для  молодых ученых  всего  мира  одним  из  величайших стимулов  к  научной
деятельности, хотя  ее  автор  не был ученым,  а  сюжет  -  всего  лишь плод
воображения.)
     Лично  я  читаю всякого рода  неспециальную литературу только в постели
перед сном,  но  занимаюсь этим ежедневно в течение всей своей жизни. Поэзию
воспринимаю  только в малых  дозах,  очень люблю хорошие  романы, биографии,
автобиографии, философские произведения  и - как вы,  быть может, заметили -
афоризмы.  Я испытываю сильную антипатию  к переводам (возможно, потому, что
некоторые  из моих собственных книг были  переведены отвратительно), поэтому
все,  что  могу,  читаю  на  языке  оригинала.  Эта  привычка  приносит  мне
дополнительное удовольствие,  так как мне  нравятся  языки  как  таковые.  Я
нахожу,  что ничто не в  состоянии дать мне большего  разнообразия мыслей  и
чувств, так полно познакомить меня  с культурой другого  народа, чем  чтение
книг в оригинале  или беседы  с людьми на  их  родном языке, который  служит
средством  самовыражения  и  моим  собеседникам, и авторам прочитанных  мною
книг.
     Когда я  читаю  какую-нибудь  забавную  историю,  анекдот  или  ходячее
выражение, особенно характерные для другого народа и  его культуры, я  ловлю
себя на мысли о своем родстве с этим народом и думаю: "Ну совсем как мы..."







     Не пишет вовсе тот, чьи поэмы никто не читает.
     Марциал

     ...ибо очевидно,  что  мне  не  удалось произвести  впечатление на моих
читателей; однако именно тому,  кто  сумел  добиться  этого,  и  должна быть
отдана, по моему мнению, вся честь открытия.
     Чарльз Дарвин


     В  этой   главе  я  попытаюсь  сформулировать   несколько   предложений
относительно   эффективного   использования  учеными  письменного  слова   и
иллюстративных средств. Мои  соображения будут основываться  преимущественно
на личном опыте медицинских исследований, но в такой же мере они применимы и
к  другим  наукам  и даже, хотя и  в  меньшей  степени, ко  всей литературе,
исключая, впрочем, беллетристику.



     Существует много детальных  руководств  по написанию научных трудов  по
медицине. Здесь же  мне  хотелось бы  обсудить  вопросы, с которыми я  и мои
ученики сталкивались наиболее часто в нашей сочинительской практике.
     Для кого  вы  пишете? Когда вы решаетесь  написать  что-либо,  будь это
просто  письмо или  целая  энциклопедия, прежде  всего надо спросить  самого
себя:  "Кто  должен  и  кто  будет  это читать?"  Не  существует всесторонне
совершенных  сочинений,   в  лучшем  случае  они   совершенны   только   для
определенного круга  читателей.  Основная  ошибка  начинающих ученых - когда
присланная  ими статья не соответствует профилю журнала или  когда общий тон
статьи  противоречит тому, к чему  привык  читатель  этого  журнала. В числе
обычных ошибок  - обращение  к читательской аудитории  свысока  или излишнее
многословие вместо сжатого и делового изложения, и наоборот. Мы поговорим об
этом в  связи  с различными средствами изложения результатов работы ученого.
Выбрав  подходящую  аудиторию,  старайтесь   следовать  традиционному  стилю
изложения  избранного  вами средства  информации, особенно в тезисах  устных
докладов, статьях для научных журналов и  диссертациях на  соискание  ученой
степени. Гораздо  меньшая степень конформизма допустима в обзорных статьях и
еще меньшая - в монографиях, если они не  являются очередным томом серийного
издания.
     Когда  следует писать?  Разумеется, писать следует тогда, когда есть  о
чем  писать.  Но  проблема  не  так  проста.  Если  только  вы  не   сделали
поразительного,  совершенно  нового  и  простого наблюдения,  которое  легко
поддается  описанию,  то  перед тем, как  приступить  к  написанию  научного
текста, необходимы многочисленные и утомительные приготовления. Надо собрать
все  протоколы  экспсриментов, обработать результаты и свести  их в таблицы,
подобрать схемы  и  фотографии.  В  процессе  этой  подготовительной  работы
обязательно  выясняется,  что  часть данных  представлена неполно, а  потому
необходимо провести дополнительные эксперименты.
     Я бы посоветовал  описывать основные результаты каждого  эксперимента -
удачного или нет,- как только  он закончен, и надлежащим образом хранить эти
описания, чтобы при необходимости ими легко можно было воспользоваться. Даже
схемы,   графики  и  фотографии  относящиеся  к   интересным,  но   еще   не
опубликованным данным, следует готовить  в  процессе  работы.  Особенно  это
касается фотографий, которые иллюстрируют какой-либо наиболее "фотогеничный"
эксперимент, так  что повторить его только ради получения нужных иллюстраций
чрезвычайно трудно. Разумеется, если действовать таким образом, то некоторая
доля усилий неминуемо будет затрачена  впустую, ибо не  весь зафиксированный
материал войдет в публикацию. Но  тем не  менее такой систематический подход
вполне себя оправдывает. Хотя поддержание  порядка в постоянно обновляющихся
рабочих материалах  и потребует от вас некоторых усилий, зато та легкость, с
которой впоследствии  их  можно будет преобразовать в рукопись, послужит вам
щедрой наградой. И что, быть может, еще важнее, такая "бухгалтерия" помогает
планировать исследования, давая исчерпывающую картину ситуации, в которой вы
находитесь в каждый данный момент.
     Я уже устал от авторов, которые  постоянно жалуются на то, что накопили
массу   материала,  но  никак  не  могут  выкроить   время,  чтобы  написать
соответствующие  статьи. При  этом  они  руководствуются, разумеется, только
интересами дела,  а  никак не собственной  выгодой. В действительности же  в
большинстве случаев они просто не  могут привести в порядок  свои неряшливые
записи.
     До тех пор  пока  свидетельства  в  пользу  какого-либо научного  факта
недостаточны,  публикацию следует отложить. Но в  то же время одна из  очень
распространенных  слабостей  ученого   -   искать  спасения  в   бесконечном
повторении  какого-то  одного эксперимента  или же  в неоправданном уходе от
темы (то же касается административного, преподавательского и любого  другого
вида деятельности);  все что  угодно,  лишь  бы отсрочить тот страшный  миг,
когда  нужно  съесть и  вымучить  из себя  рукопись!  Все  дело  в том,  что
настоящий  ученый любит предельную ясность, и им  владеет  предчувствие, что
как только он начнет писать, отсутствие ясности и системы в его записях - и,
боже сохрани, даже в экспериментах! - станет мучительно очевидным.
     Я  намеренно излагаю свои мысли  столь  грубо  и откровенно, чтобы  вы,
читатель,  осознали, что  они  относятся  именно к вам. Надеюсь, что теперь,
когда ваши ухищрения обнародованы, вам будет  совестно и дальше "тянуть кота
за хвост".
     А  когда вы уже  преодолели  все препоны и решились начать, подготовьте
свои заметки,  справочный и иллюстративный  материал и общий  набросок того,
что намерены сообщить, за день до начала работы. Первые шаги самого процесса
писания  (так  же как и  первые фразы  устного выступления) - самые трудные.
После того  как этот барьер  преодолен, все  пойдет по инерции. Не начинайте
работу если вы утомлены предварительными  приготовлениями  пусть накануне  у
вас будет  достаточно  времени, чтобы привести  все  в  полную готовность. А
потом, рано утром, начинайте на свежую голову.
     Все эти приемы  могут  помочь  ускорить  процесс написания, но  главная
опасность  в  том,  чтобы  не начинать  писать  слишком  рано, когда  автору
недостает аргументов,  а  энтузиазма  предостаточно.  Я  не  говорю  об этом
специально только потому, что это условие очевидно.
     Заголовок и  подзаголовки.  Как ни  важно направить статью  в  наиболее
подходящий журнал, еще важнее  продумать  ее название, ибо на  него  и будет
ориентироваться ваш потенциальный читатель. Даже если журнал не очень широко
известен, заглавие вашей  статьи будет  упомянуто в реферативных  журналах и
библиографических перечнях других публикаций по сходной тематике.
     Заглавие научной статьи должно быть кратким, но в то же время полностью
отражать ее содержание. Насколько это возможно, оно должно отражать проблему
в целом, а не  конкретные методики и примеры, использованные при ее решении.
Статья  "Методика   удаления   гипофиза  у   карликовой  мыши"  должна  быть
озаглавлена именно так, если основной целью работы была разработка процедуры
такой операции  для данного конкретного вида животного. В то же время работа
"О  влиянии  формалина, пентаметилентетразола  и  интенсивной принудительной
мышечной работы  на надпочечники  у белых крыс"  озаглавлена неудачно,  хотя
автор, желая изучить гистологические изменения, происходящие в надпочечниках
во время стресса,  использовал эти конкретные стрессы и этот  конкретный вид
животных только потому, что они оказались под  рукой. Если  даже он и не был
уверен, что использование других  стрессоров или других  видов животных дает
те же  результаты,  то  все равно более  удачным  был  бы заголовок "Влияние
стресса на гистологическую структуру надпочечников".
     Насколько это  возможно,  заголовок  статьи должен  быть  понятен  даже
неспециалистам и лицам, слабо владеющим  английским - только  тогда он будет
иметь  смысл для  широкой  международной  читательской аудитории.  Например,
лучше  использовать  краткие  родовые названия  препаратов,  чем  их длинные
химические   обозначения   или   запатентованные   названия.  Лучше   писать
"церебральный"  -  благодаря  латинскому  корню   это  будет  сразу  понятно
иностранному читателю,- чем "мозговой".
     Нет никакой необходимости начинать  заглавие всевозможными "К вопросу о
некоторых..."  или "Об  исследовании проблем, относящихся к...". Если работа
посвящена "Анафилаксии у крыс", то это и есть самое подходящее заглавие.
     В оригинальных статьях среднего  объема  обычно  не нужны подзаголовки,
кроме   таких  традиционных,  как   "Материалы   и  методы",   "Результаты",
"Обсуждение  результатов",  "Выводы"  и  т. п.  Впрочем, если  надо  описать
несколько  существенно  различных  экспериментов,  то   их  можно   выделить
отдельными подзаголовками, по крайней мере в разделе "Результаты". В длинных
же статьях  довольно  трудно пробираться сквозь все новые и  новые  страницы
текста  и иллюстраций,  если  они не  разделены  подзаголовками,  которые бы
подчеркивали  общую  структуру материала.  В ряде  случаев  полезно выделять
ключевые   слова   жирным  шрифтом   или  курсивом.  Это  помогает  читателю
воспринимать  в  каждый  моент один  смысловой  отрывок.  Кроме  того, вновь
просматривая  уже прочитанную статью, читатель с помощью подзаголовка найдет
нужный  раздел,  не  читая   заново  всего  текста.  Разумеется,   правильно
расставленные  подзаголовки  в  работах  значительного  объема,  таких,  как
диссертация, обзор или книга, играют еще большую роль.
     Используемый   словарь.   Здесь  девизом  должны  быть   "простота"   и
"точность".  Не  надо бояться использования необычного слова, если оно лучше
любого  другого может  выразить  вашу мысль. Слово "сребролюбивый" не  часто
услышишь в обыденной речи, но если бы мне пришлось писать об ученом, который
перешел на работу  в фирму  по  торговле лекарствами только потому,  что там
хорошо платят,- лучшего  слова мне не  выдумать, и я бы использовал  его без
колебаний.
     Приемлемы даже разговорные выражения, если они выразительны, но жаргона
(в  том  числе принятого в клиниках и  лабораториях) следует избегать, хотя,
разумеется, не ценой излишнего многословия и туманности изложения. Выражение
"острый живот" - это лингвистический кошмар, но при неоднократном упоминании
этого  симптома в письменном тексте я не могу придумать ему более подходящей
замены, чтобы она не звучала надуманно.
     Следует  избегать различных  вошедших  в  привычное  употребление  форм
преувеличения,  скажем  описания каждого значимого изменения как "заметного"
или  "явно  выраженного".  Точно  так же  не стоит  говорить  о  "тщательном
обследовании"  или  "высокоточном  взвешивании",  если  это  обследование  и
взвешивание выполнялось обычным образом.
     Руководствуясь  похвальной  скромностью,  некоторые авторы  доходят  до
крайностей  в  отчаянных  попытках избежать употребления местоимения "я". На
мой взгляд,  все зависит от  того, как часто говорят "я"  и  в  какой связи.
"Автор данного  сообщения был не прав" звучит, конечно, весьма изысканно, но
вряд ли более скромно, чем: "Я был не прав".
     Неологизмы.   Слишком   многие   ученые,   говоря   словами    Р.    У.
Эмерсона[СК1]{41},  "и не  любят, и не знают тех цветов, которые собирают, и
все их ботанические познания - одни лишь мудреные латинские названия".
     Неологизмы  являются  обычной  и  неотъемлемой принадлежностью научного
языка и потому заслуживают  особого внимания. Каждое  новое материальное или
общественное явление должно  получить имя,  так  как неудобно при каждом его
упоминании  заново  давать исчерпывающее описание  всех  его  характеристик.
Невозможно  всякий раз, упоминая сонную  артерию или явление кальцифилаксии,
заново  их  определять.  И  хотя  это  самоочевидно,  существует  устойчивое
неприятие неологизмов.  Особенно  затруднительно привыкать  к новым терминам
тем  людям, у которых не  было возможности изучить  иностранные  языки. В их
глазах такие термины выглядят  либо  нелепыми (благодаря их  непривычности),
либо   вычурными,   так   как   в   медицине  большинство   терминов   имеют
греко-латинские корни. Разумеется, изобретение  новых названий может вызвать
путаницу.  Неся  ответственность за создание некоторого их  количества  (как
названий,  так и  случаев путаницы), я очень хорошо  это осознаю. В разделе,
посвященном заблуждениям,  мы имели случай убедиться, что  названия  классов
явлений могут стать источником серьезных недоразумений.
     Несомненно, новые термины  следует изобретать, только  если  без них  в
самом  деле  нельзя  обойтись. Оправданное  в  целом  неприятие  неологизмов
объясняется  в  первую  очередь  творчеством  тех авторов, которые  ввели их
просто для того,  чтобы "расписаться" на чем-либо, что  вовсе не заслуживало
специального имени. Хорошей иллюстрацией этому явлению служат многочисленные
клинические  синдромы,  представляющие  собой  незначительные  видоизменения
известных заболеваний. Синдром, доселе  характеризовавшийся тремя  основными
симптомами  и  вновь  наблюдающийся  в  сочетании  с  четвертым, очень редко
заслуживает переименования.
     Если же новые имена все же даются, их необходимо строить в соответствии
с   определенными   и  хорошо   испытанными   лингвистическими   принципами.
Произвольным буквенным сочетаниям или имени  открывателя следует предпочесть
термин, заключающий  в себе свое  собственное объяснение, да еще желательно,
чтобы он был понятен ученым других стран и чтобы его было несложно перевести
на другие языки. Вот почему лучше всего начать с поиска знакомых греческих и
латинских  корней,  широко  используемых  в  биологии.  Некоторые  поборники
чистоты языка  яростно  протестуют  против  составных  терминов,  в  которых
участвуют  и латинские, и греческие корни. Если только  это оправдано, таких
гибридов  действительно  следует  избегать,  но  не ценой  надуманности;  я,
например,  предпочитаю   говорить   "аппендицит",  а   не   "перитифлит"   и
"адренотропный", а не "эпинефротропный".
     Мне пришлось столкнуться со значительной оппозицией моему использованию
слов  "стресс"  и  "стрессор"  для  обозначения  соответственно "суммы  всех
неспецифических  изменений, вызванных функцией или повреждением", и  агента,
обусловливающего такие изменения. В качестве аргумента  приводился тот факт,
что термин "стресс" уже используется в физике в несколько ином смысле; кроме
того,  он постоянно используется  в  разговорном английском для  обозначения
круга  явлений,  связанных  с усталостью.  Впрочем,  этот термин был  весьма
быстро и повсеместно принят в  его  новом, строго определенном биологическом
смысле,  а  этот  факт  позволяет  усомниться  в  том,   что  какое-то  иное
обозначение оказалось бы более удовлетворительным.  И все же  не  исключено,
что  даже  в  этом  случае было  бы  лучше  избрать термин  греко-латинского
происхождения.
     Несколько  лет  назад я  предложил термин  "кортикоид"  (от  латинского
"кортекс", т. е. "кора",  и греческого суффикса  "оид",  означающего подобие
чему-либо)  в  качестве обобщающего  названия  для  "тех  гормонов,  которые
имитируют физиологическую функцию коры надпочечников". За это меня отчитали,
ибо вообще "...попытки изобретения новых  терминов людьми,  для которых язык
не  является родным,  очень опасны...". В  свое оправдание я сделал невинное
замечание,  что  прогресс науки  сильно  застопорился бы,  если бы  право на
придумывание греко-латинских научных терминов  признавалось только  за теми,
кто может считать греческий и латинский своими родными языками [Селье, 19].
     Таблицы.  Расположение данных в форме таблиц является одним из наиболее
эффективных  средств  их подготовки для  сравнения и оценки. При  разработке
таблиц  следует всячески экономить место - не только потому,  что  стоимость
набора  таблицы гораздо выше, чем страницы текста, но также и потому, что их
главной целью является сжатое представление данных. Принципы конструирования
таблиц содержатся в соответствующих руководствах.
     Рисунки  и  фотографии.  Таблицы,  графики и диаграммы  призваны давать
точную  информацию  для  подтверждения  количественных  взаимосвязей   между
явлениями. В отличие от  них большинство рисунков и фотографий предназначены
для  иллюстрации  качественных, а не точных  количественных  аспектов, и они
способны  выполнять  эти  функции  достаточно  хорошо  за   счет   некоторых
преувеличений,   подчеркивающих   наиболее  важные   моменты.   К   примеру,
схематический   рисунок,   иллюстрирующий  влияние  некоторого   гормона  на
различные  органы, не  обязательно  - да и  не  нужно  -  делать в  реальном
масштабе.  Атрофированный  орган  должен  изображаться  гораздо  меньшим,  а
гипертрофированный - гораздо большим, нежели это имеет место на  самом деле,
с  тем  чтобы  сделать  различия более  очевидными. Рисунок только  помогает
наглядно изобразить или  интерпретировать факты,  уже доказанные в тексте  и
представленные  количественно в виде таблиц, графиков  или диаграмм. Поэтому
редко  возникает необходимость  давать  один  и  тот же  материал и в  форме
таблиц,   и  в   графическом   изображении.  Представленные   таким  образом
количественные данные могут быть с успехом обобщены на рисунке, который, как
и карикатура, подчеркивает наиболее характерные черты.
     Почти то  же  самое можно сказать и о  фотографиях.  Фотография  должна
показывать  не средние измерения, но такие, которые лучше всего иллюстрируют
происходящий  процесс,  если, разумеется,  это ясно представлено  в  тексте.
Скажем,   иллюстрируя   инфаркт   миокарда,   нам  вовсе   не   обязательно,
руководствуясь неверно понимаемой  научной честностью,  выбирать стандартный
тип  заболевания, если к тому же цвет и расположение  органов неблагоприятны
для  фотографирования.  Гораздо  лучше  использовать  образец,   в   котором
происшедшие изменения заметны наиболее отчетливо.
     Ссылки. Кроме как в обзорных статьях и в  библиографической литературе,
ссылки  должны  сводиться  к минимуму,  необходимому  для должного признания
более  ранних исследований и для того,  чтобы была ясна  основа,  на которой
зиждется новая работа. Ссылки  следует также использовать вместо пространных
описаний сложных экспериментальных процедур, которые уже описывались. Только
новичков  восхищает  собственная  способность  приводить  огромный  перечень
литературы, к которому читатели все равно обращаются весьма редко.
     Диссертация
     Этиология  и профилактика  "диссертационного  невроза". Если  в  период
написания    диссертации   экспериментальная   работа    молодого    ученого
продолжается,  а уровень руководства ею ниже желаемого, то  постоянная смена
видов работы и неопределенность ее конечного результата неминуемо приводят к
серьезному  умственному  расстройству,  которое  в нашей лаборатории  обычно
именуют "диссертационным неврозом". Диссертант теряет уверенность в себе и в
своей  работе,  становится  подавленным,  нервным,  легковозбудимым  и часто
раздражается  из-за  все  более  лихорадочных и  потому  безуспешных  усилий
закончить  работу  к  назначенному  сроку. Он  теряет объективность в оценке
результатов, особенно тех, которые угрожают  свести на нет большие разделы и
без того с трудом подготовленной рукописи.
     Другой  важный фактор возникновения  "диссертационного  невроза" -  это
неспособность новичка  сконцентрироваться  на процессе  писания, работать не
разгибая спины до тех пор, пока  объемистый текст  не будет закончен. Каждый
раз, излагая свои мысли на  бумаге  и натыкаясь на непредвиденные трудности,
он ищет спасения "на стороне" - или в еще одном эксперименте, или в оказании
услуги  родственнику или другу,  острую  потребность  в которой он  внезапно
ощущает,  да и  вообще  в  чем  угодно, лишь бы это  позволило приостановить
работу и на какое-то время оторваться от письменного стола.
     Работа над диссертацией не только учит молодого ученого самодисциплине,
но  и дает ему  первую  возможность  на  собственном опыте  познакомиться  с
организационными   аспектами   рукописного   творчества   -   контактами   с
машинистками,  картографами,   фотографами,   различными   административными
инстанциями и т. п.
     В  целях  обеспечения  результативности  своей  работы  и  профилактики
"диссертационного невроза" диссертанту следует, на мой взгляд:
     1)  научиться  самому делать  все,  что  необходимо  для  исследования,
включая выбор темы, планирование экспериментов  и организацию лабораторной и
кабинетной работы;
     2) не стремиться перегружать себя монотонной, рутинной работой, доказав
свою  способность  выполнять  ее  в  совершенстве; гораздо  важнее научиться
руководить работой других;
     3)  подготовить  детальный  план  диссертации  и  представить  его  для
тщательного критического обсуждения руководителю и коллегам;
     4)   закончить  всю  экспериментальную  работу  (и   описывать   каждый
эксперимент в отдельности по  мере его  за вершения)  до начала  работы  над
окончательным вариантом текста;
     5) на несколько месяцев освободиться от всех прочих обязанностей, чтобы
иметь  возможность  ни  на  что  не  отвлекаться  и  целиком  посвятить себя
написанию диссертации;
     6)  лично  отвечать  за  все  организационные  и   финансовые  аспекты,
связанные с диссертацией.
     Кроме перечисленных пунктов,  при написании диссертации возникают те же
проблемы, что и при работе над монографией. Мы обсудим их в последующем.
     Обзорные  статьи.  Целью обзорной  статьи  является  критический анализ
литературы, доступ к которой по тем или иным причинам затруднен, и изложение
основных принципов ее толкования.  Поэтому цель обзора в основном та же, что
и у  монографии, за исключением  того, что  последняя обычно посвящена более
широкой  проблематике.  Во  всяком  случае,  технические аспекты  подготовки
обзоров и монографий - сбор, обобщение и  гармоничное расположение материала
- практически идентичны.



     Вопросы, связанные с  наукой, излагаются в самых  разнообразных книгах:
монографиях,  учебниках,  энциклопедиях, технических  руководствах,  а также
художественных и популярных изданиях о науке. С каждым из них связаны особые
проблемы,  но  одно правило  применимо  ко всем  сразу:  они должны сообщать
что-то новое и быть "читабельными".
     Стало  быть, как  только  вы  почувствуете себя  в  настроении написать
книгу,  первое,  что вам  надо  сделать,- это  определить,  есть  ли  в  ней
потребность, то  есть будет  ли  задуманная вами книга достаточно новой, чем
она  будет  отличаться  от  уже существующих  публикаций и  чем  она  сможет
привлечь  читателя.  Затем  полезно  убедиться  в  том,   что  вы  обладаете
способностью и возможностью собрать, "переварить" и изложить соответствующий
материал в манере, пригодной для чтения.



     ОБЩИЕ  СООБРАЖЕНИЯ.  Монография  (от  греч.  "mono",  т.  е.  "один"  и
"graphein"  -  "писать")  -  это ученый труд,  тщательно документированный и
исчерпывающим образом охватывающий  какую-либо одну  область знания. С  моей
точки зрения, это  наивысшее средство выражения научной мысли, поскольку оно
обеспечивает  интеграцию,  а  зачастую  и  создание  новой  области   науки.
Монография  может  быть  короткой,  если  о  предмете известно  немного, или
чрезвычайно объемистой,  если  соответствующая литература  обширна. В  любом
случае она должна охватывать все важные аспекты темы.
     Поскольку основной  целью  монографии является интеграция информации  с
совершенно новой  точки  зрения, ее автором  почти  неизменно  является один
человек.  Ответственность за  составление  учебника  или энциклопедии  может
разделить между собой группа лиц,  но при  этом каждый автор пишет отдельный
раздел.   Такие  коллективные   усилия  никогда  не  достигают  гармоничного
единства, свойственного идеальной монографии, в которой один  человек строит
новую  концепцию  на  основе  всесторонней  интеграции  множества   аспектов
исследуемой проблемы.
     Единственные рекомендации, которые мне хотелось бы сделать относительно
подготовки монографии, сводятся к следующему: 1)  автор на собственном опыте
должен быть знаком с данной областью науки; 2) должна существовать  насущная
потребность в обобщении знаний в данной области исследования и  их освещении
с  новой  точки  зрения;  3)  должны  соблюдаться общие  правила  добротного
написания научного сочинения, изложенные в начале этой главы.
     НЕКОТОРЫЕ  ПРИЁМЫ.  В процессе  написания  монографий  я овладел  рядом
"профессиональных хитростей", и  некоторые из  них  заслуживают  упоминания,
особенно в силу того обстоятельства, что  они полезны также и при подготовке
книг других типов.
     При подборе материала для книги не  надо заботиться о порядке изложения
и фразеологии.  Просто  накапливайте  заметки  обо  всем, что покажется  вам
заслуживающим  внимания:  краткие аннотации нужных вам статей,  итоги  ваших
собственных  экспериментов и теоретических работ.  Разумеется,  структура  и
стиль книги чрезвычайно важны, но придет время, и  они  сами собой  сложатся
должным образом, с тем чтобы вы  впоследствии  придали получающемуся  целому
окончательную форму и  все отшлифовали. Короткие  заметки лучше печатать  на
полосках бумаги шириной  примерно 15 см и  затем клейкой  лентой наносить на
листы,  которые  у  нас  получили  название  "рельсовой  бумаги".  Они имеют
стандартный формат  (ширина примерно 21 см)  и отверстия, чтобы подшивать  в
скоросшиватель, а слева и справа на полях каждого листа  наклеены во всю его
длину  вертикальные  полоски  клейкой ленты  двойной  ширины, образуя  нечто
похожее на рельсовый путь. Более узкие полосы с разного рода заметками легко
прикрепить к такому листу, а потом  приклеить  в другом  месте. Этот простой
способ   очень   удобен,   поскольку  позволяет   быстро  перегруппировывать
фрагменты,  для того  чтобы,  вставляя  между старыми  заметками  новые,  не
прибегать к методу "клея и ножниц".
     Когда  план  книги  созрел  до  такой  стадии,  что можно составлять ее
примерное  оглавление, к полям  "рельсовой бумаги" в  соответствующих местах
приклеиваются выступающие за внешний край полоски  с сокращенными названиями
глав.  Теперь страницы располагаются в  соответствии с  оглавлением и  новый
материал может быть легко вставлен в нужное место.
     Вкратце мои  рекомендации  по технологии  написания  книги  сводятся  к
следующему:  приступайте к подготовке  заметок задолго  до того, как начнете
обдумывать  структуру книги,  запаситесь  скоросшивателем, клейкой лентой  и
диктофоном. Все остальное уже просто.
     Учебник.
     Учебники  предназначены  прежде всего для студентов.  Как правило,  они
охватывают  обширную и  хорошо разработанную  область  знания,  составляющую
стандартный  лекционный курс,  который учебник должен дополнить. В  учебнике
содержится больше  информации, чем в лекциях, но не настолько, чтобы сбить с
толку.
     При написании учебника  автору следует  иметь в  виду примерную степень
подготовленности его читателей и то количество времени,  которое  они смогут
уделить изучению данного конкретного  предмета. Поэтому стандартные учебники
не  должны   изобиловать  изложением  нерешенных   проблем,  так  же  как  и
противоречащих  друг  другу точек зрения,  ибо в этом случае предполагается,
что читатель, ознакомившись с первоисточником, сделает выбор самостоятельно.
Хотя  теоретически  такой способ  воспитания независимости  и оригинальности
мышления  студентов нельзя не приветствовать, однако практически  у  них нет
времени на то, чтобы ознакомиться с упомянутыми в учебнике источниками, и не
хватает опыта, чтобы критически оценить прочитанное.
     Именно  по  этой причине при  подготовке  учебника по эндокринологии  я
старался как  можно больше читать и оценивать материал самостоятельно; затем
я  обсуждал  каждый  раздел  с  одним  или несколькими  специалистами, но  в
окончательный  текст попало  только то, что я в итоге расценил как  наиболее
широко  разделяемую  точку  зрения.  Когда  же такой  выбор  был  совершенно
невозможен,  я  упоминал  альтернативные  возможности интерпретации  фактов,
кратко  перечисляя  все  "за" и "против", но не ссылаясь в каждом  случае на
источники. В то же время в расчете на того редкого читателя, который захочет
поглубже  окунуться в тему, в конце каждой главы я приводил перечень статей,
наиболее  примечательных  либо   с  точки  зрения  ясности  изложения,  либо
представляющих  исторический интерес,  либо  изобилующих  библиографическими
сведениями. Каждую из ссылок я снабдил краткой аннотацией, дабы читатель мог
решить, желает ли он ознакомиться с соответствующей работой.
     Чтобы  учебник  был  интересным  и  легко  читался,  крайне  желательно
использовать  в изложении интересные  рассказы, касающиеся истории некоторых
открытий, примеров их практического применения и теоретического значения,  а
также несложные иллюстрации и диаграммы.
     Популярные книги о науке.
     Большинство  ученых настолько увлечены работой, что в  своих сочинениях
практически не пользуются  никаким другим языком, кроме специфического языка
их научной дисциплины. На мой взгляд, это весьма прискорбно. Между тем такие
выдающиеся ученые, как Бернар,  Рише, Пуанкаре, Дарвин,  Эйнштейн, Каррель и
Кеннон,  создали  немало  увлекательных  книг,  посвященных общим  проблемам
науки. Эти книги написаны в форме дневников, биографий или эссе по философии
и  психологии  научной деятельности. Вообще говоря,  я  не  вижу причин,  по
которым как  сама наука, так  и личность  ученого  должны  быть представлены
перед глазами читателя только в изложении профессиональных литераторов. Даже
если  ученый   не  может  писать  столь  же  профессионально,  он  с  лихвой
компенсирует этот недостаток  более  глубоким знанием своей работы. Но самая
большая  ценность этой стороны их  творчества состоит в том, что  оно играет
побудительную и ориентирующую роль для всех, кто  готовится заняться научной
работой. Интерес молодежи  к опыту ученых предшествующих поколений мы просто
обязаны удовлетворять.  Кроме того, в будущем, по  словам  Бертрана Рассела,
"люди науки должны будут не только преодолевать научные проблемы, касающиеся
человека,  но и - что гораздо труднее - убедить мир прислушаться к открытиям
науки.  Если же они  не преуспеют в этом трудном начинании,  человек  станет
жертвой своей "полуобразованности"".
     Что  и  говорить,  человек,  никогда не писавший  ничего,  кроме  чисто
научных работ, впервые  обратившись  к широкой  аудитории,  испытывает массу
трудностей. Работая в новом для себя  жанре, он в еще большей степени обязан
постоянно помнить о тех, для кого пишет.





     Чтоб ты мог свою  речь от ошибок сберечь, о  пяти вещах  помни  всегда:
кому говоришь, о ком говоришь, и как, и где, и когда.
     Неизвестный автор

     Чем значительнее и сложнее  то, о чем говорится,  тем проще и свободней
должна быть манера изложения.
     Стендаль

     Человека нельзя переубедить, заставив его замолчать.
     Виконт Джон Морли


     Искусство  убедительно  излагать свои мысли  имеет для ученого огромную
ценность. Оно необходимо  не только для  чтения лекций  студентам и коллегам
или в тех практически  неизбежных случаях,  когда  требуется выступить перед
более  широкой  аудиторией  (клубы, радио,  телевидение), но  и  в  качестве
могучего  оружия в научных дискуссиях.  Мало кто из ученых  любит  выступать
перед публикой, во-первых, потому, что нередко эти выступления расцениваются
как  попытка  саморекламы,  а  во-вторых,  они  оборачиваются  чем-то  вроде
обязанности, налагаемой  на представителя науки  организаторами всякого рода
пропагандистских кампаний или лекционных курсов по  дежурной тематике. И все
же в качестве инструмента достижения взаимопонимания ораторское искусство по
меньшей мере так же важно для ученого,  как и сочинительское, а овладеть им,
быть может,  даже  сложнее.  Написанный текст можно переделать и  довести до
уровня,  удовлетворяющего если не  читателя, то хотя бы самого автора. А вот
устное слово, раз сказанное, уже не  сотрешь, даже если оно не удовлетворяет
ни слушателя, ни выступаюшего. Искусство говорить в гораздо большей  степени
связано  с  импровизацией,  чем искусство  писать;  оно в значительной  мере
зависит  от  врожденной способности к  свободному  владению  речью и даже от
таких  личных  качеств,   как  самообладание,  приятная  дикция  и  обаяние.
Выступающий должен также уметь улавливать настроение аудитории, подчинять ее
себе,  парировать  неожиданные  вопросы,  незаметно   отклоняться  от   темы
выступления, если это диктуется ситуацией.
     Многое из того, что говорилось выше об искусстве письма справедливо и в
отношении  ораторского   искусства,  хотя,  к  сожалению,  это  последнее  в
значительной  степени зависит  от  врожденных  качеств,  которым  невозможно
научиться, но которые  можно усовершенствовать с  помощью опыта. Поэтому мой
первый совет начинающему оратору - использовать каждую возможность выступать
на публике.  Упражнения  перед зеркалом  помогают  следить за  своим внешним
видом и способствуют раскованности,  однако в целом они мало что  дают. Стоя
на трибуне,  вы видите перед собой  аудиторию, которой вы нравитесь  или  не
нравитесь,  она выражает  интерес или скуку,  понимание  или  растерянность;
искусство  состоит  в  том,  чтобы,  сообразуясь   с   этим,   строить  свое
выступление.  Прямо  скажем,  задача  не  из  легких.  Необходимо  научиться
поддерживать контакт  со своими слушателями, хотя,  как правило, вы ничего о
них не  знаете, а их вопросы нисколько вам не  помогают. Вот они сидят перед
вами в  загадочном молчании - и вы должны не просто  читать по их лицам,  вы
должны читать по их глазам, о чем они думают. Таким искусством можно и нужно
овладеть. Читатель написанной вами книги не в силах задать вам вопрос, но он
может  обдумать каждое  положение,  выдвинутое  вами,  подстроиться к  темпу
вашего изложения  и даже заставить  вас повторить  трудный абзац,  перечитав
его.  Кроме  того,  аудитория печатного  текста  не  ограничивается  людьми,
находящимися в одном  помещении  и,  как это обычно бывает, принадлежащими к
определенной  общественной группе  или  научному коллективу; печатный  текст
обязательно найдет свою аудиторию, пусть даже самую небольшую.
     Я читаю  очень  много лекций  (иногда  до  восьмидесяти в  год) в  ходе
специально   организованных   лекционных   турне,  которые   приводят   меня
практически в каждую страну, где ведутся активные  медицинские исследования.
По  причинам,  о которых  речь пойдет  ниже, я никогда не пользуюсь  заранее
подготовленным  текстом.  В своих  путешествиях  мне  приходилось экспромтом
выступать  на десяти  языках  (некоторыми  из них я  владею  очень  слабо) и
приспосабливаться к  самой  разнообразной  аудитории.  Не  без гордости могу
заявить,  что  стал  крупным специалистом  по  части промахов на  лекционной
трибуне. Поскольку основная цель этих заметок - дать вам возможность извлечь
какую-то пользу из моих  ошибок, начнем с того, что мне представляется самым
худшим.




     1. Неподготовленность.
     Напутствуя меня  на  мое  первое  публичное  выступление,  мой  учитель
профессор  Бидль  сказал:  "Никогда  не  используйте  в  лекции  более  трех
процентов ваших познаний".
     Этот   совет   сослужил  мне   добрую   службу.   Новичкам  свойственно
рассказывать  обо всем, что им известно,  и они неизбежно путают слушателей,
упоминая о вещах, с которыми сам выступающий не очень хорошо знаком. "Хорошо
бы повторить последний эксперимент с "предварительными результатами", думает
он, а эту последнюю работу  по адреналину (или  это был адреналон?..) вот бы
хорошо  еще раз просмотреть!" Между тем даже тщательно проверенные  факты не
обязательно приводить, если они мало что добавляют к вашим рассуждениям.
     Но существует  и такая вещь,  как переподготовленность. Разумеется,  ни
один  опытный лектор не станет дословно зачитывать  написанный  текст  (если
только  это  не  биография  докладчика,  которого   он  должен   представить
аудитории, или особенно важное краткое заявление, которое ему нужно сделать,
скажем, на пресс-конференции). Но излишне подробные тезисы могут  сковывающе
действовать как на вас, так и  на аудиторию; я уже не говорю о полном тексте
выступления, даже если его не зачитывать, а просто держать перед глазами для
ориентировки.
     И хотя  делать какие-либо  обобщения в связи с различной манерой чтения
лекций  нельзя,  я предпочитаю пользоваться пометками, включающими  не более
дюжины  ключевых  слов.  Этого  достаточно,  чтобы  напомнить  об   основных
положениях, которые я намерен высказать  в лекции, и  о порядке, в котором я
собираюсь  их  излагать. К примеру, если  мне  пришлось  бы читать лекцию  о
"смертных грехах" лекторов, я  бы взял маленькую каталожную карточку и очень
разборчиво, большими буквами написал бы следующие пять слов:
     1) неподготовленность;
     2) многословие;
     3) невнятность;
     4) углубленность в себя (интроверсия);
     5) манерность.
     Если  по  поводу  какого-либо  из  этих  пяти  пунктов   можно  сказать
что-нибудь особенно любопытное, я  бы добавил к  соответствующему  заголовку
одно-два слова, не больше. Если бы я написал  целые  фразы,  то, несомненно,
забыл бы их прочесть, увлекшись своей речью. А может,  и не увлекся бы ею  и
прочел их. Из этих двух зол, кстати, меньшим является первое.
     Даже  самый  опытный лектор не  может читать текст, сохраняя  при  этом
свежесть, прямоту и колорит свободной речи, как если бы она еще "тепленькой"
сходила  с  "жаровни" вашего разума. Случайная оговорка,  жаргонное словечко
или  грамматическая ошибка, встречающиеся  в  обыденной  речи  образованного
человека,   не  повредят  лекции,  а,  напротив,  придадут   ей  живость   и
непосредственность. Чтобы отшлифовать письменный текст  до  последней буквы,
требуется уйма времени, в то время как, ведя свободную и откровенную беседу,
мы  никогда  не   пользуемся   абсолютно  безупречным  языком.   Вот  почему
зачитывание даже самого прекрасного  текста  и даже самым естественным тоном
всегда выглядит искусственно и нарочито, что явно настораживает аудиторию  и
препятствует установлению тесного контакта с ней.
     Короче, я рекомендую:
     включайте  в  лекцию лишь  "сливки"  своих  познаний, оставляя себе для
маневра  широкое и безопасное поле накопленных  знаний - тот резерв, куда вы
могли  бы   отступить   либо  под   воздействием  собственной   речи,   либо
руководствуясь реакцией аудитории;
     никогда  не  читайте  заранее   подготовленный  текст   (хотя  бы  даже
заглядывая в  него краешком глаза), в  качестве ориентира  вполне достаточно
нескольких хорошо читаемых ключевых слов;
     помните,  что  лучше  тщательно  подготовиться  к  лекции,  чем   потом
раскаиваться  в своей  непредусмотрительности;  всем  нам,  грешившим  плохо
подготовленными  лекциями,  знакомы  многочасовые,  а иногда  и многодневные
(или,  что хуже,  ночные)  терзания  после важной  лекции, когда  без  конца
повторяешь себе, что мог бы сказать лучше.
     Лекция  должна быть  хорошо подготовлена  не только  лектором,  но и ее
организаторами.  Много  лекций  было  испорчено неудачным  выбором  времени,
плохим  оповещением потенциальной аудитории, неподготовленностью помещения и
технических  средств.  Важно  также  должным  образом  представить   лектора
слушателям:  куда  вероятнее,  что  они  будут  слушать  его  с  напряженным
вниманием, если им гарантируют компетентность  выступающего в той области, о
которой  он  собирается  говорить.  Представить  выступающего  -  не  пустая
формальность, но  и не  пышный  панегирик  в  стиле  надгробной  речи.  Цель
вступительной речи - помочь оратору установить контакт с аудиторией.
     2. Многословие.
     Боюсь, что это главный "смертный грех" лектора. Как бы ни был велик ваш
опыт, возможность улучшить соотношение между количеством слов и сутью вашего
выступления всегда имеется.
     Искусство быть  кратким  приобрести сложно, особенно если вы выступаете
без  подготовленных тезисов. Начинающий  лектор считает,  как правило,  тему
своей  речи настолько  сложной,  что  ее  практически невозможно  изложить в
сжатой форме. Нет сомнения, что чем большим временем вы располагаете,  тем о
большем  вы  можете сказать, но даже самый сложный  предмет можно  объяснить
просто,  понятно  и правильно.  К  примеру,  взятое  из словаря  определение
кортизона   не  в  состоянии  заменить  монографию  о  нем,  но  оно  вполне
удовлетворит  тех, кто никогда о нем не слышал. Как  я уже говорил,  ни одна
написанная статья не может быть совершенна. В  лучшем случае она  может быть
таковой  для  определенного  типа  читателей.  То  же  касается  лекции  или
объяснения, которое  вы даете своему помощнику; любые  сообщения должны быть
адаптированы   и  к  слушателю,  и  ко   времени,  которым  мы  располагаем.
Рассказывают,  что, когда  некая студентка попросила Эйнштейна дать  простое
определение  относительности, он сказал: "Целый час в объятиях твоего дружка
кажется тебе  минутой, одна минута в горячей печке - целым часом. Вот  это и
есть относительность".
     Чтобы уберечься от многословия при чтении лекции, для начала обдумайте,
к  кому  вы будете  обращаться  и в  какое время вы  должны уложиться. Потом
против каждого ключевого слова в своей "шпаргалке" проставьте отведенное для
него время и просто придерживайтесь этого графика.
     Одно  из  худших  бедствий  научного  совещания -  это  "сорвавшийся  с
привязи" докладчик.  Его слова  несутся  наподобие лавины: каждая  невесомая
снежинка мысли, будучи пущена в  движение, собирает вокруг себя все больше и
больше  бесформенного пуха,  пока  не превратится  в могучее чудище, в конце
концов разлетающееся на огромное количество "чепушинок".
     3. Невнятность.
     Как  едко  заметил один  бывший вундеркинд,  большинство  наших учебных
курсов совершенно  непригодны для  языкового образования  среднего студента:
"Они  знакомят  его  с английским языком  наподобие того,  как где-нибудь на
званом вечере знакомят с хорошенькой девушкой:  студент не  вполне расслышал
ее имя и в следующий раз уже ее не узнает" (Норберт Винер).
     Случайная  грамматическая  или   синтаксическая  ошибка,   необычный  и
образный оборот или, смею надеяться, легкий иностранный либо местный  акцент
вполне   допустимы;   такие   мелкие   погрешности   даже   придают   лекции
индивидуальность. Однако, если  у оратора, как говорится, "каша во рту", ему
следует учиться дикции,  а если у  него слабый  голос, ему  нужно  держаться
поближе   к   микрофону.   Нечленораздельная  речь  является,  как  правило,
следствием  эмоционального состояния  выступающего,  связанного  с  чувством
напряженности  и застенчивости.  Это чувство  особенно  обострено  в  первые
минуты  выступления. Тут можно  посоветовать выучить  первые  несколько фраз
наизусть  или даже прочесть их, поскольку, начав говорить, оратор уже думает
не о себе, а о теме выступления, и страх перед публикой пропадает.
     Другой     формой    невнятной     речи    является     злоупотребление
профессионализмами и  даже обычным  жаргоном. Оратор подсознательно пытается
снискать  себе расположение публики,  как бы говоря:  "Смотрите, несмотря на
ученость, я, в общем-то, такой же простой, как и вы, ребята!" И тем не менее
жаргон неуместен на научной лекции, делайте это только в крайних случаях.
     Наконец, небрежно  сделанные  слайды,  диаграммы и фотографии,  а также
переполненные информацией таблицы и диаграммы создают такие же сложности для
понимания, как и неразборчивая речь.
     4. Углубленность в себя (интроверсия).
     Хороший оратор  должен проецировать  себя вовне, на  аудиторию, избегая
театральности.  Ему  следует  учиться  держать себя  раскованно  и свободно.
Скромность - это прекрасное  качество, но, когда  она  выливается в излишнюю
застенчивость на кафедре, она изолирует оратора от слушателей. Боясь уловить
тень критики на лицах собравшихся, он старается глядеть в сторону, обращаясь
в  поисках спасения  к знакомым строчкам своего текста. Из предыдущего опыта
ему известно, что, подняв  глаза он рискует увидеть то, что наверняка собьет
его с толку: зевающую физиономию  здоровяка-студента, даму, занятую вязанием
и слушающую его рассказ о находках, стоивших ему многих лет тяжкого труда, с
полным равнодушием, смешную  яркую шляпку  с  торчащим пером, кокетливый вид
которой  столь неуместен в этой обстановке... Он может обнаружить мальчишку,
читающего газету за спиной сидящего впереди него типа, и, что хуже всего, он
может  заметить неодобрительную,  а порой и саркастическую усмешку.  Все эти
опасения парализующе действуют на нервную систему. Но чем  лучше лектор, тем
меньше опасность увидеть нечто подобное. В любом случае самый простой способ
побороть  безразличие и  невнимание - это смотреть прямо  в лица слушателей.
Выберите в  разных местах аудитории одно-два приятных вам лица и обращайтесь
сперва к одному, потом к другому - точно так же, как если бы вы находились в
спокойной обстановке своего кабинета, а эти люди пришли побеседовать с вами.
     Интроверсия  - едва  ли  не самая тяжелая болезнь лектора -  связана со
всеми другими перечисленными  здесь "смертными  грехами". Ее  причиной может
быть  неподготовленность,  она ведет  к  многословию, невнятному  изложению,
манерности  - основным "баррикадам" между оратором и слушателем. Интроверсия
губит  главное преимущество лекции  перед написанной статьей:  она устраняет
живой контакт  между учителем  и учеником,  столь необходимый  в непрерывном
процессе приспособления устного слова к постоянно меняющейся аудитории.
     5. Манерность.
     У нервных лекторов  вырабатывается поразительное разнообразие  ужимок и
гримас. Подергивание  уголка  рта, преувеличенно  театральная  жестикуляция,
напыщенность выражений, многократное повторение одних и тех же банальностей,
обязательное взирание на пол или на потолок невидящим  пустым взглядом - все
эти  повадки проистекают из  чувства напряженности и  страха перед публикой.
Как  и некоторые из упомянутых выше  проявлений  интроверсии,  они изолируют
оратора  от  аудитории.  Слушателю неловко за лектора,  за  его  слабость  и
неуверенность  в себе,  проявляющуюся  в  его  ужимках, и  он не в состоянии
воспринимать  содержание  выступления.  Облегчение наступает,  когда гасится
свет  для показа  слайдов  и все  смотрят  на экран. И  внезапно  манерность
докладчика  исчезает, ибо  темнота спасла  его  от  ужасающей  необходимости
видеть  своих  слушателей и быть увиденным  ими. Если плохому лектору  такая
зашита  нужна,   как  шпоры  пугливой  лошади,   то  для   начинающего  идея
использования  большого  количества  слайдов  в  качестве  частичной  замены
написанного  текста  и  "дымовой  завесы"  против  приводящей  его  в трепет
аудитории представляется плодотворной.
     Немало  ораторов,  чье  аффектированное  и  претенциозное поведение  на
кафедре являет собой уже не манерность, а просто невоспитанность. Существует
тип  агрессивного   лектора,  который  впустую   растрачивает   время  своих
слушателей,  пространно  и  злобно  обличая  тех,  кто  не  согласен  с  его
взглядами.  Бывают  обороняющиеся  лекторы,   постоянно   отстаивающие  свой
приоритет  или подчеркивающие важность своих самых тривиальных наблюдений  с
помощью  хитроумных,  но  вполне  прозрачных   аргументов.  Характерно,  что
неумеренная  красивость  речи  также  является недостатком  научной  лекции,
поскольку  отвлекает внимание слушателей от сути объясняемого. Эта опасность
усиливается,   когда  лекция   читается  на   языке,  обладающем   особенной
музыкальностью, например на французском или итальянском.
     Анализ дурных привычек поведения на кафедре помогает с ним справляться.
Лично я обнаружил, что те способы поведения, которые могли бы  отдалить меня
от аудитории, легче  всего преодолеть, призвав на помощь способы  поведения,
имеющие  противоположный эффект. Ничто так не способствует теплому  контакту
со  слушателями,  как  манера  поведения,  совершенно  не  свойственная  для
официального выступления, но приемлемая для неформальной  беседы с друзьями.
Просто облокотившись на край стола, вы уже сняли напряжение, но самое важное
- следить за тоном своего голоса  и  выбором слов. Расслабьтесь. Представьте
себе, что вы рассказываете о своей работе коллегам, которые заглянули  к вам
в лабораторию...{42}
     Существует  такая манера публичного выступления,  которую  мы  привыкли
ассоциировать  с церковной  кафедрой  или  амвоном.  Она  создает  атмосферу
торжественности и почтения авторитету,  предполагает  скорее  безоговорочное
согласие,   нежели  критический   анализ,   способствует  не   пониманию,  а
запоминанию. Избегайте этого стиля. Ученому лучше намеренно сбросить  с себя
академическую  спесь,  заменив  ее  простотой  и отсутствием  претензий. Его
личный авторитет  отнюдь  не  помогает  слушателям  независимо  и объективно
судить о каждом новом факте.





     Ну вот и  конец моего рассказа,  Джон.  Заметок, составленных о  вещах,
которые представлялись мне значительными и  которые я собирал в течение всей
моей жизни, оказалось довольно  много, и,  чтобы привести их  в  порядок мне
потребовалось  больше времени,  чем я ожидал.  Но  вот они готовы, аккуратно
перепечатаны, сложены  и насколько позволяет моя многоречивость, освобождены
от излишеств. В них --  те впечатления и  события,  которые оказали наиболее
решающее  влияние на мою жизнь. Какова  бы ни была  их фактическая ценность,
сам я  извлек огромную  пользу  из  такой  систематизированной  исповеди Она
помогла  мне навести в своих мыслях порядок, порядок -  и умиротворение. Ибо
совесть мучает  нас меньше,  если мы  осознаем, почему ведем себя так,  а не
иначе, и если нам удалось,  к своему удовлетворению, установить, что, раз уж
мы такие, какие есть, именно так нам и следовало действовать.
     Когда я просматриваю написанное, меня больше всего удивляет - возможно,
и тебя тоже -  односторонность моих заметок: прямо или косвенно они касаются
науки, о прочих же ценностях речи нет. Я выгляжу маловосприимчивым к, вещам,
которые доставляют  удовольствие большинству  людей, но, как  мне кажется, я
все  их  обрел  в  науке.  Возвышающее  воздействие  красоты,  грандиозность
свершений, покров таинственности и даже отдых, который дает нам обычная игра
или простое безделье,- все это окружает меня  здесь, в моей лаборатории. Где
бы еще я ни искал удовольствий, меня всегда постигало разочарование: все мне
казалось    тривиальным.    Как    подсказывает   мне   моя    односторонняя
восприимчивость,  ни  одно  из  творений рук человеческих по  красоте и силе
воздействия не может соперничать с тем, что создает Природа.
     И вот теперь, когда я изложил все эти мысли на бумаге, меня интересует,
какую  пользу ты можешь  извлечь из них? Мне  бы хотелось, чтобы эти заметки
побудили тебя к соблюдению трех  принципов  в  науке: простоты, честности  и
милосердия.
     Во-первых,  я бы хотел призвать тебя к простоте  в мыслях  и действиях.
Сейчас  наступил критический  момент в  истории науки,  особенно биологии  и
медицины.  Все  более  детальные  исследования  и  все  более  усложняющаяся
аппаратура,  необходимая  для  их  проведения,  угрожают погубить  искусство
наблюдения  с помощью наших  естественных  органов чувств  и интуитивный дар
связывания воедино  наиболее  существенных  явлений жизни  и бытия.  Сегодня
многие   считают,  что  в  сравнении  с   современной  техникой  мои  методы
исследования устарели, а  все те  проявления жизни, которые  можно наблюдать
невооруженным  глазом  и изучить путем простых экспериментов, уже описаны. В
этих  заметках  я  попытался  показать,  что   это  не  так.   Ряд  наиболее
фундаментальных открытий в области медицины был сделан и делается до сих пор
без  всякого  применения  сложной  аппаратуры;  эти  открытия   основаны  на
интуитивном  постижении  тех  методов,  которые  использует  Природа,  и  на
способности проникать в  ее тайны. Нет сомнения, что применение химических и
физических  методов   исследования,  математического  анализа  биологических
явлений и  создание  сложных приборов чрезвычайно плодотворны. Этот основной
принцип  нашего  университетского обучения  не нуждается в  рекламе.  Мне же
позволь выступить в защиту ученого-естествоиспытателя, занимающегося простым
наблюдением и  обобщением,  и всей  старой школы  биологии, которой угрожает
исчезновение.  С моей  точки зрения,  ученый  широкого профиля,  который  не
является специалистом ни в одной конкретной области знания -- в нашем случае
медик-"интегратор", -- еще не утратил своей потенциальной ценности для науки
и она еще не раз обратится к нему за помощью.
     Во-вторых,  мне  хотелось  бы,   чтобы  эти  заметки  послужили  уроком
честности  и  воспринимались   как   исповедь  человека,   всю   свою  жизнь
посвятившего науке  и служившего  ей "не за страх,  а за  совесть".  Человек
этот, признаюсь, являет собой крайний  случай, некую странность, которой  не
обязательно подражать, но которая,  как и .многие  диковинки  Природы, может
чему-то научить. Во всяком  случае,  как и все живые существа,  он  отчаянно
хочет,  пока  не поздно, продолжить  свой род и чувствует, что он  может это
сделать, лишь создав  тебя,  Джон. Если ты тот  человек, каким  я  хочу тебя
видеть, ты,  не стал  бы  доверчиво  слушать  мой  рассказ,  вздумай  я  его
приукрасить и сгладить острые углы. И я хочу, чтобы ты увидел,  как человек,
шедший впереди тебя по той же дороге и подверженный тем  же слабостям, что и
все смертные, обрел  счастье и удовлетворение не вопреки своему гуманизму, а
благодаря ему.
     И наконец, последнее по счету,  но не по значению пожелание: я хотел бы
призвать  к  милосердию. В  наше  время большинство  одаренной  молодежи,  к
которой  обращены  мои  заметки,  увлечены,  физикой,  химией,  космическими
исследованиями  и другими  сферами  знаний, где захватывающий дух.  прогресс
бросает  вызов возможностям интеллекта.  Но я хочу спросить: что  может быть
благороднее  и  важней,   чем  борьба  с  болезнями,  старостью  и  смертью?
Правительства многих стран тратят миллиарды  на исследование космоса. Должно
быть,  там  действительно  есть  нечто,  стоящее  таких  усилий  и затрат. И
все-таки, как я говорил, со времени успешного запуска первого спутника Земли
нет причин  сомневаться в том,  что при  равном  вложении  денег и, что  еще
важнее, таланта систематическая атака на рак, сердечно-сосудистые  болезни и
старость  будет не менее  успешной, чем осуществление нашей  мечты - достичь
других  планет. Не думаю, чтобы там можно обнаружить сокровища более важные,
благородные и престижные для человечества, чем излечение, скажем от рака или
сумасшествия.
     Пока ты молод и полон сил, ты мало задумываешься  о  болезнях и смерти,
но, проведя длительное время в  больнице,  ты будешь думать иначе. Когда  ты
увидишь  больных  с признаками смерти  в  глазах, все  прочее покажется тебе
маловажным.  Старайся  помнить  о  них, когда  будешь  трудиться  у  себя  в
лаборатории. Старайся помнить  их лица, выражающие  полное безразличие.  Они
даже  не  пытаются  ответить  на  твою  дружескую  улыбку  -  она  не  стоит
потраченных  усилий.  Старайся  вообразить себе худшее,  что только  есть  в
осознании  неминуемой  смерти,- ее унизительность. Ничто  так  не  разрушает
человека, как сознание выключенности из  жизни, отсутствия будущего, которое
когда-то  руководило  каждым нашим шагом.  Какое это было счастье - идти  по
дороге жизни и  предвкушать удовольствие от следующего  шага,  а  вот теперь
этого  следующего  шага  не  будет, впереди -  пропасть.  Борьба за  знания,
деньги, славу, власть - за все то, что может пригодиться  в будущем,- теперь
бессмысленна, ибо будущего больше нет...
     Наши коллеги - физики, химики, математики,- так же, как и мы,  а  может
быть, даже и больше чувствуют красоту науки как таковой. Но нет ничего более
достойного  забот  человека,  чем  борьба  за   его  жизнь,  за  преодоление
мучительности и унизительности болезней и смерти.  Как бы я ни старался быть
объективным, отдавая должное другим профессиям, я не вижу ничего, Джон, чему
бы ты мог посвятить свою жизнь и что было бы более значительным и достойным,
нежели  медицина.  Величие  покорения  Вселенной,  опасность  разрушительной
войны, последствия перенаселения нашей планеты - все теряет смысл у  постели
больного, который обречен, и ты ничем не смог  ему помочь. И все это потому,
что ты не сумел побольше узнать о его болезни.




     Поскольку  настоящая книга не  является  монографией  в строгом  смысле
слова,  а  представляет собой  довольно разрозненные заметки,  в большинстве
случаев наговоренные  на магнитофон, постольку  ее научный аппарат крайне не
строг.  В  этой  связи  список литературы в русском  издании книги включает,
кроме трудов самого Г. Селье, только те работы, на которые  имеются ссылки в
тексте и  которые  непосредственно цитируются.  Источники  всех  эпиграфов в
список литературы не включены. --- От редакции.

     1. Barzun J. Teacher in America, New York, Doubleday, 1955.
     2.  Вeveridge W. I. B. The Art of Scientific Investigation,  Melbourne,
London, Toronto, William Heinemann Ltd., 1951.
     3.  Boole  G.  An Investigation of  the Laws  of  Thoutht on  Which Are
Founded  Mathematical  Theories of Logic  and  Probabilities. New York Dover
Publ., First ed., 1854.
     4. Вridgman P. Q.  Reflections of a  Physicist. New York, Philosophical
Library, 1955.
     5. Cannon W. B. The Way of an Investigator. A Scientist's Experience in
Medical Research. New York, W. W. Norton, 1945.
     6. Кюри E. Мария Кюри. Перев. с франц., 3 изд., М., 1979.
     7.   Дарвин   Ч.   Воспоминания  о  развитии  моего   ума  и  характера
(Автобиография), Дневник работы и жизни, М., 1957.
     8. Де Крюи П. Охотники за микробами. Перев. с англ., М., 1928.
     9. Duсlaux E. Pasteur: Histoire d'un Esprit. Paris, Sceaux, 1896.
     10. Fisher  R. A. "Has Mendel's work been rediscovered?", Ann. Sci., 1,
115, 1936.
     11. Fried В. М. Arch. Path., 26, 700, 1938.
     12.  Jones E. The Life and Work of Sigmund  Freud.  Years of  Maturity,
1901 -- 1909. New York, Basic Books, 2, 1955.
     13. Koch R. Investigations into the  Aetiology of  Traumatic  Infective
Diseases.  Translation  by  W. W. Cheyne. London,  The New Sydenham Society,
1880.
     14. Koenigsberger L. Hermann von Helmholtz. Translation by F. A. Welby,
Oxford, Clarendon Press, 1906.
     15. Пуанкаре А. О науке. М., 1983.
     16. Richet С. Le Savant. Paris, Librairie Hachette, 1923.
     17.  Sсhild  A.  "On  the  matter of  freedom:  the university and  the
physical  sciences", Canad. As. Univ. Teachers  (C.A.U.T.), Bulletin, 11, 4,
1963.
     18. Schutz Q. Ber. deut. chem. Ges., 23, 1265, 1890.
     19. Selye H. "The nomenclature of steroid hormones", Pharm J., 149, 98,
1942.
     20.  Selye  H.  Textbook of Endocrinology.  Montreal,  Acta  Inc., Med.
Publ., First ed. 1947; Second ed. 1949.
     21. Selye H. Encyclopedia of Endocrinology. Section I: Classified Index
of the Steroid Hormones  and Related Compounds (4 vols.), Montreal, A. W. T.
Franks Publ. Co., 1943.
     22. Selye H. Stress. Montreal, Acta Inc., Med. Publ., 1950.
     23. Selye H. Annual Reports on Stress. (In collaboration with G. Heuser
and A. Horava), Volumes I--V, Montreal, Acta Inc., Med. Publ., 1951 -- 1956.
     24. Selye H. The Stress of Life. New York, McGraw-Hill., 1956.
     25.  Selye  H. "What makes basic research basic?" In: Adventures of the
Mind. New York, Vintage Books, 1960.
     26.  Selye H.  The  Pluricausal  Cardiopathies.  Springfield,  Charls С
Thomas Publ., 1961.
     27.  Selye H. Calciphylaxis.  Chicago, The University of Chicago Press,
1962.
     28. Selye  H.  and  Stone  H. On the  Experimental  Morphology  of  the
Adrenals. Springfield, Charles С Thomas Publ., 1950.
     29. Selye H. and Ember G. Symbolic Shorthand Systems for Physiology and
Medicine. Montreal, Acta Inc., Med. Publ., 1964.
     30. Селье Г. Очерки об адаптационном синдроме, М., 1960.
     31. Селье Г. Профилактика  некрозов сердца  химическими средствами, М.,
Медгиз, 1961.
     32. Селье Г. На уровне целого организма, М., 1982.
     33. Селье Г. Стресс без дистресса, М., 1979, 2-е изд. 1982.
     34.  Sinclair  W. J.  Semmelweis, His  Life  and  Doctrine.  Manchester
University Press, 1909.
     35.  Trotter  W. Collected  Papers  of Wilfred  Trotter. London, Oxford
University Press, 1941.
     36. Wallace A. R. My Life. London, Chapman & Hall Ltd., 1908.
     37. Wallas G. The Art of Thought. New York, Harcourt, Brace, 1926.
     38.  Woodger  J.  H.  "The  technique  of  theory  construction".   In:
International  Encyclopedia  of  Unified  Science,  2,  No  5. Chicago,  The
University of Chicago Press, 1939.
     39.  Zinsser H.  As  I  Remember Him (The Biography of  R.S.),  Boston,
Little, Brown & Co., 1940.





     В августе 1980 г. группа советских историков науки принимала  участие в
работе  международного   симпозиум;  в  Канаде.   После   завершения  работы
симпозиума мы посетили  Международный институт стресса и  встретились с  его
директором -- всемирно известным физиологом Гансом Селье. Цель нашего визита
объяснялась,  во  первых,  тем,  что  многие  его   работы  --   "Очерки  об
адаптационном синдроме" (М., 1960), "На уровне целого организма" (М., 1972),
"Стресс без  дистресса"  (М.,  1979)  и др.  --  вышли  в  русском переводе.
Благодаря его трудам понятие о стрессе вошло в XX в. не только в язык науки,
но  и любого грамотного человека.  Я  неоднократно  писал об  этих трудах, и
соблазн  увидеть  живого  классика, побеседовать с ним о  его открытиях был,
естественно, велик. Кроме  того, я изучал  творчество физиолога, которого (я
знал это по  литературе) Селье считал своим учителем,  а  именно  ближайшего
друга Ивана  Петровича  Павлова американца Уолтера Кеннона, и нами  написана
биография  Кеннона  -- создателя учений  о  механизме  эмоций,  о  механизме
постоянства  внутренней  среды  организм  (гомеостазе) и  др.  И хотя книга,
которую я хотел бы преподнести Селье, написана и издана на русском язьке, но
ведь на другом языке  биографии  Кеннона  не существует вообще. Поэтому  мне
представлялось, что Селье, который читает по-русски, будет рад познакомиться
с  людьми  написавшими  книгу о  человеке, который  всегда  служил  для него
предметом  обожания. И наконец,  мой коллега В. П. Карцев был  заинтересован
взять  интервью для журнала "Вопросы истории естествознания и техники". Наша
3-часовая беседа, опубликованная в виде интервью на страницах этого  журнала
(1981, No 2), и составила основу настоящей публикации.
     Мы начали с разговора о И. П.  Павлове и его влиянии  на  творчество Г.
Селье  (дважды  приезжая  в  нашу  страну  в 30-х гг.,  Г.  Селье, тогда еще
начинающий физиолог, встречался с Павловым). Павлов, как известно, стоял  на
позициях  нервизма,  то  есть  теоретического  подхода,   согласно  которому
решающую роль в работе  организма  играет нервная  система, и  в особенности
высший нервный центр --  большие  полушария головного мозга. Исследования же
Селье  принесли ему  успех  благодаря  открытиям,  связанным  с  гуморальной
системой,  влиянием гормонов  на жизнедеятельность,  различным биохимическим
процессам  в крови, лимфе, тканях. Однако, по признанию профессора Селье, он
заимствовал  у Павлова очень многое. То, что Павлов трактовал с точки зрения
нервной системы, он  перевел на язык и  термины гуморальной системы. Величие
Павлова  --  в восприятии  организма  как  целого,  в объяснении того, каким
образом это целое  непрерывно  адаптируется к  окружающей  среде. Именно эту
идею  целостности и адаптации  он -- Селье -- почерпнул у  Павлова, и именно
она стала рычагом всей его экспериментальной  работы и самой теории стресса.
Ведь стресс неразрывно связан с тем, что Г. Селье назвал общим адаптационным
синдромом,  то  есть  совокупностью  реакций  организма,  и   прежде   всего
эндокринной системы, с целью мобилизации его защитных сил и приспособления к
трудным  ситуациям.  Но,  кроме  признания  научных  заслуг  нашего великого
соотечественника,  весь физиологический  мир, по словам нашего  собеседника,
видит в  нем  образец личности, для  которой не  существовало ничего,  кроме
страстного  и  бескорыстного  служения  научной   истине,  имевшего  высокий
нравственный  смысл.  Он считал науку  именно тем орудием,  которое способно
спасти  человечество  от  бедствий,  болезней  и нищеты.  Быть  может,  этот
нравственный мотив способен сегодня поддерживать ученого в его изнурительном
труде больше, чем любые  другие побуждения. Во  всяком случае,  в наше время
особенно  важно культивировать в деятельности ученых  нравственное начало. И
хотя   мы   не  физики,  открытия   которых  изменили   судьбу  человеческой
цивилизации, а биологи --  представители науки о  жизни, но и от нас зависит
решение  человеческих  проблем,  ибо   при   определенных  условиях  и  наша
деятельность может быть направлена на истребление жизни. Еще в 1934 г. И. П.
Павлов  писал  Н.  Бору:  "Сейчас  наука  является  противоречивой,  работая
одновременно и  для счастья  человечества, и  для его гибели. Будет  ли этот
вопиющий контраст  когда-либо разрешен? Уничтожит ли когда-нибудь наука этот
позор для человеческой мысли?" И  эти слова  были написаны в период,  когда,
разумеется, ни Павлов, ни его адресат -- знаменитый датский физик -- еще  не
знали о  том,  что физика стоит  на  пороге создания  смертоносного атомного
оружия.
     Об открытиях Селье  мы, конечно, знали  по его книгам. Но в публикациях
ученого обычно запечатлеваются результаты  его поиска,  а  не сам  поиск  --
сложный,  нередко  сопряженный с ошибками процесс познания.  Путь  к  истине
извилист, а в статьях и книгах он выглядит прямым. Вопрос о природе научного
открытия  волнует  не  одно поколение  исследователей  науки. Ведь она -- не
только   система   готовых   знаний,   но   и  особая,  полная  противоречий
деятельность,  на  которой всегда  лежит  печать  конкретной  личности с  ее
порывами,  думами, сомнениями,  сложными отношениями с  коллегами,  от  суда
которых  зависит  оценка результата.  В этом желании  сохранить для  истории
"самоотчет"  ученого  о  его пути  к  открытию  --  одна из причин  создания
прочитанной Вами книги.
     Теория стресса, как и всякая большая теория, должна рассматриваться под
углом зрения логики развития науки. Как ни велико  значение личности ученого
--  творца  этой  теории,  он   в   своем  творчестве  обусловлен  действием
объективных законов  познания. Этим объясняется, в  частности,  что зачастую
научные  открытия делают независимо друг  от друга различные  ученые. Хорошо
известен такой  классический пример, как открытие великого закона сохранения
энергии. Он был  установлен  почти одно-временно тремя учеными, а еще девять
ученых вплотную приблизились  к  нему. Это важное историческое свидетельство
того, что развитие научных идей  подчинено объективным законам. У  каждой из
них  имеются   предшественники.   Что   же   касается   предшественников   в
исследованиях по стрессу, то их, по словам Г. Селье, было  очень много. "Еще
в  1842 г. английский  врач  Томас  Керлинг описал острые желудочно-кишечные
изъязвления у больных с  обширными  ожогами тела. В 1867  г. венский  хирург
Альберт Бильрот  сообщил о  таких  же язвенных  явлениях после хирургических
операций, необходимость которых была вызвана  инфекцией. Пьер Ру и Александр
Йерсен   в  Пастеровском  институте  наблюдали  увеличение  надпочечников  у
зараженных дифтерией морских свинок. В медицинской литературе довольно часто
сообщалось также  о "случайной" атрофии  вилочковой  железы и потере  веса у
некоторых больных.
     Никто  не  попытался   соотнести   эти  явления  с   открытой  Кенноном
"экстренной секрецией  адреналина" при  страхе  и  ярости  и  ролью  в  этих
процессах гипофиза  или  коры  надпочечников.  Самому  Кеннону  трудно  было
принять идею о неспецифической адаптивной реакции. Он не смог увидеть в этих
частных  проявлениях  действие  единого  адаптационного  синдрома"  (с.  145
журнала).
     Отмеченный  профессором   Селье   факт   несогласия   с   ним  Кеннона,
приезжавшего  из  Гарварда   в  Монреаль,  чтобы  ознакомиться   с  данными,
положенными  в  основу  теории стресса,  свидетельствует  о том,  что ученые
зачастую под влиянием сложившихся у них научных  ориентации оценивают одни и
те  же  эмпирические  факты  совершенно  по-разному.  Между тем,  по  мнению
канадского)    ученого,    неприятие    еще    незрелого   замысла    другим
высокоавторитетным   ученым  может  отрицательно  сказаться   на  психологии
генератора  новой идеи.  Из-за  скептического  отношения  Кеннона к замыслу,
приведшему  к  созданию  теории  стресса,  самому  Селье  пришлось  пережить
неприятные  минуты.  В  результате  только  10  лет  спустя  он  вернулся  к
разработке своих идей по стрессу.
     Как   убедился   читатель,   проблеме   соотношения   эмпирического   и
теоретического в познании  Г.  Селье  уделяет много  внимания в своей книге,
используя  при  этом  данные  как  собственного  многолетнего опыта,  так  и
материалы, почерпнутые в историко-научных исследованиях (см. об этом  гл. 2,
7 и 8 настоящего издания).
     Как  известно,  наука  --  это  особая  система, особый  "организм",  у
которого имеется  своя среда -- научная.  Именно  этому  "организму"  и этой
научной среде, ее обитателям -- ученым, их психологии, отношениям между ними
посвятил Селье специальную книгу "От мечты к открытию". На вопрос о том, как
была встречена его  новаторская идея о неспецифической  реакции организма на
стрессоры в научной среде, автор теории стресса ответил следующее: "Конечно,
научный  факт  говорит  сам  за  себя и  рано  или поздно  будет  оценен  по
достоинству, независимо от своего первооткрывателя. Но, к сожалению, история
науки знает множество примеров, когда научные факты  значительной ценности в
течение  десятков  лет  были  похоронены в  малоизвестных журналах, а  затем
переоткрыты, и никто даже не задумывался над тем, что это "уже известно". Но
кому известно? Ученому, сделавшему открытие и умершему много лет назад?
     Но  история  науки  учит  также,  что  серьезное значение имеет  умелая
пропаганда  самими  исследователями своих  необычных  с  традиционной  точки
зрения идей. Поэтому я решил для себя, что лучшим путем распространения моих
выводов  и  гипотез  будет   их  пропаганда  через  книги,  через   теле-  и
радиоинтервью, поскольку они позволяют  обращаться к самым широким кругам. Я
также посвящал  довольно  много времени чтению лекций во  всех странах мира.
Стоит   упомянуть   то   обстоятельство,   что   разъяснение   концепции   о
неспецифической реакции  организма  в  специальной научной  аудитории всегда
было для меня  весьма тяжелым бременем. В то же время так называемая широкая
аудитория  восприняла  эту  концепцию  с  большим  пониманием,  чем  крупные
специалисты, притом весьма компетентные и уважаемые.
     Много лет  я боролся  за свою концепцию стресса, пока она была принята.
Мне доставляет необычайное удовольствие осознавать, что некоторые положения,
вызывающие особенно яростные нападки, сейчас считаются общепринятыми. Я живо
помню, как  ученый  мир сопротивлялся  введению  мной  концепций  и  понятий
биологического стресса, стрессоров, неспецифичности, кортикоидов и др."  (с.
146 журнала).
     Вопрос   о  сопротивляемости  научной   среды   новаторским   идеям,  о
необходимости их  защищать, вступать в полемику с научными противниками и т.
п. Селье подверг всестороннему анализу в книге "От мечты к открытию". На его
решение отвлечься от работы физиолога и обратиться к этой книге, посвященной
необычному  для  естествоиспытателя   предмету,  несомненное   влияние,   по
признанию  самого  Селье, оказала  книга  Кеннона "Путь  исследователя". Эта
книга представляет собой замечательный, можно  сказать, классический образец
отчета ученого о своем подходе  к  таким  повседневным  проблемам,  мнение о
которых высказывается  обычно  лишь  в  кругу  своих близких  или коллег. Во
всяком случае, в печати ученый делится такими мыслями  лишь в исключительных
случаях.  Между тем  в условиях, когда  занятия  наукой  приобретают широкое
распространение, как это произошло в условиях современной научно-технической
революции,  чрезвычайно  важно  свой  личный опыт организации  исследований,
отбора  талантов,  их  воспитания,  создания  у  них  сильной  мотивации  на
самоотверженный  труд, обмена  информацией,  участия в  дискуссиях  -- иначе
говоря,  все  тайны  творческой  лаборатории  --  сделать общим  достоянием.
Ответом на  запросы времени, по мнению Селье, и стала его книга "От мечты  к
открытию".  Для начала он прочитал почти  все,  что говорилось  о науке и ее
людях в  специальной литературе, в книгах философов и социологов, но остался
этими книгами  неудовлетворен. Суждения их авторов  не соответствовали тому,
что  говорила его собственная  многолетняя  исследовательская практика,  его
наблюдения  за  ситуациями,  в  которых повседневно  оказываются  ученые  --
молодые и  опытные.  Философы  анализировали  науку  извне,  с высоты  общих
представлений о структуре и нормах рационального познания  о том, каким  оно
должно быть соответственно их критериям. Селье  же задумал рассмотреть науку
изнутри, описать, как  в действительности  живут и работают  обитатели  мира
науки.  Он  с  самого  начала не  претендовал  на  теоретические  обобщения,
подобные тем,  к которым  пришел, изучая стресс  и  его механизмы.  Для него
главной  задачей являлось  поведать об искусстве исследователя  и нужных для
успеха личностных  качествах, о заботах организатора  и руководителя научной
группы.  Образ ученого как одинокого искателя истины, доставшийся от прежних
эпох, ничего  общего не имеет с реальностью. Но это вовсе не означает, будто
утратили значение свойства  личности,  будто  люди  науки взаимозаменяемы  в
механизме производства новых знаний.
     Предложенная Г. Селье типология  ученых  известна у нас  в стране (см.:
"Стресс  без  дистресса" и с. 35--46  настоящего издания). Она интересна, но
вызывает  много споров.  Однако  крайне желательна ее дальнейшая разработка,
ибо  история  науки важна не  только для  того,  чтобы прослеживать  историю
возникновения научных идей,  ее примеры нужно использовать и для воздействия
на  организацию современной научной деятельности.  Следовало бы предостеречь
от американского  опыта, когда ученые превращаются в администраторов, потому
что не способны  ни на что  другое. Складывается пагубная для науки картина,
когда  в  университетах  преподают  те,  кто не  может  заниматься  научными
исследованиями,  а наукой управляют  люди,  не  способные к  самостоятельной
научной работе.
     И   хотя   наш  крупнейший  физик   академик   Петр  Леонидович  Капица
придерживается такого  же  мнения, в современных  условиях,  на  мой взгляд,
сформировать универсальный тип организатора науки -- задача крайне  сложная.
Ведь,  по  существу,  организатору нужны не  только  волевые,  но  и  особые
интеллектуальные качества. Известно, что, решая организационные  задачи,  он
оперирует другими схемами и категориями, нежели  когда, изучая биологические
объекты,  ставит эксперименты или производит вычисления. В книге "От мечты к
открытию"   как   раз   и  показана   неверность   широко   распространенных
представлений   о   так   называемом   логическом   научном   методе,  якобы
гарантирующем,  подобно алгоритму, безошибочное решение  научной проблемы. В
действительности логика научного исследования  совсем  не  такова,  какой ее
изображают учебники  по логике. В  творчестве ученого  многое зависит от его
интуиции, воображения, от  случая и обстоятельств, которые ученый, приступая
к  исследованию,  не  может предвидеть.  И тем  не менее  случайное открытие
всегда   предполагает  упорный  систематический  труд.   Известно  изречение
Пастера:   "Случай  благоприятствует  подготовленному  уму".  История  науки
содержит   немало    прецедентов,   которые   подтверждают   этот   афоризм,
предостерегая молодежь  от соблазна надеяться на озарение, которое, согласно
легендам, находит на великих ученых во  сне. Для продуктивной работы в науке
важное  значение  имеет  также общий  подход ученого  к  объектам  изучения,
своеобразие которого заключается, по  словам Селье,  в следующем:  "Я ощущаю
себя как-то ближе к Матери-Природе, когда могу наблюдать  ее непосредственно
теми органами чувств, которые она сама мне дала, чем когда между  нами стоят
инструменты,  так часто искажающие ее облик.  ...Порой мне  казалось,  что я
выгляжу  "отсталым"  в  этой  моей  страсти  к  простоте  и всеохватывающему
подходу. Тем  более что в науке сегодня действует совершенно противоположная
тенденция. Создаются  все более сложные  средства  для  все более  глубокого
"копания"  в каком-то  одном  месте.  Разумеется, это необходимо, но  не для
всех... Узкий специалист теряет общую перспективу; более того, я уверен, что
всегда  будет существовать потребность в  ученых-интеграторах, натуралистах,
постоянно  стремящихся к исследованию  достаточно обширных  областей знания"
(с. 12--13 настоящего издания).
     Учение  о стрессе,  оказавшее существенное влияние на ряд направлений в
исследовании организма, отдельных биологических функций и поведения в целом,
перспективы  развития  учения  о  стрессе  Селье  мыслит в  рамках  изучения
белковых  структур  на  церебральном уровне  и  открытия  гормонов головного
мозга.
     Г.   Селье   положительно   оценил    работы    советских   ученых   по
психологическому  стрессу  в  русле  учения о высшей  нервной  деятельности,
которое открыло новый путь к объяснению кортико-висцеральных регуляций.
     Заканчивая нашу беседу,  мы спросили  о творческих  планах  выдающегося
канадского ученого. "Это хороший вопрос. Меня редко спрашивают  о планах  на
будущее.  Многие   полагают,  что,  когда  человеку  далеко   за  семьдесят,
творческие планы не играют в его жизни существенной роли. Что касается меня,
мне нужно закончить ряд исследований. Будущее и прошлое для меня слиты. Я не
имею  намерения  менять  свою  жизненную  задачу.  Я  начал  исследования  с
применения биохимических и гистологических методов и довел их до клинических
применений. Моя основная задача сейчас --  разработать утвердить более общую
точку зрения  на исследования  области стресса,  подготовить  интерпретацию,
основанную на  еще  более  широких  коррекциях.  Мне кажется,  что  мне  это
удастся.  Меня вдохновляет  пример Томаса  Манна,  который написал  "Доктора
Фаустуса", когда  ему было за  семьдесят, а "Феликса Круля", когда ему  было
почти  восемьдесят.  А  вспомните  творческие  успехи,  которых  в  довольно
преклонном   возрасте  достигли   Микеланджело,  Пикассо,  Тосканини,  Артур
Рубинштейн, Павлов,  Бертран  Рассел!  Я  часто  думаю  о  своем  преклонном
возрасте  и  полагаю,  что  каждый   период  в  жизни  человека  имеет  свои
преимущества.  У  нас  накапливается  громадный  опыт. Природа  снабдила нас
многочисленными компенсаторными механизмами: когда  один канал  блокируется,
мы развиваем  другой.  Наша цель -- не достижение абсолютного совершенства в
любом отношении, но достижение наиболее высокой из достижимых целей" (с. 147
журнала).
     Над входом в Международный институт стресса начертаны следующие  слова:
"Ни престиж  предмета твоих исследований,  ни мощь твоего инструментария, ни
степень твоей эрудиции, ни точность твоего  планирования  не смогут заменить
оригинальности   твоего  подхода   и  остроты  твоего   наблюдения".  Именно
оригинальность того подхода к жизнедеятельности, который отстаивал Селье и о
котором он  стремился поведать читателю в своей книге "От мечты к открытию",
обусловила его выдающийся вклад в науку XX столетия.
     М. Г. Ярошевский




     Ко второму изданию на русском языке своей книги "Стресс  без дистресса"
(М.,  Прогресс,  1982)  знаменитый  канадский  ученый  Ганс   Селье  написал
специальное предисловие. Оно,  к сожалению, пришло слишком поздно и так и не
увидело  свет, а через полгода  Ганс  Селье скончался. Мы  сочли необходимым
поместить его на  страницах прочитанной  Вами,  читатель, последней книги Г.
Селье  как   своеобразное   творческое   завещание.  (Текст   печатается   с
незначительными сокращениями).
     "Не без удовольствия я  узнал,  что  книга "Стресс без дистресса" имела
такое большое  воздействие на читающую публику  Советского Союза.  Я  всегда
стремился  преодолевать  политические,  религиозные  и  расовые   барьеры  и
подчеркивать  то,  что  считаю кодексом  поведения  человека, основанным  на
законах природы и, как мне кажется, наилучшим образом отражающим эти законы.
     ...Позвольте  привести цитату из книги:  "Некоторые религии и философии
устарели, другие продолжают оказывать сильное влияние на поведение человека.
Главной их задачей  по-прежнему  остается  достижение  человеком внутреннего
мира, а также мира между людьми и между человеком и природой".
     Пути  и способы управления  стрессами в  повседневной жизни, которые  я
разработал  за четыре десятилетия  исследований  стресса,--  это как  бы мои
"посланники"   тем  людям,   которые  стремятся  достичь  некоторой  степени
удовлетворения своих жизненных запросов.
     Я  глубоко верю, что,  если  бы мне удалось раскрыть  кодекс  поведения
человека, я бы достиг чего-то совершенно  необходимого,  того, что в будущем
вдохновляло бы и других.
     ...Моя работа по стрессу  далека от завершения, и я понимаю, что мне не
увидеть  ее  конца,  ибо  мы   постоянно  сталкиваемся  с  новыми  способами
рассмотрения  почти  всех  биологических  проблем.  Не преувеличивая,  можно
сказать, что так будет всегда, пока существуют биология  и медицина.  В этом
плане  изучение  стресса  стоит  в  одном  ряду  с учениями  о  метаболизме,
наследственности и биологическом развитии".
     Когда в 1956 г.  Ганс  Селье опубликовал  книгу "Стресс в жизни",  один
журналист  назвал  его  "Эйнштейном  медицины".  Попытка  увязать  различные
научные открытия с  легендарным  именем  --  не редкость в истории науки*. И
хотя   Эйнштейн  и  Селье  никогда  не   встречались,   одно  обстоятельство
представляет  несомненный интерес. Когда появились  первые статьи  о работах
Селье в области теории стресса, Эйнштейн  оказался в числе тех, кто сразу же
важность этих  исследований.  Он  обратился  к Селье с  письмом,  в  котором
поддерживал идею создания "единой теории медицины".
     ----
     *  Пример   такой  попытки  см.:  Khorol   I.   Einstein  and  Selye.--
"Rejuvenation".  April, 1977, vol. V, No. 2. (To the anniversary of dr. Hans
Selye.)
     ----
     Создание  такой  теории  предполагает  открытие  общих  закономерностей
живого. Жизнь существует в постоянно меняющемся мире. Поэтому Природа должна
обеспечивать  все  живые  организмы  специальными  регулирующими  системами,
которые  позволяют  сохранить  их  внутренние  характеристики  в  нормальных
пределах.  Эти  системы -- их  называют адаптирующими  -- используют в своей
деятельности  принцип "обратных  связей". Отклонения  от  оптимальных  норм,
вызванные изменением окружающей  среды, приводят  в  действие  адаптационный
механизм. В результате в организме  происходит определенный процесс, который
либо  ведет  к  нейтрализации  этих  возмущающих  воздействий  и  возвращает
внутреннюю  среду  к норме, либо  организм  находит  для  себя  новую  среду
существования,   либо,   наконец,  он  сам  изменяет  окружающую   среду   в
соответствии со своими интересами.
     Адаптационные механизмы, присущие  живым  существам,  включая человека,
многочисленны.  Исследования  Селье   подтвердили,  что  более   или   менее
интенсивные  адаптационные  процессы  постоянно  происходят  в  человеческом
организме.  "Адаптивность,--   подчеркивает   Селье,--   является   наиболее
выдающейся характеристикой жизни". Более того: "Биологическая адаптивность и
есть жизнь". Живой организм, согласно  Винеру, представляет  собой маленький
остров антиэнтропии в бескрайнем океане энтропии.
     В  прошлом  недостаток  пищи,  дискомфорт,  нападения  диких животных и
множество  других  причин поддерживали  адаптационные  механизмы человека  в
рабочем состоянии. И  жизненные ресурсы, приобретенные с рождения, позволяли
человеческому   организму  в  среднем  успешно   сохранять  стабильность  на
протяжении    жизни.    Однако     развитие    цивилизации     (урбанизация,
перенаселенность, средства  массовой  информации и  др.) привело к появлению
новых стрессорных факторов. В начале века многие ученые заговорили о тяжелых
последствиях  бездумного,  хищнического отношения  к  окружающей  среде.  Но
только в наши дни, когда фатальные признаки  грозящей катастрофы стали более
чем  очевидными,  люди начали  принимать  меры,  чтобы защитить  Природу. Не
повторяем ли мы ту же ошибку -- на этот раз по отношению к нашей "внутренней
среде"?
     Многие ученые согласны с выводами Г. Селье о том,  что  такое тревожное
явление  современности, как резкое увеличение сердечно-сосудистых и  раковых
заболеваний, есть следствие истощения резервов адаптации. Теория  стресса, в
отличие  от  теории  относительности, была  разработана  применительно не  к
физическим,  а  к  биологическим  объектам,  где,  насколько  нам  известно,
возможность широкого применения  строгих математических  формул, по  крайней
мере  в настоящее время,  проблематична.  Тем  не  менее  исследования Селье
открывают некоторые пути решения важных биологических и медицинских проблем,
дают реальные оптимистичные перспективы выхода из сложной ситуации.
     Эйнштейн  считал,  что существующий мир имеет рациональную структуру. В
1947 г. он писал Максу Борну: "Ты веришь в играющего в кости бога, а я --  в
полную закономерность в мире объективного сущего"*. Селье придерживается той
же  веры,  но  по  отношению   к  живой  природе,  распространяя  ее  и   на
морально-этические  нормы:  "Я   уверен,  что  любой  принцип  человеческого
поведения должен быть основан на объективных биологических законах".
     ----
     * Цит. по: Кузнецов Б. Г. Эйнштейн. М., 1963, с. 287.
     ----
     Эйнштейн верил  в высшую  гармонию существования мира и всю жизнь искал
пути к этой гармонии. "Без веры во внутреннюю гармонию нашего мира не  могло
бы существовать  науки",--  писал  он  в работе "Эволюция физики".  Жизнь  и
творческая  деятельность  Селье  также  были  направлены на  поиск  гармонии
человеческого существования, на разработку методов нейтрализации последствий
внутренней и внешней дисгармонии человеческой природы. Его в чем-то спорная,
а   в  чем-то  глубоко  гуманная   философия   "альтруистического  эгоизма",
основанная на концепциях теории стресса, служит именно этим целям.
     Ганс Селье скончался 16  сентября 1982 года, но большие идеи не умирают
с  их творцами. Они обретают новую жизнь в трудах последователей и учеников,
которые не ограничиваются повторением исходных положений,  а стремятся к  их
творческому  развитию.  Изучение  общего  адаптационного  синдрома и стресса
продолжается сегодня в лабораториях многих стран мира, в том числе и в нашей
стране.
     Ганс  Селье  высоко  ценил  пионерские  работы  известного   советского
биохимика,  профессора М.  Н.  Кондрашовой (одного  из  редакторов настоящей
книги) по выявлению общих закономерностей изменения митохондрий при стрессе.
В одном  из  первых  писем  к ней  он  подчеркивал, что  очень  интересуется
"участием  митохондрий  во  всех  требующих  энергии  процессах,  и  стресс,
разумеется, один из них".  Великий ученый был в  курсе  начальных шагов этих
исследований, и остается только  сожалеть,  что ему не довелось узнать об их
успешных результатах.
     Для   советской  школы   физиологов  издавна   характерно  внимание   к
восстановительным  процессам.  Особенно четко такой подход прослеживается  в
работах  профессора И.  А.  Аршавского,  согласно  которому  физиологический
стресс  лежит   в  основе  прогрессивного   развития   организма,  побуждает
реализацию резерва адаптации.
     Развивая    и   конкретизируя   представления   основателя   возрастной
физиологиии проф. И. А. Аршавского,  М.  Н.  Кондрашова показала, что уже на
митохондриальном   уровне   необходимо  различать   физиологический  стресс,
соответствующий "эустрессу",  по Селье, и  патологический  дистресс.  Только
последний приводит к  необратимому истощению  резервов адаптации, тогда  как
физиологический стресс лежит  в основе  прогрессивного развития  организма и
необходим для этого развития  (вспомним утверждение Селье: "Без  стресса нет
жизни"), обеспечивая полное и даже избыточное восстановление  происходящих в
процессе  этого  развития  энергетических  затрат.   Иначе  говоря,  резервы
адаптации не аналогичны "шагреневой  коже"  и могут не только расходоваться,
но и восполняться.
     Итак  мы можем смело  констатировать, что за последние годы, уже  после
смерти  Г.  Селье,  идеи,  связанные с  его концепцией, получили серьезное и
многостороннее развитие. Впереди -- новые поиски и новые открытия.
     Мы надеемся, что выпускаемая издательством "Прогресс" книга "От мечты к
открытию",  обращенная главным  образом к молодым ученым,  окажет им на этом
пути неоценимую помощь.
     Я. С. Хорол





     {1} Автор имеет в виду характерный для западных стран, и  в особенности
США  и Канады,  большой  разрыв в  оплате  труда  между  частнопрактикующими
врачами и врачами -- научными работниками. --- Прим. перев.

     {2}  Шарль  Рише  (1850--1935)  -- выдающийся  французский  физиолог  и
бактериолог, лауреат Нобелевской премии за 1913 г. --- Прим. перев.

     {2a} Эготизм --  преувеличенное мнение  о значении своей  личности. ---
Прим. перев.

     {3} Томас  Мессон (1866--1934) -- американский издатель и писатель. ---
Прим. перев.

     {4}    Клод     Бернар    (1813--1878)     --выдающийся     французский
естествоиспытатель, физиолог и патолог; Пауль Эрлих (1854--1915) - известный
немецкий врач, биолог и химик,  один из  основоположников теории иммунитета,
лауреат  Нобелевской  премии за  1908  г.;  Уолтер  Кеннон  (1871--1945)  --
крупнейший американский физиолог, автор теории гомеостаза. --- Прим. перев.

     {5}  Генри Дейвид Торо (1817--1862)--американский  писатель, мыслитель,
представитель трансцендентализма. --- Прим. перев.

     {5a}  Мы  могли  бы  в  этой  связи  сослаться на  работу  В.И.  Ленина
"Материализм  и  эмириокритицизм",  гл. II, пар. 4  (Ленин В.И. Полн.  собр.
соч., т. 18, с 123). --- Прим. перев.

     {6}  Кальцифилаксия  --  биологический  механизм,  с  помощью  которого
организм  может  избирательно  направлять  в  определенные  области  большое
количество кальция и фосфатов.

     {7} Уильям Джеймс (1842--1910) -- американский философ и психолог, один
из основоположников прагматизма. --- Прим. перев.

     {8}   Слова  "оппортунизм"  и  "оппортунист"  (производные   от   англ.
opportunity  -  "возможность")  в контексте  данной  книги, как  и  вообще в
англоязычной литературе, лишены  какой-либо политической окраски.  --- Прим.
перев.

     {9}  В  оригинале   игра  слов:  creation  ("творение")  и  procreation
"производство потомства". --- Прим. перев.

     {10} Фредерик Гоуленд Хопкинс (1861--1947) -- английский биохимик, один
из основателей витаминологии,  лауреат  Нобелевской премии за  1929  г.  ---
Прим. перев.

     {11}  Отто Леви (1873--1961)  -- австрийский и американский  физиолог и
фармаколог, лауреат Нобелевской премии за 1936 г. --- Прим. перев.

     {12}  Фредерик Бантинг  (1891--1941) -- канадский  физиолог. Исследовал
секрецию поджелудочной железы  и открыл  совместно  с  Дж.  Маклеодом  и др.
гормон инсулин. Нобелевская  премия за 1923  г. (совместно с Дж. Маклеодом).
--- Прим. перев.

     {13} Игнац  Филипп Земмельвейс  (1818--1865)--  венгерский врач-акушер,
предвосхитивший Пастера в борьбе с сепсисом. --- Прим. перев.

     {14} Альфред  Уоллес  (1823--1913)-- английский  натуралист,  создавший
одновременно с Ч. Дарвином теорию естественного отбора. --- Прим. перев.

     {15}   Видимо,  имеется  в  виду  книга  Т.  Мальтуса  "Опыт  о  законе
народонаселения"  (1798), в  которой автор  стремился объяснить  бедственное
положение трудящихся и безработицу  "абсолютным избытком  людей",  действием
"естественного закона народонаселения". Его идеи подвергались резкой критике
классиками марксизма. --- Прим. перев.

     {15a}   Надпочечник   представляет   собой    гормонообразующую,    или
эндокринную,  железу, расположенную  сразу над почкой с каждой стороны тела.
Он  состоит из внешнего  слоя, или  коры,  которая вырабатывает кортикоидные
гормоны,  и  сердцевины,  или мозгового вещества, секретирующего адреналин и
связанные с ним гормоны.

     {16} То, что внешние воздействия приводят только к расходу и исчерпанию
адаптационных возможностей, в  течение  многих лет было убеждением Г. Селье,
которое он лаконично формулировал как "wear & tear" ("сносить и выбросить").
Это  убеждение  основывалось  на  том, что  он  использовал  преимущественно
сильные патогенные  воздействия.  Применение  более  мягких  физиологических
стрессовых   воздействий   способно   значительно   повышать   адаптационные
возможности  организма, что,  в частности,  находит  выражение в  увеличении
массы   тимуса   (см.:   Аршавский  И.   А.  Физиологические   механизмы   и
закономерности индивидуального развития. М., 1982; Гаркави Л. X., Квакина Е.
Б.,  Уколова   М.  А.  Адаптационные  реакции  и  резистентность  организма.
Ростов-на-Дону, 1979).  Следует  отметить, что в последнее десятилетие своей
жизни  Г.  Селье  выдвинул проблему управления  стрессом, состоящую именно в
повышении  устойчивости  к  стрессовому воздействию (см.  об этом: Селье  Г.
Стресс без дистресса. М., 1979). Формулирование  этой  проблемы обязано  его
замечательной интуиции. Однако для решения ее Г. Селье предлагал моральные и
социальные  подходы,  не проводя специальных  экспериментов. Он не привлекал
даже свои  данные  о перекрестной  резистентности,  которые  описал  ранее и
намеренно оставил без дальнейшего развития. (см. с. 135). --- Прим. ред.

     {16а} Русскоязычный читатель вспомнит в  этой связи рассказ А.П. Чехова
"Лошадиная фамилия". --- Прим. перев.

     {17} Есть основания продолжить аналогию и  в этом пункте. Представление
об  обязательных страданиях во время  рождения  ребенка сильно  преувеличено
благодаря  классическим литературным описаниям. Кроме того, многие нарушения
естественного  физиологического образа жизни современными женщинами приводят
к  широкому  распространению  более  или  менее слабых элементов  стресса  в
понимании Г. Селье, т. е. патологических отклонений в течении беременности и
родов. Однако нормальные роды вовсе не мучительный процесс.  Существует даже
медицинское   понятие   "partus   felix"  --   "сладостные  роды",   которое
характеризует  состояние  матери  и  ребенка  во  время  рождения как высшее
блаженство (Нарциссов  Р.П. О материнстве. ОНТИ,  Пущино,  1984). ---  Прим.
ред.


     {18}  Жорж  Луи  де  Бюффон  (1707--1788)  --   выдающийся  французский
естествоиспытатель. --- Прим. перев.

     {19} Самюель  Батлер  (1835--1902) -- английский писатель-романист. ---
Прим. перев.

     {20}  Джон  Драйден (1631--1700)  -- английский поэт  и  драматург. ---
Прим. перев.

     {20а}  Роберт Уильям  Сервис (1874--1958)  --  канадский писатель.  ---
Прим. перев.

     {20б} Мэтью Арнольд (1822--1888) -- английский поэт и критик. --- Прим.
перев.

     {21}  Книга "От  мечты  к открытию"  была  издана в 1964 г. За  стекшие
четверть века представители  биологической науки неоднократно сталкивались и
до  сих пор  сталкиваются  с  серьезными этическими  проблемами, например  в
области  генной инженерии, при разработке биологических и бактериологических
видов оружия, и т. д. --- Прим. перев.

     {22}  Имеется   в   виду  изобретение  Альфредом  Нобелем  динамита   и
баллистита. --- Прим. перев.

     {23} Слово serendipity придумал Хорас Уолпол (1717--1797) -- английский
политический деятель и писатель.  В его  сказке о трех принцах  из Серендипа
(Серендип --  старое название Цейлона) принцы  обладали способностью  делать
неожиданные   открытия,  хотя  они  вовсе   не  стремились   к  этому  и  не
предпринимали   никаких  специальных  действий.  Уолтер  Кеннон,  знаменитый
физиолог,  применил термин  serendipity,  понимая  под  ним  способность  не
проходить  мимо "случайных" явлений  и  не  считать их досадной  помехой,  а
вместо этого видеть в них ключ к разгадке тайн природы. --- Прим. перев.

     {24}  Томас  Карлейль  (1795--1881)  --  английский  историк,  философ,
публицист. --- Прим. перев.

     {25} Джон  Тиндаль  (1820--1893)  -- английский физик,  автор  работ по
акустике, диамагнетизму, рассеянию света  в  мутных средах  (эффект Т.). ---
Прим. перев.

     {26} Именем  этого итальянского анатома названа слуховая труба, впервые
подробно им описанная в 1564 г. --- Прим. перев.

     {27}  Джироламо Фракасторо  (1478--1553)  --  итальянский  ученый эпохи
Возрождения,  врач, астроном,  поэт.  Впервые применил  в медицинском смысле
термин  "инфекция".  Его труды заложили первые  основы  клиники инфекционных
болезней  и  эпидемиологии. Труды Фракасторо переведены на  русский  язык: О
контагии,  контагиозных  болезнях  и их  лечении:  кн.  1-3,  М.,  1954;  "О
сифилисе". М., 1956. --- Прим. перев.

     {27а} Рене Теофиль Гиацинт Лаэннек (1781--1826) -- французский анатом и
врач;  изобрел  стетоскоп;  разработал  и   ввел  в  практику  аускультацию.
Аускультация -- врачебный метод исследования выслушиванием легких  и сердца.
--- Прим. перев.

     {27б}  "Тучные  клетки"  --  мастоциты.  Клетки   соединительной  ткани
животных и человека, выделяющие физиологические активные  вещества: гепарин,
гистамин, серотонин и др. --- Прим. перев.

     {27в}  Андреас  Везалий   (1514--1564)   --  естествоиспытатель   эпохи
Возрождения,  основоположник научной  анатомии.  Преследовался церковью. ---
Прим. перев.

     {27г} Отто Генрих Варбург (1883--1970) -- немецкий биохимик. Исследовал
природу  ферментов,  их  участие  в  процессах, происходящих в живой клетке.
Лауреат Нобелевсокй премии за 1931 г. --- Прим. перев.

     {28}  Георг  VI,  король  Великобритании  в  1936--1952 гг.  Британские
монархи  являются также главами государства  Канаде и других доминионах. ---
Прим. перев.

     {29} Ныне город Комарно в Чехословакии. --- Прим. перев.

     {30}  В  Канаде,  как,  и  в  Великобритании,  Королевским обществом по
традиции называют Академию наук. --- Прим. перев.

     {31}  Джон Рескин (1819--1900) -- английский писатель и  художественный
критик. --- Прим. перев.

     {32} Эзра Паунд (1885--1972) -- американский поэт. --- Прим. перев.

     {33}  Эдуард  Дженнер  (1749--1823)--  английский врач,  основоположник
оспопрививания. --- Прим. перев.

     {34} Эпистемология (от греч. episte-me -- знание и ...логия) - учение о
познании;   термин,  соответствующий   термину  "гносеология",  или   теория
познания. Впервые  введен шотландским философом  Ферье в 1854 г., отличавшем
две области философии - эпистемологию и онтологию. В наст. время этот термин
употребляется в  двух смыслах: 1) в более  узком - Э. Изучает происхождение,
структуру, границы и значение познания; 2) в более широком - Э. Представляет
собой  систематический анализ концепций, при помощи которых объясняется мир.
<В бумажном издании это примечание отсутствует. --MT>

     {35} Эмиль Ру (1853--1933) -- французский микробиолог. Под руководством
Л. Пастера исследовал бешенство, совместно с А. Йерсеном выделил дифтерийный
токсин и изучил  его  действие,  разработал  антидифтерийную  сыворотку. ---
Прим. перев.

     {36}  Ванневар Буш (1890--1974)  -- видный американский ученый, один из
пионеров  конструирования  аналоговой  вычислительной   техники,   создатель
дифференциального анализатора.  Занимал ряд руководящих  постов в  частных и
государственных научных учреждениях. --- Прим. перев.

     {36а} Томас Уильям Кельвин (1824--1907) -- выдающийся английский физик,
член и  президент  Лондонсокго королевского  общества, иностранный  почетный
член Петербургской Академии наук. --- Прим. перев.

     {36б} Франсуа Мажанди (1783--1855) -- французский ученый, исследователь
физиологии нервной системы. --- Прим. перев.

     {36в} A Comprehensive Treatise on Inogranic  and Theoretical
Chemistry, vol. I, p: 17.

     {36г} Автор  имеет ввиду вертикальное  расположение цифр,  обозначающих
номера узлов элементов. --- Прим. перев.

     {37}  В советском издании сочинений Аристотеля в  переводе Л. И. Иткина
указаны семь видов софистических опровержений (Аристотель. Соч. в 4-х томах,
т.  2,  гл.  5. М.,  1978,  с. 540). В качестве  восьмого  вида  логического
заблуждения   автор   указывает   заблуждения,    которые    специально   не
рассматриваются   в  данной   работе  Аристотеля,  но   указываются   в  его
"Аналитиках". --- Прим. перев.

     {37а}  Пьер  Мари  (1853--1940)  --  французский  невропатолог.  Описал
акромегалию  (1886) и ряд заболеваний нервной системы, названных его именем.
--- Прим. перев.

     {38}  Хидейо Ногучи  (1876--1928)  --  японский  микробиолог. Занимался
проблемами  сифилиса,  желтой  лихорадки, бешенства,  трахомы.  тывал  также
методы  культивирования лептоспир. Согласно имеющейся справочной литературе,
погиб  в  Западной Африке, заразившись  желтой лихорадкой  во время вскрытия
трупа. --- Прим. перев.

     {39}  Джон  Хантер (1728--1793)  -- английский  врач и анатом, один  из
основоположников   экспериментальной  патологии  и  анатомо-физиологического
направления в хирургии; описал твердый шанкр (1786). --- Прим. перев.

     {40} Русский перевод:  Валлери-Радо  Р. Жизнь Пастера.  М.,  1950.  ---
Прим. перев.

     {41}  Ральф  Уолдо  Эмерсон   (1803--1882)  -  американский  философ  и
писатель. Автор книг "Природа" (1836) и "Представители человечества" (1850).
--- Прим. перев.

     {42}  У  русскоязычного читателя, быть  может,  возникнет ассоциация  с
системой Станиславского. --- Прим. перев.

     [СК1]
     --MT

Популярность: 57, Last-modified: Sun, 11 May 2003 06:26:15 GmT